综合数据与卫生公平:解释卫生保健服务中的种族主义和性别歧视。

IF 2.7
Health affairs scholar Pub Date : 2025-08-19 eCollection Date: 2025-09-01 DOI:10.1093/haschl/qxaf165
Stephanie Teeple, Luis Emilio Muñoz, Jaya Aysola
{"title":"综合数据与卫生公平:解释卫生保健服务中的种族主义和性别歧视。","authors":"Stephanie Teeple, Luis Emilio Muñoz, Jaya Aysola","doi":"10.1093/haschl/qxaf165","DOIUrl":null,"url":null,"abstract":"<p><strong>Introduction: </strong>Synthetic data are a promising new tool for answering health service research questions, including those relevant to health equity. However, it is unclear whether synthetic data can accurately capture inequities in health care, which may perpetuate racial and ethnic health inequities when applied to the real world.</p><p><strong>Methods: </strong>In this study, we determine to what extent Synthea, a popular open-source synthetic electronic health record data generator captures racial, ethnic, and sex disparities in clinical practice and evaluate whether the data can be augmented by other publicly available data sources. We examine rates of intervention for 3 common medical conditions-myocardial infarction, chronic obstructive pulmonary disease, and type II diabetes mellitus.</p><p><strong>Results: </strong>For 2 of the 3 conditions, Synthea data showed higher rates of intervention for all patients and attenuated or no disparities in intervention, vs comparator literature. After incorporating data on race, ethnicity, and sex disparities from the Dartmouth Atlas, updated Synthea proportions approached their literature counterparts in both absolute and relative terms.</p><p><strong>Conclusion: </strong>If using synthetic data, researchers and policymakers can work to ensure such data accurately reflect downstream effects of social forces in order to mitigate inadvertent harm to minoritized populations.</p>","PeriodicalId":94025,"journal":{"name":"Health affairs scholar","volume":"3 9","pages":"qxaf165"},"PeriodicalIF":2.7000,"publicationDate":"2025-08-19","publicationTypes":"Journal Article","fieldsOfStudy":null,"isOpenAccess":false,"openAccessPdf":"https://www.ncbi.nlm.nih.gov/pmc/articles/PMC12449041/pdf/","citationCount":"0","resultStr":"{\"title\":\"Synthetic data and health equity: accounting for racism and sexism in health care delivery.\",\"authors\":\"Stephanie Teeple, Luis Emilio Muñoz, Jaya Aysola\",\"doi\":\"10.1093/haschl/qxaf165\",\"DOIUrl\":null,\"url\":null,\"abstract\":\"<p><strong>Introduction: </strong>Synthetic data are a promising new tool for answering health service research questions, including those relevant to health equity. However, it is unclear whether synthetic data can accurately capture inequities in health care, which may perpetuate racial and ethnic health inequities when applied to the real world.</p><p><strong>Methods: </strong>In this study, we determine to what extent Synthea, a popular open-source synthetic electronic health record data generator captures racial, ethnic, and sex disparities in clinical practice and evaluate whether the data can be augmented by other publicly available data sources. We examine rates of intervention for 3 common medical conditions-myocardial infarction, chronic obstructive pulmonary disease, and type II diabetes mellitus.</p><p><strong>Results: </strong>For 2 of the 3 conditions, Synthea data showed higher rates of intervention for all patients and attenuated or no disparities in intervention, vs comparator literature. After incorporating data on race, ethnicity, and sex disparities from the Dartmouth Atlas, updated Synthea proportions approached their literature counterparts in both absolute and relative terms.</p><p><strong>Conclusion: </strong>If using synthetic data, researchers and policymakers can work to ensure such data accurately reflect downstream effects of social forces in order to mitigate inadvertent harm to minoritized populations.</p>\",\"PeriodicalId\":94025,\"journal\":{\"name\":\"Health affairs scholar\",\"volume\":\"3 9\",\"pages\":\"qxaf165\"},\"PeriodicalIF\":2.7000,\"publicationDate\":\"2025-08-19\",\"publicationTypes\":\"Journal Article\",\"fieldsOfStudy\":null,\"isOpenAccess\":false,\"openAccessPdf\":\"https://www.ncbi.nlm.nih.gov/pmc/articles/PMC12449041/pdf/\",\"citationCount\":\"0\",\"resultStr\":null,\"platform\":\"Semanticscholar\",\"paperid\":null,\"PeriodicalName\":\"Health affairs scholar\",\"FirstCategoryId\":\"1085\",\"ListUrlMain\":\"https://doi.org/10.1093/haschl/qxaf165\",\"RegionNum\":0,\"RegionCategory\":null,\"ArticlePicture\":[],\"TitleCN\":null,\"AbstractTextCN\":null,\"PMCID\":null,\"EPubDate\":\"2025/9/1 0:00:00\",\"PubModel\":\"eCollection\",\"JCR\":\"\",\"JCRName\":\"\",\"Score\":null,\"Total\":0}","platform":"Semanticscholar","paperid":null,"PeriodicalName":"Health affairs scholar","FirstCategoryId":"1085","ListUrlMain":"https://doi.org/10.1093/haschl/qxaf165","RegionNum":0,"RegionCategory":null,"ArticlePicture":[],"TitleCN":null,"AbstractTextCN":null,"PMCID":null,"EPubDate":"2025/9/1 0:00:00","PubModel":"eCollection","JCR":"","JCRName":"","Score":null,"Total":0}
引用次数: 0

摘要

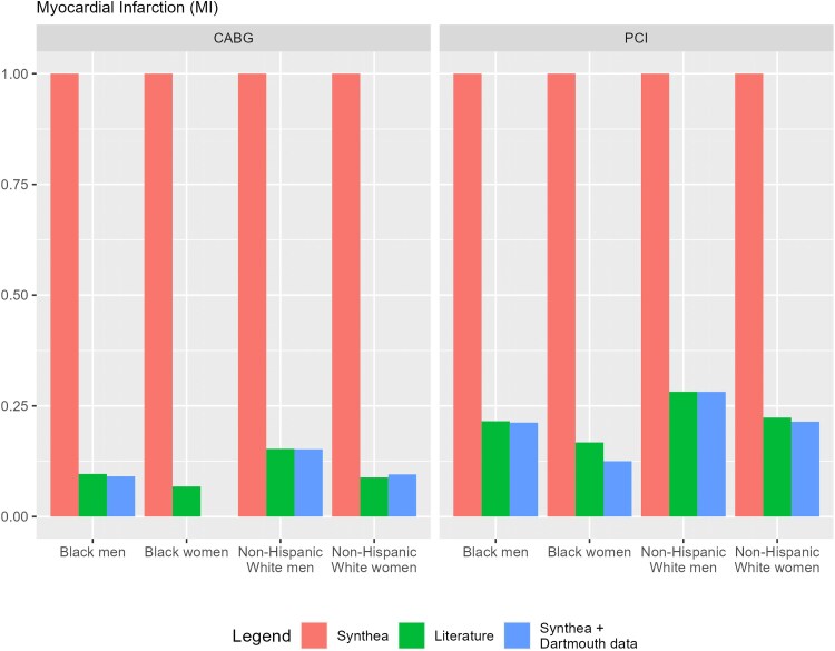
合成数据是回答卫生服务研究问题(包括与卫生公平有关的问题)的一种很有前途的新工具。然而,目前尚不清楚的是,综合数据是否能够准确地捕捉到医疗保健方面的不平等现象,这种不平等现象在应用于现实世界时可能会使种族和族裔卫生不平等现象永续存在。方法:在本研究中,我们确定了Synthea,一个流行的开源合成电子健康记录数据生成器在多大程度上捕获了临床实践中的种族、民族和性别差异,并评估了数据是否可以通过其他公开可用的数据源来增强。我们检查了3种常见疾病——心肌梗死、慢性阻塞性肺疾病和II型糖尿病的干预率。结果:与比较文献相比,Synthea的数据显示,对于3种情况中的2种,所有患者的干预率都较高,干预率的差异减弱或没有差异。在整合了达特茅斯地图集的种族、民族和性别差异数据后,更新后的Synthea比例在绝对和相对方面都接近了文献中的对应比例。结论:如果使用合成数据,研究人员和政策制定者可以努力确保这些数据准确反映社会力量的下游影响,以减轻对少数群体的无意伤害。
本文章由计算机程序翻译,如有差异,请以英文原文为准。

Synthetic data and health equity: accounting for racism and sexism in health care delivery.

Synthetic data and health equity: accounting for racism and sexism in health care delivery.

Synthetic data and health equity: accounting for racism and sexism in health care delivery.

Introduction: Synthetic data are a promising new tool for answering health service research questions, including those relevant to health equity. However, it is unclear whether synthetic data can accurately capture inequities in health care, which may perpetuate racial and ethnic health inequities when applied to the real world.

Methods: In this study, we determine to what extent Synthea, a popular open-source synthetic electronic health record data generator captures racial, ethnic, and sex disparities in clinical practice and evaluate whether the data can be augmented by other publicly available data sources. We examine rates of intervention for 3 common medical conditions-myocardial infarction, chronic obstructive pulmonary disease, and type II diabetes mellitus.

Results: For 2 of the 3 conditions, Synthea data showed higher rates of intervention for all patients and attenuated or no disparities in intervention, vs comparator literature. After incorporating data on race, ethnicity, and sex disparities from the Dartmouth Atlas, updated Synthea proportions approached their literature counterparts in both absolute and relative terms.

Conclusion: If using synthetic data, researchers and policymakers can work to ensure such data accurately reflect downstream effects of social forces in order to mitigate inadvertent harm to minoritized populations.

求助全文
通过发布文献求助,成功后即可免费获取论文全文。 去求助
来源期刊
自引率
0.00%
发文量
0
×
引用
GB/T 7714-2015
复制
MLA
复制
APA
复制
导出至
BibTeX EndNote RefMan NoteFirst NoteExpress
×
提示
您的信息不完整,为了账户安全,请先补充。
现在去补充
×
提示
您因"违规操作"
具体请查看互助需知
我知道了
×
提示
确定
请完成安全验证×
copy
已复制链接
快去分享给好友吧!
我知道了
右上角分享
点击右上角分享
0
联系我们:info@booksci.cn Book学术提供免费学术资源搜索服务,方便国内外学者检索中英文文献。致力于提供最便捷和优质的服务体验。 Copyright © 2023 布克学术 All rights reserved.
京ICP备2023020795号-1
ghs 京公网安备 11010802042870号
Book学术文献互助
Book学术文献互助群
群 号:604180095
Book学术官方微信