单个物种中n6 -甲基腺嘌呤、c5 -甲基胞嘧啶和c5 -羟甲基胞嘧啶的比较定位揭示了构成、体细胞和种系特异性、年龄相关的基因组背景分布和生物学功能。

IF 3.5 Q3 GENETICS & HEREDITY
Thibaut Renard, Serge Aron
{"title":"单个物种中n6 -甲基腺嘌呤、c5 -甲基胞嘧啶和c5 -羟甲基胞嘧啶的比较定位揭示了构成、体细胞和种系特异性、年龄相关的基因组背景分布和生物学功能。","authors":"Thibaut Renard, Serge Aron","doi":"10.3390/epigenomes9030035","DOIUrl":null,"url":null,"abstract":"<p><strong>Background/objectives: </strong>The DNA methylome allows environmental signals to be converted into stable and adaptive changes in gene expression. While 5-methylcytosine (5mC) has been extensively studied, alternative epigenetic marks such as N6-methyladenine (6mA) and 5-hydroxymethylcytosine (5hmC) remain poorly understood. Comparative studies of these marks are rare, and their results are often confounded by phylogeny, tissue type, developmental stage, or methodology. Here, we aimed to disentangle the constitutive, somatic- and germline-specific, and/or age-related patterns displayed by 6mA, 5mC, and 5hmC within a single species.</p><p><strong>Methods: </strong>We generated long-read nanopore sequencing data for somatic tissues of buff-tailed bumblebee (<i>Bombus terrestris</i>) males and their sperm, enabling simultaneous detection of 6mA, 5mC, and 5hmC. We used a stepwise approach to successively identify (i) constitutive patterns conserved between somatic tissues and sperm, (ii) differences between the soma and the germline, and (iii) age-related changes between young and old males.</p><p><strong>Results: </strong>We found distinct constitutive, somatic and sperm, and age-related specific signatures in the genomic contexts, maintenance fidelity, and biological functions associated with 6mA, 5mC, and 5hmC. Sperm cells consistently displayed lower methylation entropy than did somatic tissues, indicating more stable methylation patterns in the germline. 5mC exhibited the greatest variation across all genomic contexts; 6mA and 5hmC displayed less dramatic differences. The influence of age was subtler but revealed context-dependent remodeling of methylation, particularly for 5hmC.</p><p><strong>Conclusions: </strong>We observed that 6mA, 5mC, and 5hmC displayed constitutive, somatic- and sperm-specific, and age-related differences that were associated with distinct genomic contexts and biological functions, supporting the complementarity of these methylation marks and their diverging epigenetic roles.</p>","PeriodicalId":55768,"journal":{"name":"Epigenomes","volume":"9 3","pages":""},"PeriodicalIF":3.5000,"publicationDate":"2025-09-18","publicationTypes":"Journal Article","fieldsOfStudy":null,"isOpenAccess":false,"openAccessPdf":"https://www.ncbi.nlm.nih.gov/pmc/articles/PMC12452632/pdf/","citationCount":"0","resultStr":"{\"title\":\"Comparative Mapping of N6-Methyladenine, C5-Methylcytosine, and C5-Hydroxymethylcytosine in a Single Species Reveals Constitutive, Somatic- and Germline-Specific, and Age-Related Genomic Context Distributions and Biological Functions.\",\"authors\":\"Thibaut Renard, Serge Aron\",\"doi\":\"10.3390/epigenomes9030035\",\"DOIUrl\":null,\"url\":null,\"abstract\":\"<p><strong>Background/objectives: </strong>The DNA methylome allows environmental signals to be converted into stable and adaptive changes in gene expression. While 5-methylcytosine (5mC) has been extensively studied, alternative epigenetic marks such as N6-methyladenine (6mA) and 5-hydroxymethylcytosine (5hmC) remain poorly understood. Comparative studies of these marks are rare, and their results are often confounded by phylogeny, tissue type, developmental stage, or methodology. Here, we aimed to disentangle the constitutive, somatic- and germline-specific, and/or age-related patterns displayed by 6mA, 5mC, and 5hmC within a single species.</p><p><strong>Methods: </strong>We generated long-read nanopore sequencing data for somatic tissues of buff-tailed bumblebee (<i>Bombus terrestris</i>) males and their sperm, enabling simultaneous detection of 6mA, 5mC, and 5hmC. We used a stepwise approach to successively identify (i) constitutive patterns conserved between somatic tissues and sperm, (ii) differences between the soma and the germline, and (iii) age-related changes between young and old males.</p><p><strong>Results: </strong>We found distinct constitutive, somatic and sperm, and age-related specific signatures in the genomic contexts, maintenance fidelity, and biological functions associated with 6mA, 5mC, and 5hmC. Sperm cells consistently displayed lower methylation entropy than did somatic tissues, indicating more stable methylation patterns in the germline. 5mC exhibited the greatest variation across all genomic contexts; 6mA and 5hmC displayed less dramatic differences. The influence of age was subtler but revealed context-dependent remodeling of methylation, particularly for 5hmC.</p><p><strong>Conclusions: </strong>We observed that 6mA, 5mC, and 5hmC displayed constitutive, somatic- and sperm-specific, and age-related differences that were associated with distinct genomic contexts and biological functions, supporting the complementarity of these methylation marks and their diverging epigenetic roles.</p>\",\"PeriodicalId\":55768,\"journal\":{\"name\":\"Epigenomes\",\"volume\":\"9 3\",\"pages\":\"\"},\"PeriodicalIF\":3.5000,\"publicationDate\":\"2025-09-18\",\"publicationTypes\":\"Journal Article\",\"fieldsOfStudy\":null,\"isOpenAccess\":false,\"openAccessPdf\":\"https://www.ncbi.nlm.nih.gov/pmc/articles/PMC12452632/pdf/\",\"citationCount\":\"0\",\"resultStr\":null,\"platform\":\"Semanticscholar\",\"paperid\":null,\"PeriodicalName\":\"Epigenomes\",\"FirstCategoryId\":\"1085\",\"ListUrlMain\":\"https://doi.org/10.3390/epigenomes9030035\",\"RegionNum\":0,\"RegionCategory\":null,\"ArticlePicture\":[],\"TitleCN\":null,\"AbstractTextCN\":null,\"PMCID\":null,\"EPubDate\":\"\",\"PubModel\":\"\",\"JCR\":\"Q3\",\"JCRName\":\"GENETICS & HEREDITY\",\"Score\":null,\"Total\":0}","platform":"Semanticscholar","paperid":null,"PeriodicalName":"Epigenomes","FirstCategoryId":"1085","ListUrlMain":"https://doi.org/10.3390/epigenomes9030035","RegionNum":0,"RegionCategory":null,"ArticlePicture":[],"TitleCN":null,"AbstractTextCN":null,"PMCID":null,"EPubDate":"","PubModel":"","JCR":"Q3","JCRName":"GENETICS & HEREDITY","Score":null,"Total":0}
引用次数: 0

摘要

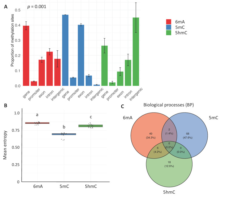
背景/目的:DNA甲基组允许环境信号转化为基因表达的稳定和适应性变化。虽然5-甲基胞嘧啶(5mC)已经被广泛研究,但其他表观遗传标记,如n6 -甲基腺嘌呤(6mA)和5-羟甲基胞嘧啶(5hmC)仍然知之甚少。这些标记的比较研究是罕见的,他们的结果经常被系统发育、组织类型、发育阶段或方法所混淆。在这里,我们的目的是解开单个物种中6mA, 5mC和5hmC所显示的构成,体细胞和种系特异性和/或年龄相关模式。方法:对黄尾大黄蜂(Bombus terrestris)雄性体细胞组织及其精子进行长读纳米孔测序,同时检测6mA、5mC和5hmC。我们采用逐步方法,先后确定了(i)体细胞组织和精子之间保守的构成模式,(ii)体细胞和种系之间的差异,以及(iii)年轻和年老雄性之间与年龄相关的变化。结果:我们在基因组背景、维持保真度和与6mA、5mC和5hmC相关的生物学功能中发现了不同的组成、体细胞和精子以及与年龄相关的特异性特征。精子细胞始终表现出比体细胞组织更低的甲基化熵,表明在种系中甲基化模式更稳定。5mC在所有基因组背景下表现出最大的差异;6mA和5hmC的差异较小。年龄的影响较为微妙,但揭示了甲基化的环境依赖性重构,尤其是5hmC。结论:我们观察到6mA、5mC和5hmC表现出组成性、体细胞特异性和精子特异性以及与年龄相关的差异,这些差异与不同的基因组背景和生物学功能相关,支持这些甲基化标记的互补性及其不同的表观遗传作用。
本文章由计算机程序翻译,如有差异,请以英文原文为准。

Comparative Mapping of N6-Methyladenine, C5-Methylcytosine, and C5-Hydroxymethylcytosine in a Single Species Reveals Constitutive, Somatic- and Germline-Specific, and Age-Related Genomic Context Distributions and Biological Functions.

Comparative Mapping of N6-Methyladenine, C5-Methylcytosine, and C5-Hydroxymethylcytosine in a Single Species Reveals Constitutive, Somatic- and Germline-Specific, and Age-Related Genomic Context Distributions and Biological Functions.

Comparative Mapping of N6-Methyladenine, C5-Methylcytosine, and C5-Hydroxymethylcytosine in a Single Species Reveals Constitutive, Somatic- and Germline-Specific, and Age-Related Genomic Context Distributions and Biological Functions.

Comparative Mapping of N6-Methyladenine, C5-Methylcytosine, and C5-Hydroxymethylcytosine in a Single Species Reveals Constitutive, Somatic- and Germline-Specific, and Age-Related Genomic Context Distributions and Biological Functions.

Background/objectives: The DNA methylome allows environmental signals to be converted into stable and adaptive changes in gene expression. While 5-methylcytosine (5mC) has been extensively studied, alternative epigenetic marks such as N6-methyladenine (6mA) and 5-hydroxymethylcytosine (5hmC) remain poorly understood. Comparative studies of these marks are rare, and their results are often confounded by phylogeny, tissue type, developmental stage, or methodology. Here, we aimed to disentangle the constitutive, somatic- and germline-specific, and/or age-related patterns displayed by 6mA, 5mC, and 5hmC within a single species.

Methods: We generated long-read nanopore sequencing data for somatic tissues of buff-tailed bumblebee (Bombus terrestris) males and their sperm, enabling simultaneous detection of 6mA, 5mC, and 5hmC. We used a stepwise approach to successively identify (i) constitutive patterns conserved between somatic tissues and sperm, (ii) differences between the soma and the germline, and (iii) age-related changes between young and old males.

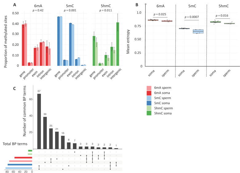
Results: We found distinct constitutive, somatic and sperm, and age-related specific signatures in the genomic contexts, maintenance fidelity, and biological functions associated with 6mA, 5mC, and 5hmC. Sperm cells consistently displayed lower methylation entropy than did somatic tissues, indicating more stable methylation patterns in the germline. 5mC exhibited the greatest variation across all genomic contexts; 6mA and 5hmC displayed less dramatic differences. The influence of age was subtler but revealed context-dependent remodeling of methylation, particularly for 5hmC.

Conclusions: We observed that 6mA, 5mC, and 5hmC displayed constitutive, somatic- and sperm-specific, and age-related differences that were associated with distinct genomic contexts and biological functions, supporting the complementarity of these methylation marks and their diverging epigenetic roles.

求助全文
通过发布文献求助,成功后即可免费获取论文全文。 去求助
来源期刊
Epigenomes
Epigenomes GENETICS & HEREDITY-
CiteScore
3.80
自引率
0.00%
发文量
38
审稿时长
11 weeks
×
引用
GB/T 7714-2015
复制
MLA
复制
APA
复制
导出至
BibTeX EndNote RefMan NoteFirst NoteExpress
×
提示
您的信息不完整,为了账户安全,请先补充。
现在去补充
×
提示
您因"违规操作"
具体请查看互助需知
我知道了
×
提示
确定
请完成安全验证×
copy
已复制链接
快去分享给好友吧!
我知道了
右上角分享
点击右上角分享
0
联系我们:info@booksci.cn Book学术提供免费学术资源搜索服务,方便国内外学者检索中英文文献。致力于提供最便捷和优质的服务体验。 Copyright © 2023 布克学术 All rights reserved.
京ICP备2023020795号-1
ghs 京公网安备 11010802042870号
Book学术文献互助
Book学术文献互助群
群 号:604180095
Book学术官方微信