异构图神经网络在生物医学网络中的链接预测。

IF 2.8 Q2 MATHEMATICAL & COMPUTATIONAL BIOLOGY
Bioinformatics advances Pub Date : 2025-08-05 eCollection Date: 2025-01-01 DOI:10.1093/bioadv/vbaf187
Junwei Hu, Michael Bewong, Selasi Kwashie, Wen Zhang, Hong-Yu Zhang, Zaiwen Feng
{"title":"异构图神经网络在生物医学网络中的链接预测。","authors":"Junwei Hu, Michael Bewong, Selasi Kwashie, Wen Zhang, Hong-Yu Zhang, Zaiwen Feng","doi":"10.1093/bioadv/vbaf187","DOIUrl":null,"url":null,"abstract":"<p><strong>Summary: </strong>Heterogeneous graph neural networks (HGNNs) are gaining popularity as powerful tools for analysing complex networks with diverse node types often referred to as heterogeneous graphs. While existing HGNNs have been successfully used within the context of social and information networks, their application in biomedicine remains limited. In this study, we posit the utility of readily available generic HGNNs in addressing the link prediction tasks in biomedical settings. Thus, we conduct a benchmarking study of 42 techniques including nine generic HGNNs across eight biomedical datasets using several evaluation metrics. Our results show that the recently developed and readily available generic HGNNs achieve comparable and sometimes better results when compared with the specialized biomedical methods across all evaluation metrics. For instance, the generic HGNN <i>Simple-HGN</i> achieves the best results in four of the eight datasets and shows equivalent performance to the biomedical methods on the remaining datasets. Furthermore, this work analyses and presents useful guidelines to practitioners on how to optimally set complex hyperparameters which underpin the HGNNs.</p><p><strong>Availability and implementation: </strong>Finally, this work makes publicly available, via https://github.com/Zaiwen/Link_Prediction_in_Biomedical_Network, the benchmarking framework and source codes which underpin this study.</p>","PeriodicalId":72368,"journal":{"name":"Bioinformatics advances","volume":"5 1","pages":"vbaf187"},"PeriodicalIF":2.8000,"publicationDate":"2025-08-05","publicationTypes":"Journal Article","fieldsOfStudy":null,"isOpenAccess":false,"openAccessPdf":"https://www.ncbi.nlm.nih.gov/pmc/articles/PMC12448810/pdf/","citationCount":"0","resultStr":"{\"title\":\"Heterogeneous graph neural networks for link prediction in biomedical networks.\",\"authors\":\"Junwei Hu, Michael Bewong, Selasi Kwashie, Wen Zhang, Hong-Yu Zhang, Zaiwen Feng\",\"doi\":\"10.1093/bioadv/vbaf187\",\"DOIUrl\":null,\"url\":null,\"abstract\":\"<p><strong>Summary: </strong>Heterogeneous graph neural networks (HGNNs) are gaining popularity as powerful tools for analysing complex networks with diverse node types often referred to as heterogeneous graphs. While existing HGNNs have been successfully used within the context of social and information networks, their application in biomedicine remains limited. In this study, we posit the utility of readily available generic HGNNs in addressing the link prediction tasks in biomedical settings. Thus, we conduct a benchmarking study of 42 techniques including nine generic HGNNs across eight biomedical datasets using several evaluation metrics. Our results show that the recently developed and readily available generic HGNNs achieve comparable and sometimes better results when compared with the specialized biomedical methods across all evaluation metrics. For instance, the generic HGNN <i>Simple-HGN</i> achieves the best results in four of the eight datasets and shows equivalent performance to the biomedical methods on the remaining datasets. Furthermore, this work analyses and presents useful guidelines to practitioners on how to optimally set complex hyperparameters which underpin the HGNNs.</p><p><strong>Availability and implementation: </strong>Finally, this work makes publicly available, via https://github.com/Zaiwen/Link_Prediction_in_Biomedical_Network, the benchmarking framework and source codes which underpin this study.</p>\",\"PeriodicalId\":72368,\"journal\":{\"name\":\"Bioinformatics advances\",\"volume\":\"5 1\",\"pages\":\"vbaf187\"},\"PeriodicalIF\":2.8000,\"publicationDate\":\"2025-08-05\",\"publicationTypes\":\"Journal Article\",\"fieldsOfStudy\":null,\"isOpenAccess\":false,\"openAccessPdf\":\"https://www.ncbi.nlm.nih.gov/pmc/articles/PMC12448810/pdf/\",\"citationCount\":\"0\",\"resultStr\":null,\"platform\":\"Semanticscholar\",\"paperid\":null,\"PeriodicalName\":\"Bioinformatics advances\",\"FirstCategoryId\":\"1085\",\"ListUrlMain\":\"https://doi.org/10.1093/bioadv/vbaf187\",\"RegionNum\":0,\"RegionCategory\":null,\"ArticlePicture\":[],\"TitleCN\":null,\"AbstractTextCN\":null,\"PMCID\":null,\"EPubDate\":\"2025/1/1 0:00:00\",\"PubModel\":\"eCollection\",\"JCR\":\"Q2\",\"JCRName\":\"MATHEMATICAL & COMPUTATIONAL BIOLOGY\",\"Score\":null,\"Total\":0}","platform":"Semanticscholar","paperid":null,"PeriodicalName":"Bioinformatics advances","FirstCategoryId":"1085","ListUrlMain":"https://doi.org/10.1093/bioadv/vbaf187","RegionNum":0,"RegionCategory":null,"ArticlePicture":[],"TitleCN":null,"AbstractTextCN":null,"PMCID":null,"EPubDate":"2025/1/1 0:00:00","PubModel":"eCollection","JCR":"Q2","JCRName":"MATHEMATICAL & COMPUTATIONAL BIOLOGY","Score":null,"Total":0}
引用次数: 0

摘要

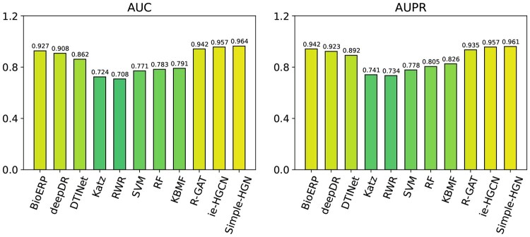
摘要:异构图神经网络(hgnn)作为分析具有不同节点类型(通常称为异构图)的复杂网络的强大工具而越来越受欢迎。虽然现有的hgnn已经成功地在社会和信息网络中使用,但它们在生物医学中的应用仍然有限。在这项研究中,我们假设在解决生物医学环境中的链接预测任务中,现成的通用hgnn的效用。因此,我们对42种技术进行了基准研究,包括8个生物医学数据集的9种通用hgnn,使用几种评估指标。我们的研究结果表明,与专门的生物医学方法相比,最近开发的和现成的通用hgnn在所有评估指标上都取得了相当的结果,有时甚至更好。例如,通用HGNN Simple-HGN在8个数据集中的4个数据集上取得了最好的结果,并且在其余数据集上表现出与生物医学方法相当的性能。此外,这项工作分析并提出了有用的指导方针,如何优化设置复杂的超参数,支撑hgnn的从业人员。可用性和实施:最后,这项工作通过https://github.com/Zaiwen/Link_Prediction_in_Biomedical_Network公开提供支撑本研究的基准测试框架和源代码。
本文章由计算机程序翻译,如有差异,请以英文原文为准。

Heterogeneous graph neural networks for link prediction in biomedical networks.

Heterogeneous graph neural networks for link prediction in biomedical networks.

Heterogeneous graph neural networks for link prediction in biomedical networks.

Heterogeneous graph neural networks for link prediction in biomedical networks.

Summary: Heterogeneous graph neural networks (HGNNs) are gaining popularity as powerful tools for analysing complex networks with diverse node types often referred to as heterogeneous graphs. While existing HGNNs have been successfully used within the context of social and information networks, their application in biomedicine remains limited. In this study, we posit the utility of readily available generic HGNNs in addressing the link prediction tasks in biomedical settings. Thus, we conduct a benchmarking study of 42 techniques including nine generic HGNNs across eight biomedical datasets using several evaluation metrics. Our results show that the recently developed and readily available generic HGNNs achieve comparable and sometimes better results when compared with the specialized biomedical methods across all evaluation metrics. For instance, the generic HGNN Simple-HGN achieves the best results in four of the eight datasets and shows equivalent performance to the biomedical methods on the remaining datasets. Furthermore, this work analyses and presents useful guidelines to practitioners on how to optimally set complex hyperparameters which underpin the HGNNs.

Availability and implementation: Finally, this work makes publicly available, via https://github.com/Zaiwen/Link_Prediction_in_Biomedical_Network, the benchmarking framework and source codes which underpin this study.

求助全文
通过发布文献求助,成功后即可免费获取论文全文。 去求助
来源期刊
CiteScore
1.60
自引率
0.00%
发文量
0
×
引用
GB/T 7714-2015
复制
MLA
复制
APA
复制
导出至
BibTeX EndNote RefMan NoteFirst NoteExpress
×
提示
您的信息不完整,为了账户安全,请先补充。
现在去补充
×
提示
您因"违规操作"
具体请查看互助需知
我知道了
×
提示
确定
请完成安全验证×
copy
已复制链接
快去分享给好友吧!
我知道了
右上角分享
点击右上角分享
0
联系我们:info@booksci.cn Book学术提供免费学术资源搜索服务,方便国内外学者检索中英文文献。致力于提供最便捷和优质的服务体验。 Copyright © 2023 布克学术 All rights reserved.
京ICP备2023020795号-1
ghs 京公网安备 11010802042870号
Book学术文献互助
Book学术文献互助群
群 号:604180095
Book学术官方微信