海洋微生物对冰源胶体中含铁的反应:凯尔盖伦岛案例研究。

IF 6.1 Q1 ECOLOGY
ISME communications Pub Date : 2025-06-03 eCollection Date: 2025-01-01 DOI:10.1093/ismeco/ycaf093
Rhea Thoppil, Stéphane Blain, Rui Zhang, Audrey Guéneuguès, Olivier Crispi, Philippe Catala, Barbara Marie, Ingrid Obernosterer
{"title":"海洋微生物对冰源胶体中含铁的反应:凯尔盖伦岛案例研究。","authors":"Rhea Thoppil, Stéphane Blain, Rui Zhang, Audrey Guéneuguès, Olivier Crispi, Philippe Catala, Barbara Marie, Ingrid Obernosterer","doi":"10.1093/ismeco/ycaf093","DOIUrl":null,"url":null,"abstract":"<p><p>The trace element iron (Fe) is a major constraint for microbially mediated processes in the Southern Ocean. The accelerated melting of glaciers could present a novel source of Fe, but whether glacial Fe is bioavailable to marine microbes is not known. We investigated the response of marine heterotrophic prokaryotes to Fe contained in colloids (20-200 nm) of glacial origin collected on Kerguelen Island (Southern Ocean). We followed prokaryotic growth in incubation experiments amended with colloids of either glacial or nonglacial origin and determined community composition and the abundance of genes involved in Fe-related processes in metagenomes and metagenome-assembled genomes (MAGs) at the final time point. Prokaryotic taxa belonging to <i>Vibrionaceae</i> and <i>Pseudomonadaceae</i> accounted together for 32% to 67% of the relative abundances in the glacial colloid-amended treatments, while <i>Rhodobacteraceae</i>, <i>Flavobacteriaceae</i>, and <i>Alteromonadaceae</i> were the dominant contributors to the communities in the incubations amended with nonglacial colloids. Metagenomic analysis revealed a higher abundance of genes involved in the biosynthesis of the siderophores pyoverdine and vibrioferrin as well as their respective transporters in the presence of glacial colloids compared to nonglacial colloids. Genes for the transport of both siderophores were present in diverse MAGs, while biosynthesis genes were detected in fewer MAGs. Our results suggest that the utilization of siderophores facilitates access to Fe from glacial colloids and points to the key role of specific prokaryotes in rendering this source of Fe available to Southern Ocean microbial communities.</p>","PeriodicalId":73516,"journal":{"name":"ISME communications","volume":"5 1","pages":"ycaf093"},"PeriodicalIF":6.1000,"publicationDate":"2025-06-03","publicationTypes":"Journal Article","fieldsOfStudy":null,"isOpenAccess":false,"openAccessPdf":"https://www.ncbi.nlm.nih.gov/pmc/articles/PMC12445661/pdf/","citationCount":"0","resultStr":"{\"title\":\"Response of marine microbes to iron contained in colloids of glacial origin: a Kerguelen Island case study.\",\"authors\":\"Rhea Thoppil, Stéphane Blain, Rui Zhang, Audrey Guéneuguès, Olivier Crispi, Philippe Catala, Barbara Marie, Ingrid Obernosterer\",\"doi\":\"10.1093/ismeco/ycaf093\",\"DOIUrl\":null,\"url\":null,\"abstract\":\"<p><p>The trace element iron (Fe) is a major constraint for microbially mediated processes in the Southern Ocean. The accelerated melting of glaciers could present a novel source of Fe, but whether glacial Fe is bioavailable to marine microbes is not known. We investigated the response of marine heterotrophic prokaryotes to Fe contained in colloids (20-200 nm) of glacial origin collected on Kerguelen Island (Southern Ocean). We followed prokaryotic growth in incubation experiments amended with colloids of either glacial or nonglacial origin and determined community composition and the abundance of genes involved in Fe-related processes in metagenomes and metagenome-assembled genomes (MAGs) at the final time point. Prokaryotic taxa belonging to <i>Vibrionaceae</i> and <i>Pseudomonadaceae</i> accounted together for 32% to 67% of the relative abundances in the glacial colloid-amended treatments, while <i>Rhodobacteraceae</i>, <i>Flavobacteriaceae</i>, and <i>Alteromonadaceae</i> were the dominant contributors to the communities in the incubations amended with nonglacial colloids. Metagenomic analysis revealed a higher abundance of genes involved in the biosynthesis of the siderophores pyoverdine and vibrioferrin as well as their respective transporters in the presence of glacial colloids compared to nonglacial colloids. Genes for the transport of both siderophores were present in diverse MAGs, while biosynthesis genes were detected in fewer MAGs. Our results suggest that the utilization of siderophores facilitates access to Fe from glacial colloids and points to the key role of specific prokaryotes in rendering this source of Fe available to Southern Ocean microbial communities.</p>\",\"PeriodicalId\":73516,\"journal\":{\"name\":\"ISME communications\",\"volume\":\"5 1\",\"pages\":\"ycaf093\"},\"PeriodicalIF\":6.1000,\"publicationDate\":\"2025-06-03\",\"publicationTypes\":\"Journal Article\",\"fieldsOfStudy\":null,\"isOpenAccess\":false,\"openAccessPdf\":\"https://www.ncbi.nlm.nih.gov/pmc/articles/PMC12445661/pdf/\",\"citationCount\":\"0\",\"resultStr\":null,\"platform\":\"Semanticscholar\",\"paperid\":null,\"PeriodicalName\":\"ISME communications\",\"FirstCategoryId\":\"1085\",\"ListUrlMain\":\"https://doi.org/10.1093/ismeco/ycaf093\",\"RegionNum\":0,\"RegionCategory\":null,\"ArticlePicture\":[],\"TitleCN\":null,\"AbstractTextCN\":null,\"PMCID\":null,\"EPubDate\":\"2025/1/1 0:00:00\",\"PubModel\":\"eCollection\",\"JCR\":\"Q1\",\"JCRName\":\"ECOLOGY\",\"Score\":null,\"Total\":0}","platform":"Semanticscholar","paperid":null,"PeriodicalName":"ISME communications","FirstCategoryId":"1085","ListUrlMain":"https://doi.org/10.1093/ismeco/ycaf093","RegionNum":0,"RegionCategory":null,"ArticlePicture":[],"TitleCN":null,"AbstractTextCN":null,"PMCID":null,"EPubDate":"2025/1/1 0:00:00","PubModel":"eCollection","JCR":"Q1","JCRName":"ECOLOGY","Score":null,"Total":0}
引用次数: 0

摘要

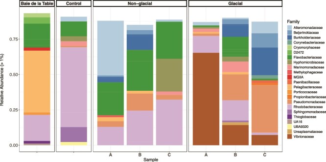
微量元素铁(Fe)是南大洋微生物介导过程的主要制约因素。冰川的加速融化可能提供一种新的铁来源,但冰川铁是否对海洋微生物具有生物可利用性尚不清楚。研究了海洋异养原核生物对在南大洋Kerguelen岛采集的冰源胶体(20-200 nm)中含铁的反应。我们在用冰川期或非冰川期胶体修饰的孵育实验中跟踪了原核生物的生长,并确定了最终时间点宏基因组和宏基因组组装基因组(MAGs)中参与铁相关过程的群落组成和基因丰度。原核类群中弧菌科和假单胞菌科的相对丰度占冰川胶体处理相对丰度的32% ~ 67%,而红杆菌科、黄杆菌科和Alteromonadaceae在非冰川胶体处理中占主导地位。宏基因组分析显示,与非冰川胶体相比,冰川胶体中参与铁载体pyoverdine和弧菌铁蛋白及其各自转运体生物合成的基因丰度更高。运输这两种铁载体的基因存在于不同的mag中,而生物合成基因在较少的mag中被检测到。我们的研究结果表明,铁载体的利用有助于从冰川胶体中获取铁,并指出特定的原核生物在使南大洋微生物群落获得铁来源方面发挥了关键作用。
本文章由计算机程序翻译,如有差异,请以英文原文为准。

Response of marine microbes to iron contained in colloids of glacial origin: a Kerguelen Island case study.

Response of marine microbes to iron contained in colloids of glacial origin: a Kerguelen Island case study.

Response of marine microbes to iron contained in colloids of glacial origin: a Kerguelen Island case study.

Response of marine microbes to iron contained in colloids of glacial origin: a Kerguelen Island case study.

The trace element iron (Fe) is a major constraint for microbially mediated processes in the Southern Ocean. The accelerated melting of glaciers could present a novel source of Fe, but whether glacial Fe is bioavailable to marine microbes is not known. We investigated the response of marine heterotrophic prokaryotes to Fe contained in colloids (20-200 nm) of glacial origin collected on Kerguelen Island (Southern Ocean). We followed prokaryotic growth in incubation experiments amended with colloids of either glacial or nonglacial origin and determined community composition and the abundance of genes involved in Fe-related processes in metagenomes and metagenome-assembled genomes (MAGs) at the final time point. Prokaryotic taxa belonging to Vibrionaceae and Pseudomonadaceae accounted together for 32% to 67% of the relative abundances in the glacial colloid-amended treatments, while Rhodobacteraceae, Flavobacteriaceae, and Alteromonadaceae were the dominant contributors to the communities in the incubations amended with nonglacial colloids. Metagenomic analysis revealed a higher abundance of genes involved in the biosynthesis of the siderophores pyoverdine and vibrioferrin as well as their respective transporters in the presence of glacial colloids compared to nonglacial colloids. Genes for the transport of both siderophores were present in diverse MAGs, while biosynthesis genes were detected in fewer MAGs. Our results suggest that the utilization of siderophores facilitates access to Fe from glacial colloids and points to the key role of specific prokaryotes in rendering this source of Fe available to Southern Ocean microbial communities.

求助全文
通过发布文献求助,成功后即可免费获取论文全文。 去求助
来源期刊
自引率
0.00%
发文量
0
×
引用
GB/T 7714-2015
复制
MLA
复制
APA
复制
导出至
BibTeX EndNote RefMan NoteFirst NoteExpress
×
提示
您的信息不完整,为了账户安全,请先补充。
现在去补充
×
提示
您因"违规操作"
具体请查看互助需知
我知道了
×
提示
确定
请完成安全验证×
copy
已复制链接
快去分享给好友吧!
我知道了
右上角分享
点击右上角分享
0
联系我们:info@booksci.cn Book学术提供免费学术资源搜索服务,方便国内外学者检索中英文文献。致力于提供最便捷和优质的服务体验。 Copyright © 2023 布克学术 All rights reserved.
京ICP备2023020795号-1
ghs 京公网安备 11010802042870号
Book学术文献互助
Book学术文献互助群
群 号:604180095
Book学术官方微信