胰岛素治疗2型糖尿病住院患者低血糖风险预测工具的开发与验证

IF 4.6 3区 医学 Q1 ENDOCRINOLOGY & METABOLISM
Yao Zhang, Xi-Ling Hu, Wei-Ran Xu, Yan-Ming Chen, Xiao-Di Guo, Shu-Hong Liu, Ling-Ling Gao
{"title":"胰岛素治疗2型糖尿病住院患者低血糖风险预测工具的开发与验证","authors":"Yao Zhang, Xi-Ling Hu, Wei-Ran Xu, Yan-Ming Chen, Xiao-Di Guo, Shu-Hong Liu, Ling-Ling Gao","doi":"10.4239/wjd.v16.i9.104290","DOIUrl":null,"url":null,"abstract":"<p><strong>Background: </strong>Insulin is the preferred clinical treatment for hospitalized patients with type 2 diabetes mellitus (T2DM) to control blood glucose effectively. Hypoglycemia is one of the most common adverse events. Accurate prediction of the risk of hypoglycemia is critical in reducing hypoglycemic events and related adverse events in hospitalized diabetic patients treated with insulin.</p><p><strong>Aim: </strong>To develop and validate a hypoglycemia risk prediction tool for hospitalized patients with T2DM treated with insulin.</p><p><strong>Methods: </strong>This retrospective study included 802 hospitalized patients with T2DM in the Department of Endocrinology, the Third Affiliated Hospital of Sun Yat-sen University, between January 2021 and December 2021. The hypoglycemia risk prediction model was developed using logistic regression and nomogram models. The model was validated and calibrated using receiver operating characteristic curves and the Hosmer-Lemeshow goodness of fit test.</p><p><strong>Results: </strong>The incidence of hypoglycemia among the enrolled patients was 44.9%. The hypoglycemic risk prediction model included six predictors: Body mass index, duration of diabetes, history of hypoglycemia within 1 year, glomerular filtration rate, blood triglyceride levels, and duration of treatment. The hypoglycemia risk prediction model displayed high discrimination ability (area under the curve = 0.67) and good calibration power (goodness of fit, <i>χ</i> <sup>2</sup> =12.25, <i>P</i> = 0.14).</p><p><strong>Conclusion: </strong>The hypoglycemia risk prediction model for hospitalized patients with T2DM on insulin therapy displayed high reliability and discrimination ability. The model is a promising tool for clinicians to screen hospitalized patients with T2DM and an elevated risk of hypoglycemia and guide personalized interventions to prevent and treat hypoglycemia.</p>","PeriodicalId":48607,"journal":{"name":"World Journal of Diabetes","volume":"16 9","pages":"104290"},"PeriodicalIF":4.6000,"publicationDate":"2025-09-15","publicationTypes":"Journal Article","fieldsOfStudy":null,"isOpenAccess":false,"openAccessPdf":"https://www.ncbi.nlm.nih.gov/pmc/articles/PMC12444253/pdf/","citationCount":"0","resultStr":"{\"title\":\"Development and validation of a hypoglycemia risk prediction tool for hospitalized patients with type 2 diabetes mellitus treated with insulin.\",\"authors\":\"Yao Zhang, Xi-Ling Hu, Wei-Ran Xu, Yan-Ming Chen, Xiao-Di Guo, Shu-Hong Liu, Ling-Ling Gao\",\"doi\":\"10.4239/wjd.v16.i9.104290\",\"DOIUrl\":null,\"url\":null,\"abstract\":\"<p><strong>Background: </strong>Insulin is the preferred clinical treatment for hospitalized patients with type 2 diabetes mellitus (T2DM) to control blood glucose effectively. Hypoglycemia is one of the most common adverse events. Accurate prediction of the risk of hypoglycemia is critical in reducing hypoglycemic events and related adverse events in hospitalized diabetic patients treated with insulin.</p><p><strong>Aim: </strong>To develop and validate a hypoglycemia risk prediction tool for hospitalized patients with T2DM treated with insulin.</p><p><strong>Methods: </strong>This retrospective study included 802 hospitalized patients with T2DM in the Department of Endocrinology, the Third Affiliated Hospital of Sun Yat-sen University, between January 2021 and December 2021. The hypoglycemia risk prediction model was developed using logistic regression and nomogram models. The model was validated and calibrated using receiver operating characteristic curves and the Hosmer-Lemeshow goodness of fit test.</p><p><strong>Results: </strong>The incidence of hypoglycemia among the enrolled patients was 44.9%. The hypoglycemic risk prediction model included six predictors: Body mass index, duration of diabetes, history of hypoglycemia within 1 year, glomerular filtration rate, blood triglyceride levels, and duration of treatment. The hypoglycemia risk prediction model displayed high discrimination ability (area under the curve = 0.67) and good calibration power (goodness of fit, <i>χ</i> <sup>2</sup> =12.25, <i>P</i> = 0.14).</p><p><strong>Conclusion: </strong>The hypoglycemia risk prediction model for hospitalized patients with T2DM on insulin therapy displayed high reliability and discrimination ability. The model is a promising tool for clinicians to screen hospitalized patients with T2DM and an elevated risk of hypoglycemia and guide personalized interventions to prevent and treat hypoglycemia.</p>\",\"PeriodicalId\":48607,\"journal\":{\"name\":\"World Journal of Diabetes\",\"volume\":\"16 9\",\"pages\":\"104290\"},\"PeriodicalIF\":4.6000,\"publicationDate\":\"2025-09-15\",\"publicationTypes\":\"Journal Article\",\"fieldsOfStudy\":null,\"isOpenAccess\":false,\"openAccessPdf\":\"https://www.ncbi.nlm.nih.gov/pmc/articles/PMC12444253/pdf/\",\"citationCount\":\"0\",\"resultStr\":null,\"platform\":\"Semanticscholar\",\"paperid\":null,\"PeriodicalName\":\"World Journal of Diabetes\",\"FirstCategoryId\":\"3\",\"ListUrlMain\":\"https://doi.org/10.4239/wjd.v16.i9.104290\",\"RegionNum\":3,\"RegionCategory\":\"医学\",\"ArticlePicture\":[],\"TitleCN\":null,\"AbstractTextCN\":null,\"PMCID\":null,\"EPubDate\":\"\",\"PubModel\":\"\",\"JCR\":\"Q1\",\"JCRName\":\"ENDOCRINOLOGY & METABOLISM\",\"Score\":null,\"Total\":0}","platform":"Semanticscholar","paperid":null,"PeriodicalName":"World Journal of Diabetes","FirstCategoryId":"3","ListUrlMain":"https://doi.org/10.4239/wjd.v16.i9.104290","RegionNum":3,"RegionCategory":"医学","ArticlePicture":[],"TitleCN":null,"AbstractTextCN":null,"PMCID":null,"EPubDate":"","PubModel":"","JCR":"Q1","JCRName":"ENDOCRINOLOGY & METABOLISM","Score":null,"Total":0}
引用次数: 0

摘要

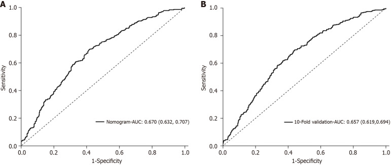
背景:胰岛素是2型糖尿病(T2DM)住院患者有效控制血糖的首选临床治疗方法。低血糖是最常见的不良事件之一。准确预测低血糖风险对于减少胰岛素治疗的住院糖尿病患者的低血糖事件和相关不良事件至关重要。目的:开发并验证胰岛素治疗T2DM住院患者低血糖风险预测工具。方法:本回顾性研究纳入中山大学第三附属医院内分泌科于2021年1月至2021年12月住院的802例T2DM患者。采用logistic回归和nomogram模型建立低血糖风险预测模型。采用受试者工作特征曲线和Hosmer-Lemeshow拟合优度检验对模型进行了验证和校正。结果:本组患者低血糖发生率为44.9%。低血糖风险预测模型包括6个预测指标:体重指数、糖尿病病程、1年内低血糖史、肾小球滤过率、血甘油三酯水平、治疗时间。低血糖风险预测模型判别能力强(曲线下面积= 0.67),校正效果好(拟合优度,χ 2 =12.25, P = 0.14)。结论:胰岛素治疗T2DM住院患者低血糖风险预测模型具有较高的可靠性和识别能力。该模型是临床医生筛选T2DM和高血糖风险住院患者并指导个性化干预以预防和治疗低血糖的一个很有前途的工具。
本文章由计算机程序翻译,如有差异,请以英文原文为准。

Development and validation of a hypoglycemia risk prediction tool for hospitalized patients with type 2 diabetes mellitus treated with insulin.

Development and validation of a hypoglycemia risk prediction tool for hospitalized patients with type 2 diabetes mellitus treated with insulin.

Development and validation of a hypoglycemia risk prediction tool for hospitalized patients with type 2 diabetes mellitus treated with insulin.

Background: Insulin is the preferred clinical treatment for hospitalized patients with type 2 diabetes mellitus (T2DM) to control blood glucose effectively. Hypoglycemia is one of the most common adverse events. Accurate prediction of the risk of hypoglycemia is critical in reducing hypoglycemic events and related adverse events in hospitalized diabetic patients treated with insulin.

Aim: To develop and validate a hypoglycemia risk prediction tool for hospitalized patients with T2DM treated with insulin.

Methods: This retrospective study included 802 hospitalized patients with T2DM in the Department of Endocrinology, the Third Affiliated Hospital of Sun Yat-sen University, between January 2021 and December 2021. The hypoglycemia risk prediction model was developed using logistic regression and nomogram models. The model was validated and calibrated using receiver operating characteristic curves and the Hosmer-Lemeshow goodness of fit test.

Results: The incidence of hypoglycemia among the enrolled patients was 44.9%. The hypoglycemic risk prediction model included six predictors: Body mass index, duration of diabetes, history of hypoglycemia within 1 year, glomerular filtration rate, blood triglyceride levels, and duration of treatment. The hypoglycemia risk prediction model displayed high discrimination ability (area under the curve = 0.67) and good calibration power (goodness of fit, χ 2 =12.25, P = 0.14).

Conclusion: The hypoglycemia risk prediction model for hospitalized patients with T2DM on insulin therapy displayed high reliability and discrimination ability. The model is a promising tool for clinicians to screen hospitalized patients with T2DM and an elevated risk of hypoglycemia and guide personalized interventions to prevent and treat hypoglycemia.

求助全文
通过发布文献求助,成功后即可免费获取论文全文。 去求助
来源期刊
World Journal of Diabetes
World Journal of Diabetes ENDOCRINOLOGY & METABOLISM-
自引率
2.40%
发文量
909
期刊介绍: The WJD is a high-quality, peer reviewed, open-access journal. The primary task of WJD is to rapidly publish high-quality original articles, reviews, editorials, and case reports in the field of diabetes. In order to promote productive academic communication, the peer review process for the WJD is transparent; to this end, all published manuscripts are accompanied by the anonymized reviewers’ comments as well as the authors’ responses. The primary aims of the WJD are to improve diagnostic, therapeutic and preventive modalities and the skills of clinicians and to guide clinical practice in diabetes. Scope: Diabetes Complications, Experimental Diabetes Mellitus, Type 1 Diabetes Mellitus, Type 2 Diabetes Mellitus, Diabetes, Gestational, Diabetic Angiopathies, Diabetic Cardiomyopathies, Diabetic Coma, Diabetic Ketoacidosis, Diabetic Nephropathies, Diabetic Neuropathies, Donohue Syndrome, Fetal Macrosomia, and Prediabetic State.
×
引用
GB/T 7714-2015
复制
MLA
复制
APA
复制
导出至
BibTeX EndNote RefMan NoteFirst NoteExpress
×
提示
您的信息不完整,为了账户安全,请先补充。
现在去补充
×
提示
您因"违规操作"
具体请查看互助需知
我知道了
×
提示
确定
请完成安全验证×
copy
已复制链接
快去分享给好友吧!
我知道了
右上角分享
点击右上角分享
0
联系我们:info@booksci.cn Book学术提供免费学术资源搜索服务,方便国内外学者检索中英文文献。致力于提供最便捷和优质的服务体验。 Copyright © 2023 布克学术 All rights reserved.
京ICP备2023020795号-1
ghs 京公网安备 11010802042870号
Book学术文献互助
Book学术文献互助群
群 号:604180095
Book学术官方微信