新生儿筛查可能遗漏轻度形式的钴胺素C疾病:甲基丙二酸评估的重要性。

IF 4 Q1 GENETICS & HEREDITY
Francesca Nardecchia, Agnese De Giorgi, Silvia Santagata, Teresa Giovanniello, Manuela Tolve, Antonio Angeloni, Vincenzo Leuzzi, Francesco Pisani, Claudia Carducci
{"title":"新生儿筛查可能遗漏轻度形式的钴胺素C疾病:甲基丙二酸评估的重要性。","authors":"Francesca Nardecchia, Agnese De Giorgi, Silvia Santagata, Teresa Giovanniello, Manuela Tolve, Antonio Angeloni, Vincenzo Leuzzi, Francesco Pisani, Claudia Carducci","doi":"10.3390/ijns11030077","DOIUrl":null,"url":null,"abstract":"<p><p>CblC deficiency is the most common intracellular disorder of vitamin B12 metabolism. Expanded newborn screening (NBS) plays a key role in early diagnosis, allowing timely treatment and preventing serious complications. However, traditional first-tier markers-such as propionylcarnitine (C3) and its ratios with other metabolites (e.g., methionine, carnitine, and acetylcarnitine)-have limited sensitivity, particularly for mild forms, leading to missed or delayed diagnoses. In this study, we analyzed data from the NBS Center of the Lazio region (Italy) and identified nine newborns with confirmed CblC deficiency. All were recalled due to abnormalities in C3 or related ratios, along with elevated methylmalonic acid (MMA) levels. Notably, three infants had completely normal C3 levels and ratios during the second screening test, yet they showed MMA levels above the cut-off value (2 µmol/L), enabling a diagnosis of otherwise undetectable mild CblC cases. Our center regularly measures MMA in dried blood spots, even when first-tier markers return to normal on the second sample. This approach allows for early diagnosis and immediate treatment with hydroxocobalamin in patients with mild CblC deficiency, resulting in early intervention, effective metabolic control, and, based on current follow-up, normal neurodevelopmental outcomes. Our findings highlight the essential role of second-tier MMA testing in improving the detection of mild CblC deficiency during NBS.</p>","PeriodicalId":14159,"journal":{"name":"International Journal of Neonatal Screening","volume":"11 3","pages":""},"PeriodicalIF":4.0000,"publicationDate":"2025-09-12","publicationTypes":"Journal Article","fieldsOfStudy":null,"isOpenAccess":false,"openAccessPdf":"https://www.ncbi.nlm.nih.gov/pmc/articles/PMC12452357/pdf/","citationCount":"0","resultStr":"{\"title\":\"Milder Form of Cobalamin C Disease May Be Missed by Newborn Screening: The Importance of Methylmalonic Acid Assessment.\",\"authors\":\"Francesca Nardecchia, Agnese De Giorgi, Silvia Santagata, Teresa Giovanniello, Manuela Tolve, Antonio Angeloni, Vincenzo Leuzzi, Francesco Pisani, Claudia Carducci\",\"doi\":\"10.3390/ijns11030077\",\"DOIUrl\":null,\"url\":null,\"abstract\":\"<p><p>CblC deficiency is the most common intracellular disorder of vitamin B12 metabolism. Expanded newborn screening (NBS) plays a key role in early diagnosis, allowing timely treatment and preventing serious complications. However, traditional first-tier markers-such as propionylcarnitine (C3) and its ratios with other metabolites (e.g., methionine, carnitine, and acetylcarnitine)-have limited sensitivity, particularly for mild forms, leading to missed or delayed diagnoses. In this study, we analyzed data from the NBS Center of the Lazio region (Italy) and identified nine newborns with confirmed CblC deficiency. All were recalled due to abnormalities in C3 or related ratios, along with elevated methylmalonic acid (MMA) levels. Notably, three infants had completely normal C3 levels and ratios during the second screening test, yet they showed MMA levels above the cut-off value (2 µmol/L), enabling a diagnosis of otherwise undetectable mild CblC cases. Our center regularly measures MMA in dried blood spots, even when first-tier markers return to normal on the second sample. This approach allows for early diagnosis and immediate treatment with hydroxocobalamin in patients with mild CblC deficiency, resulting in early intervention, effective metabolic control, and, based on current follow-up, normal neurodevelopmental outcomes. Our findings highlight the essential role of second-tier MMA testing in improving the detection of mild CblC deficiency during NBS.</p>\",\"PeriodicalId\":14159,\"journal\":{\"name\":\"International Journal of Neonatal Screening\",\"volume\":\"11 3\",\"pages\":\"\"},\"PeriodicalIF\":4.0000,\"publicationDate\":\"2025-09-12\",\"publicationTypes\":\"Journal Article\",\"fieldsOfStudy\":null,\"isOpenAccess\":false,\"openAccessPdf\":\"https://www.ncbi.nlm.nih.gov/pmc/articles/PMC12452357/pdf/\",\"citationCount\":\"0\",\"resultStr\":null,\"platform\":\"Semanticscholar\",\"paperid\":null,\"PeriodicalName\":\"International Journal of Neonatal Screening\",\"FirstCategoryId\":\"1085\",\"ListUrlMain\":\"https://doi.org/10.3390/ijns11030077\",\"RegionNum\":0,\"RegionCategory\":null,\"ArticlePicture\":[],\"TitleCN\":null,\"AbstractTextCN\":null,\"PMCID\":null,\"EPubDate\":\"\",\"PubModel\":\"\",\"JCR\":\"Q1\",\"JCRName\":\"GENETICS & HEREDITY\",\"Score\":null,\"Total\":0}","platform":"Semanticscholar","paperid":null,"PeriodicalName":"International Journal of Neonatal Screening","FirstCategoryId":"1085","ListUrlMain":"https://doi.org/10.3390/ijns11030077","RegionNum":0,"RegionCategory":null,"ArticlePicture":[],"TitleCN":null,"AbstractTextCN":null,"PMCID":null,"EPubDate":"","PubModel":"","JCR":"Q1","JCRName":"GENETICS & HEREDITY","Score":null,"Total":0}
引用次数: 0

摘要

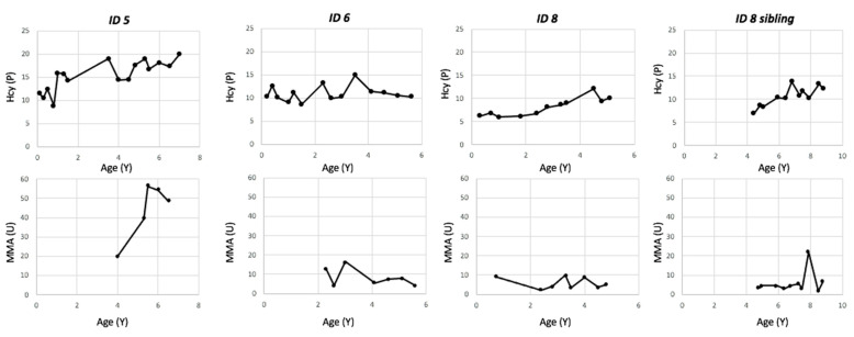
CblC缺乏症是最常见的维生素B12代谢细胞内紊乱。扩大新生儿筛查(NBS)在早期诊断、及时治疗和预防严重并发症方面发挥关键作用。然而,传统的一级标记物——如丙酰肉碱(C3)及其与其他代谢物(如蛋氨酸、肉碱和乙酰肉碱)的比值——敏感性有限,特别是对轻度形式,导致漏诊或延误诊断。在这项研究中,我们分析了来自拉齐奥地区(意大利)国家统计局中心的数据,并确定了9名确诊CblC缺乏症的新生儿。所有召回都是由于C3或相关比率异常,以及甲基丙二酸(MMA)水平升高。值得注意的是,在第二次筛查试验中,有3名婴儿的C3水平和比率完全正常,但他们的MMA水平高于临界值(2µmol/L),从而可以诊断出其他无法检测到的轻度CblC病例。我们中心定期测量干血点的MMA,即使第一级标记物在第二份样本上恢复正常。这种方法允许轻度CblC缺乏症患者的早期诊断和立即用羟钴胺素治疗,导致早期干预,有效的代谢控制,并根据目前的随访,正常的神经发育结果。我们的研究结果强调了二级MMA检测在改善NBS期间轻度CblC缺乏症的检测中的重要作用。
本文章由计算机程序翻译,如有差异,请以英文原文为准。

Milder Form of Cobalamin C Disease May Be Missed by Newborn Screening: The Importance of Methylmalonic Acid Assessment.

Milder Form of Cobalamin C Disease May Be Missed by Newborn Screening: The Importance of Methylmalonic Acid Assessment.

Milder Form of Cobalamin C Disease May Be Missed by Newborn Screening: The Importance of Methylmalonic Acid Assessment.

CblC deficiency is the most common intracellular disorder of vitamin B12 metabolism. Expanded newborn screening (NBS) plays a key role in early diagnosis, allowing timely treatment and preventing serious complications. However, traditional first-tier markers-such as propionylcarnitine (C3) and its ratios with other metabolites (e.g., methionine, carnitine, and acetylcarnitine)-have limited sensitivity, particularly for mild forms, leading to missed or delayed diagnoses. In this study, we analyzed data from the NBS Center of the Lazio region (Italy) and identified nine newborns with confirmed CblC deficiency. All were recalled due to abnormalities in C3 or related ratios, along with elevated methylmalonic acid (MMA) levels. Notably, three infants had completely normal C3 levels and ratios during the second screening test, yet they showed MMA levels above the cut-off value (2 µmol/L), enabling a diagnosis of otherwise undetectable mild CblC cases. Our center regularly measures MMA in dried blood spots, even when first-tier markers return to normal on the second sample. This approach allows for early diagnosis and immediate treatment with hydroxocobalamin in patients with mild CblC deficiency, resulting in early intervention, effective metabolic control, and, based on current follow-up, normal neurodevelopmental outcomes. Our findings highlight the essential role of second-tier MMA testing in improving the detection of mild CblC deficiency during NBS.

求助全文
通过发布文献求助,成功后即可免费获取论文全文。 去求助
来源期刊
International Journal of Neonatal Screening
International Journal of Neonatal Screening Medicine-Pediatrics, Perinatology and Child Health
CiteScore
6.70
自引率
20.00%
发文量
56
审稿时长
11 weeks
×
引用
GB/T 7714-2015
复制
MLA
复制
APA
复制
导出至
BibTeX EndNote RefMan NoteFirst NoteExpress
×
提示
您的信息不完整,为了账户安全,请先补充。
现在去补充
×
提示
您因"违规操作"
具体请查看互助需知
我知道了
×
提示
确定
请完成安全验证×
copy
已复制链接
快去分享给好友吧!
我知道了
右上角分享
点击右上角分享
0
联系我们:info@booksci.cn Book学术提供免费学术资源搜索服务,方便国内外学者检索中英文文献。致力于提供最便捷和优质的服务体验。 Copyright © 2023 布克学术 All rights reserved.
京ICP备2023020795号-1
ghs 京公网安备 11010802042870号
Book学术文献互助
Book学术文献互助群
群 号:604180095
Book学术官方微信