新生儿基因组筛选中干血斑DNA分离和制备方案的比较。

IF 4 Q1 GENETICS & HEREDITY
Annelotte J Duintjer, Sandra Imholz, Ingrid Pico-Knijnenburg, Adinda Heuperman, Hennie Hodemaekers, Eva S Deutekom, Els Voorhoeve, Martijn E T Dollé, Mirjam van der Burg
{"title":"新生儿基因组筛选中干血斑DNA分离和制备方案的比较。","authors":"Annelotte J Duintjer, Sandra Imholz, Ingrid Pico-Knijnenburg, Adinda Heuperman, Hennie Hodemaekers, Eva S Deutekom, Els Voorhoeve, Martijn E T Dollé, Mirjam van der Burg","doi":"10.3390/ijns11030075","DOIUrl":null,"url":null,"abstract":"<p><p>Due to rapid technical advancements and increasing cost-effectiveness, the potential application of next-generation sequencing (NGS) in newborn screening (NBS) has raised great interest worldwide. Genomic NBS offers the possibility to improve current NBS programs when applied as follow-up tier, and, as first-tier, allows for inclusion of conditions lacking a detectable biomarker for conventional NBS. Obtaining enough high-quality DNA from typically limited dried blood spot (DBS) material to meet NGS requirements can be challenging. Selecting a DNA isolation method for genomic NBS requires balancing technical performance and laboratory feasibility with optimal cost-effectiveness. Ten DNA isolation protocols, including two column-based, five lysis-based, and three semi-automated magnetic bead-based protocols, were evaluated on technical outcomes and performance in targeted amplicon sequencing. Additionally, estimated costs, hands-on time, turnaround time, scalability, and plastic footprint were assessed. Although technical outcomes, including yield, purity, and molecular weight, differed between methods, qualitative results in amplicon sequencing, as defined by read output, mapping, and coverage depth, were found sufficient and comparable for various protocols. In conclusion, both technical requirements and operational parameters are crucial when selecting a DNA isolation protocol and will depend on the NGS application as well as the NBS approach, as either first-tier or follow-up tier.</p>","PeriodicalId":14159,"journal":{"name":"International Journal of Neonatal Screening","volume":"11 3","pages":""},"PeriodicalIF":4.0000,"publicationDate":"2025-09-03","publicationTypes":"Journal Article","fieldsOfStudy":null,"isOpenAccess":false,"openAccessPdf":"https://www.ncbi.nlm.nih.gov/pmc/articles/PMC12452450/pdf/","citationCount":"0","resultStr":"{\"title\":\"Comparing DNA Isolation and Preparation Protocols for Dried Blood Spots in the Context of Genomic Newborn Screening.\",\"authors\":\"Annelotte J Duintjer, Sandra Imholz, Ingrid Pico-Knijnenburg, Adinda Heuperman, Hennie Hodemaekers, Eva S Deutekom, Els Voorhoeve, Martijn E T Dollé, Mirjam van der Burg\",\"doi\":\"10.3390/ijns11030075\",\"DOIUrl\":null,\"url\":null,\"abstract\":\"<p><p>Due to rapid technical advancements and increasing cost-effectiveness, the potential application of next-generation sequencing (NGS) in newborn screening (NBS) has raised great interest worldwide. Genomic NBS offers the possibility to improve current NBS programs when applied as follow-up tier, and, as first-tier, allows for inclusion of conditions lacking a detectable biomarker for conventional NBS. Obtaining enough high-quality DNA from typically limited dried blood spot (DBS) material to meet NGS requirements can be challenging. Selecting a DNA isolation method for genomic NBS requires balancing technical performance and laboratory feasibility with optimal cost-effectiveness. Ten DNA isolation protocols, including two column-based, five lysis-based, and three semi-automated magnetic bead-based protocols, were evaluated on technical outcomes and performance in targeted amplicon sequencing. Additionally, estimated costs, hands-on time, turnaround time, scalability, and plastic footprint were assessed. Although technical outcomes, including yield, purity, and molecular weight, differed between methods, qualitative results in amplicon sequencing, as defined by read output, mapping, and coverage depth, were found sufficient and comparable for various protocols. In conclusion, both technical requirements and operational parameters are crucial when selecting a DNA isolation protocol and will depend on the NGS application as well as the NBS approach, as either first-tier or follow-up tier.</p>\",\"PeriodicalId\":14159,\"journal\":{\"name\":\"International Journal of Neonatal Screening\",\"volume\":\"11 3\",\"pages\":\"\"},\"PeriodicalIF\":4.0000,\"publicationDate\":\"2025-09-03\",\"publicationTypes\":\"Journal Article\",\"fieldsOfStudy\":null,\"isOpenAccess\":false,\"openAccessPdf\":\"https://www.ncbi.nlm.nih.gov/pmc/articles/PMC12452450/pdf/\",\"citationCount\":\"0\",\"resultStr\":null,\"platform\":\"Semanticscholar\",\"paperid\":null,\"PeriodicalName\":\"International Journal of Neonatal Screening\",\"FirstCategoryId\":\"1085\",\"ListUrlMain\":\"https://doi.org/10.3390/ijns11030075\",\"RegionNum\":0,\"RegionCategory\":null,\"ArticlePicture\":[],\"TitleCN\":null,\"AbstractTextCN\":null,\"PMCID\":null,\"EPubDate\":\"\",\"PubModel\":\"\",\"JCR\":\"Q1\",\"JCRName\":\"GENETICS & HEREDITY\",\"Score\":null,\"Total\":0}","platform":"Semanticscholar","paperid":null,"PeriodicalName":"International Journal of Neonatal Screening","FirstCategoryId":"1085","ListUrlMain":"https://doi.org/10.3390/ijns11030075","RegionNum":0,"RegionCategory":null,"ArticlePicture":[],"TitleCN":null,"AbstractTextCN":null,"PMCID":null,"EPubDate":"","PubModel":"","JCR":"Q1","JCRName":"GENETICS & HEREDITY","Score":null,"Total":0}
引用次数: 0

摘要

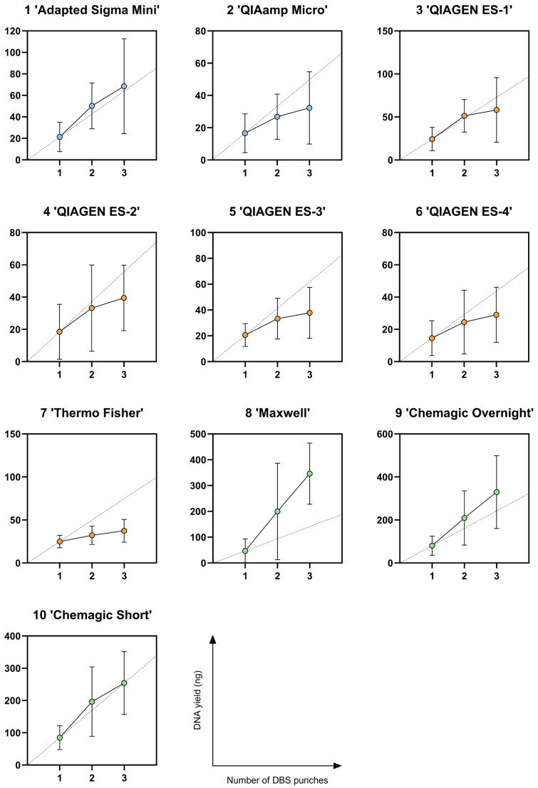
由于技术的快速进步和成本效益的提高,下一代测序(NGS)在新生儿筛查(NBS)中的潜在应用引起了全世界的极大兴趣。基因组NBS提供了改进当前NBS计划的可能性,当作为后续层应用时,作为第一层,允许纳入缺乏常规NBS可检测生物标志物的条件。从通常有限的干血斑(DBS)材料中获得足够高质量的DNA以满足NGS的要求可能具有挑战性。选择基因组NBS的DNA分离方法需要平衡技术性能和实验室可行性与最佳成本效益。10种DNA分离方案,包括2种基于柱的、5种基于裂解的和3种半自动磁珠的方案,评估了靶向扩增子测序的技术成果和性能。此外,还评估了估计成本、动手时间、周转时间、可伸缩性和塑料足迹。虽然技术结果,包括产量、纯度和分子量,在不同的方法之间存在差异,但扩增子测序的定性结果,如读取输出、定位和覆盖深度,在不同的方案中是足够的和可比性的。总之,在选择DNA分离方案时,技术要求和操作参数都是至关重要的,并将取决于NGS应用和NBS方法,是作为第一层还是后续层。
本文章由计算机程序翻译,如有差异,请以英文原文为准。

Comparing DNA Isolation and Preparation Protocols for Dried Blood Spots in the Context of Genomic Newborn Screening.

Comparing DNA Isolation and Preparation Protocols for Dried Blood Spots in the Context of Genomic Newborn Screening.

Comparing DNA Isolation and Preparation Protocols for Dried Blood Spots in the Context of Genomic Newborn Screening.

Comparing DNA Isolation and Preparation Protocols for Dried Blood Spots in the Context of Genomic Newborn Screening.

Due to rapid technical advancements and increasing cost-effectiveness, the potential application of next-generation sequencing (NGS) in newborn screening (NBS) has raised great interest worldwide. Genomic NBS offers the possibility to improve current NBS programs when applied as follow-up tier, and, as first-tier, allows for inclusion of conditions lacking a detectable biomarker for conventional NBS. Obtaining enough high-quality DNA from typically limited dried blood spot (DBS) material to meet NGS requirements can be challenging. Selecting a DNA isolation method for genomic NBS requires balancing technical performance and laboratory feasibility with optimal cost-effectiveness. Ten DNA isolation protocols, including two column-based, five lysis-based, and three semi-automated magnetic bead-based protocols, were evaluated on technical outcomes and performance in targeted amplicon sequencing. Additionally, estimated costs, hands-on time, turnaround time, scalability, and plastic footprint were assessed. Although technical outcomes, including yield, purity, and molecular weight, differed between methods, qualitative results in amplicon sequencing, as defined by read output, mapping, and coverage depth, were found sufficient and comparable for various protocols. In conclusion, both technical requirements and operational parameters are crucial when selecting a DNA isolation protocol and will depend on the NGS application as well as the NBS approach, as either first-tier or follow-up tier.

求助全文
通过发布文献求助,成功后即可免费获取论文全文。 去求助
来源期刊
International Journal of Neonatal Screening
International Journal of Neonatal Screening Medicine-Pediatrics, Perinatology and Child Health
CiteScore
6.70
自引率
20.00%
发文量
56
审稿时长
11 weeks
×
引用
GB/T 7714-2015
复制
MLA
复制
APA
复制
导出至
BibTeX EndNote RefMan NoteFirst NoteExpress
×
提示
您的信息不完整,为了账户安全,请先补充。
现在去补充
×
提示
您因"违规操作"
具体请查看互助需知
我知道了
×
提示
确定
请完成安全验证×
copy
已复制链接
快去分享给好友吧!
我知道了
右上角分享
点击右上角分享
0
联系我们:info@booksci.cn Book学术提供免费学术资源搜索服务,方便国内外学者检索中英文文献。致力于提供最便捷和优质的服务体验。 Copyright © 2023 布克学术 All rights reserved.
京ICP备2023020795号-1
ghs 京公网安备 11010802042870号
Book学术文献互助
Book学术文献互助群
群 号:604180095
Book学术官方微信