稳健性多元回归控制微生物组数据的错误发现。

IF 5.4
Gianna Serafina Monti, Meritxell Pujolassos, Malu Calle Rosingana, Peter Filzmoser
{"title":"稳健性多元回归控制微生物组数据的错误发现。","authors":"Gianna Serafina Monti, Meritxell Pujolassos, Malu Calle Rosingana, Peter Filzmoser","doi":"10.1093/bioinformatics/btaf506","DOIUrl":null,"url":null,"abstract":"<p><strong>Motivation: </strong>Understanding how bacterial species relate to clinical health indicators can reveal microbiome signatures of disease, offering insights into conditions such as obesity or liver disease. However, analyzing such data requires methods that address compositionality, high dimensionality, sparsity, and outliers.</p><p><strong>Results: </strong>We tackle the challenge of identifying microbiome components linked to health indicators through a robust multivariate compositional regression model. Our method addresses the high dimensionality, sparsity, and compositional nature of microbiome data while maintaining control of the false discovery rate (FDR). By incorporating outlier robustness and a derandomization step, we enhance the stability and reproducibility of results, surpassing current techniques like the Multi-Response Knockoff Filter (MRKF). In simulation studies, our method outperforms MRKF in terms of FDR control, power, and robustness. In real data applications, it leads to valuable biological insights, such as identifying microbial species associated with specific clinical parameters.</p><p><strong>Availability and implementation: </strong>Software in R code format, along with synthetic data example illustrations and comprehensive documentation, is available at https://github.com/giannamonti/RobMReg.</p>","PeriodicalId":93899,"journal":{"name":"Bioinformatics (Oxford, England)","volume":" ","pages":""},"PeriodicalIF":5.4000,"publicationDate":"2025-09-01","publicationTypes":"Journal Article","fieldsOfStudy":null,"isOpenAccess":false,"openAccessPdf":"https://www.ncbi.nlm.nih.gov/pmc/articles/PMC12479396/pdf/","citationCount":"0","resultStr":"{\"title\":\"Robust multivariate regression controlling false discoveries for microbiome data.\",\"authors\":\"Gianna Serafina Monti, Meritxell Pujolassos, Malu Calle Rosingana, Peter Filzmoser\",\"doi\":\"10.1093/bioinformatics/btaf506\",\"DOIUrl\":null,\"url\":null,\"abstract\":\"<p><strong>Motivation: </strong>Understanding how bacterial species relate to clinical health indicators can reveal microbiome signatures of disease, offering insights into conditions such as obesity or liver disease. However, analyzing such data requires methods that address compositionality, high dimensionality, sparsity, and outliers.</p><p><strong>Results: </strong>We tackle the challenge of identifying microbiome components linked to health indicators through a robust multivariate compositional regression model. Our method addresses the high dimensionality, sparsity, and compositional nature of microbiome data while maintaining control of the false discovery rate (FDR). By incorporating outlier robustness and a derandomization step, we enhance the stability and reproducibility of results, surpassing current techniques like the Multi-Response Knockoff Filter (MRKF). In simulation studies, our method outperforms MRKF in terms of FDR control, power, and robustness. In real data applications, it leads to valuable biological insights, such as identifying microbial species associated with specific clinical parameters.</p><p><strong>Availability and implementation: </strong>Software in R code format, along with synthetic data example illustrations and comprehensive documentation, is available at https://github.com/giannamonti/RobMReg.</p>\",\"PeriodicalId\":93899,\"journal\":{\"name\":\"Bioinformatics (Oxford, England)\",\"volume\":\" \",\"pages\":\"\"},\"PeriodicalIF\":5.4000,\"publicationDate\":\"2025-09-01\",\"publicationTypes\":\"Journal Article\",\"fieldsOfStudy\":null,\"isOpenAccess\":false,\"openAccessPdf\":\"https://www.ncbi.nlm.nih.gov/pmc/articles/PMC12479396/pdf/\",\"citationCount\":\"0\",\"resultStr\":null,\"platform\":\"Semanticscholar\",\"paperid\":null,\"PeriodicalName\":\"Bioinformatics (Oxford, England)\",\"FirstCategoryId\":\"1085\",\"ListUrlMain\":\"https://doi.org/10.1093/bioinformatics/btaf506\",\"RegionNum\":0,\"RegionCategory\":null,\"ArticlePicture\":[],\"TitleCN\":null,\"AbstractTextCN\":null,\"PMCID\":null,\"EPubDate\":\"\",\"PubModel\":\"\",\"JCR\":\"\",\"JCRName\":\"\",\"Score\":null,\"Total\":0}","platform":"Semanticscholar","paperid":null,"PeriodicalName":"Bioinformatics (Oxford, England)","FirstCategoryId":"1085","ListUrlMain":"https://doi.org/10.1093/bioinformatics/btaf506","RegionNum":0,"RegionCategory":null,"ArticlePicture":[],"TitleCN":null,"AbstractTextCN":null,"PMCID":null,"EPubDate":"","PubModel":"","JCR":"","JCRName":"","Score":null,"Total":0}
引用次数: 0

摘要

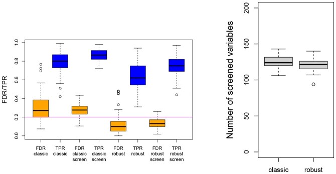
动机:了解细菌种类与临床健康指标的关系可以揭示疾病的微生物组特征,为肥胖或肝病等疾病提供见解。然而,分析这些数据需要处理组合性、高维性、稀疏性和异常值的方法。结果:我们通过一个强大的多变量组成回归模型解决了识别与健康指标相关的微生物组成分的挑战。我们的方法解决了微生物组数据的高维性、稀疏性和组成性质,同时保持了对错误发现率(FDR)的控制。通过结合离群值鲁棒性和非随机化步骤,我们提高了结果的稳定性和可重复性,超越了当前的技术,如多响应仿冒滤波器(MRKF)。在仿真研究中,我们的方法在FDR控制、功率和鲁棒性方面优于MRKF。在实际的数据应用中,它会带来有价值的生物学见解,例如识别与特定临床参数相关的微生物种类。可用性和实现:R代码格式的软件,以及综合数据示例插图和综合文档,可在https://github.com/giannamonti/RobMReg.Contact和补充信息:联系:gianna.monti@unimib.it;补充数据可在生物信息学网站获得。
本文章由计算机程序翻译,如有差异,请以英文原文为准。

Robust multivariate regression controlling false discoveries for microbiome data.

Robust multivariate regression controlling false discoveries for microbiome data.

Robust multivariate regression controlling false discoveries for microbiome data.

Robust multivariate regression controlling false discoveries for microbiome data.

Motivation: Understanding how bacterial species relate to clinical health indicators can reveal microbiome signatures of disease, offering insights into conditions such as obesity or liver disease. However, analyzing such data requires methods that address compositionality, high dimensionality, sparsity, and outliers.

Results: We tackle the challenge of identifying microbiome components linked to health indicators through a robust multivariate compositional regression model. Our method addresses the high dimensionality, sparsity, and compositional nature of microbiome data while maintaining control of the false discovery rate (FDR). By incorporating outlier robustness and a derandomization step, we enhance the stability and reproducibility of results, surpassing current techniques like the Multi-Response Knockoff Filter (MRKF). In simulation studies, our method outperforms MRKF in terms of FDR control, power, and robustness. In real data applications, it leads to valuable biological insights, such as identifying microbial species associated with specific clinical parameters.

Availability and implementation: Software in R code format, along with synthetic data example illustrations and comprehensive documentation, is available at https://github.com/giannamonti/RobMReg.

求助全文
通过发布文献求助,成功后即可免费获取论文全文。 去求助
来源期刊
自引率
0.00%
发文量
0
×
引用
GB/T 7714-2015
复制
MLA
复制
APA
复制
导出至
BibTeX EndNote RefMan NoteFirst NoteExpress
×
提示
您的信息不完整,为了账户安全,请先补充。
现在去补充
×
提示
您因"违规操作"
具体请查看互助需知
我知道了
×
提示
确定
请完成安全验证×
copy
已复制链接
快去分享给好友吧!
我知道了
右上角分享
点击右上角分享
0
联系我们:info@booksci.cn Book学术提供免费学术资源搜索服务,方便国内外学者检索中英文文献。致力于提供最便捷和优质的服务体验。 Copyright © 2023 布克学术 All rights reserved.
京ICP备2023020795号-1
ghs 京公网安备 11010802042870号
Book学术文献互助
Book学术文献互助群
群 号:604180095
Book学术官方微信