ramucirumab +紫杉醇作为切换维持与继续奥沙利铂为基础的一线化疗治疗晚期her2阴性胃癌或胃食管结癌的成本-效果分析

IF 3.4 3区 医学 Q1 GASTROENTEROLOGY & HEPATOLOGY
Therapeutic Advances in Gastroenterology Pub Date : 2025-09-16 eCollection Date: 2025-01-01 DOI:10.1177/17562848251375836
Yitian Lang, Weican Cao, Yan Lin, Min Liu, Hui Zhao
{"title":"ramucirumab +紫杉醇作为切换维持与继续奥沙利铂为基础的一线化疗治疗晚期her2阴性胃癌或胃食管结癌的成本-效果分析","authors":"Yitian Lang, Weican Cao, Yan Lin, Min Liu, Hui Zhao","doi":"10.1177/17562848251375836","DOIUrl":null,"url":null,"abstract":"<p><strong>Background: </strong>Ramucirumab in combination with paclitaxel has demonstrated substantial antitumor activity in the treatment of advanced human epidermal growth factor receptor-2 (HER2)-negative gastric cancer (GC) or gastro-esophageal junction cancer (GEJC). However, the cost-effectiveness of this regimen in this patient population remains uncertain, particularly within the Chinese healthcare context.</p><p><strong>Objective: </strong>This study aimed to assess the cost-effectiveness of ramucirumab plus paclitaxel as a switch maintenance regimen compared to continuing first-line chemotherapy for patients with advanced HER2-negative GC or GEJC, from the perspective of the Chinese healthcare system.</p><p><strong>Design: </strong>A health economic evaluation was conducted to compare two treatment strategies.</p><p><strong>Methods: </strong>A partitioned survival model was developed to project the disease progression of HER2-negative GC or GEJC. Data for overall survival and progression-free survival were extracted from the ARMANI trial and were extrapolated to project long-term survival outcomes. Direct medical costs and utility values were gathered. The main outcome measures, including the cost, utility, and incremental cost-utility ratio (ICUR), were used to determine the cost-effectiveness of the ramucirumab plus paclitaxel as switch maintenance regimen. Sensitivity analyses, including one-way sensitivity analysis (OWSA) and probabilistic sensitivity analysis (PSA), were performed to evaluate the robustness of the findings.</p><p><strong>Results: </strong>The base-case analysis revealed that the ICUR for ramucirumab plus paclitaxel as a switch maintenance regimen was ¥1,097,535 per quality-adjusted life-year (QALY) compared to the continuation of first-line chemotherapy. OWSA showed that the ICUR was sensitive to variations in the cost of ramucirumab, patient weight, and the cost of subsequent treatments in the continuation of first-line chemotherapy group. Results from the PSA indicated that the switch maintenance regimen had a very low probability of cost-effectiveness, at just 0.4%. In contrast, the continuation of the first-line regimen demonstrated a high likelihood of being cost-effective, with a 99.6% probability.</p><p><strong>Conclusion: </strong>The cost-effectiveness analysis suggested that from the Chinese healthcare system perspective, the switch maintenance regimen at current price is unlikely to be an advantageous regimen in terms of cost-effectiveness for patients with advanced HER2-negative gastric or GEJC at a willingness-to-pay threshold of ¥287,247/QALY.</p>","PeriodicalId":48770,"journal":{"name":"Therapeutic Advances in Gastroenterology","volume":"18 ","pages":"17562848251375836"},"PeriodicalIF":3.4000,"publicationDate":"2025-09-16","publicationTypes":"Journal Article","fieldsOfStudy":null,"isOpenAccess":false,"openAccessPdf":"https://www.ncbi.nlm.nih.gov/pmc/articles/PMC12441278/pdf/","citationCount":"0","resultStr":"{\"title\":\"Cost-effectiveness analysis of ramucirumab plus paclitaxel as switch maintenance versus continuation of first-line oxaliplatin-based chemotherapy for advanced HER2-negative gastric or gastro-esophageal junction cancer.\",\"authors\":\"Yitian Lang, Weican Cao, Yan Lin, Min Liu, Hui Zhao\",\"doi\":\"10.1177/17562848251375836\",\"DOIUrl\":null,\"url\":null,\"abstract\":\"<p><strong>Background: </strong>Ramucirumab in combination with paclitaxel has demonstrated substantial antitumor activity in the treatment of advanced human epidermal growth factor receptor-2 (HER2)-negative gastric cancer (GC) or gastro-esophageal junction cancer (GEJC). However, the cost-effectiveness of this regimen in this patient population remains uncertain, particularly within the Chinese healthcare context.</p><p><strong>Objective: </strong>This study aimed to assess the cost-effectiveness of ramucirumab plus paclitaxel as a switch maintenance regimen compared to continuing first-line chemotherapy for patients with advanced HER2-negative GC or GEJC, from the perspective of the Chinese healthcare system.</p><p><strong>Design: </strong>A health economic evaluation was conducted to compare two treatment strategies.</p><p><strong>Methods: </strong>A partitioned survival model was developed to project the disease progression of HER2-negative GC or GEJC. Data for overall survival and progression-free survival were extracted from the ARMANI trial and were extrapolated to project long-term survival outcomes. Direct medical costs and utility values were gathered. The main outcome measures, including the cost, utility, and incremental cost-utility ratio (ICUR), were used to determine the cost-effectiveness of the ramucirumab plus paclitaxel as switch maintenance regimen. Sensitivity analyses, including one-way sensitivity analysis (OWSA) and probabilistic sensitivity analysis (PSA), were performed to evaluate the robustness of the findings.</p><p><strong>Results: </strong>The base-case analysis revealed that the ICUR for ramucirumab plus paclitaxel as a switch maintenance regimen was ¥1,097,535 per quality-adjusted life-year (QALY) compared to the continuation of first-line chemotherapy. OWSA showed that the ICUR was sensitive to variations in the cost of ramucirumab, patient weight, and the cost of subsequent treatments in the continuation of first-line chemotherapy group. Results from the PSA indicated that the switch maintenance regimen had a very low probability of cost-effectiveness, at just 0.4%. In contrast, the continuation of the first-line regimen demonstrated a high likelihood of being cost-effective, with a 99.6% probability.</p><p><strong>Conclusion: </strong>The cost-effectiveness analysis suggested that from the Chinese healthcare system perspective, the switch maintenance regimen at current price is unlikely to be an advantageous regimen in terms of cost-effectiveness for patients with advanced HER2-negative gastric or GEJC at a willingness-to-pay threshold of ¥287,247/QALY.</p>\",\"PeriodicalId\":48770,\"journal\":{\"name\":\"Therapeutic Advances in Gastroenterology\",\"volume\":\"18 \",\"pages\":\"17562848251375836\"},\"PeriodicalIF\":3.4000,\"publicationDate\":\"2025-09-16\",\"publicationTypes\":\"Journal Article\",\"fieldsOfStudy\":null,\"isOpenAccess\":false,\"openAccessPdf\":\"https://www.ncbi.nlm.nih.gov/pmc/articles/PMC12441278/pdf/\",\"citationCount\":\"0\",\"resultStr\":null,\"platform\":\"Semanticscholar\",\"paperid\":null,\"PeriodicalName\":\"Therapeutic Advances in Gastroenterology\",\"FirstCategoryId\":\"3\",\"ListUrlMain\":\"https://doi.org/10.1177/17562848251375836\",\"RegionNum\":3,\"RegionCategory\":\"医学\",\"ArticlePicture\":[],\"TitleCN\":null,\"AbstractTextCN\":null,\"PMCID\":null,\"EPubDate\":\"2025/1/1 0:00:00\",\"PubModel\":\"eCollection\",\"JCR\":\"Q1\",\"JCRName\":\"GASTROENTEROLOGY & HEPATOLOGY\",\"Score\":null,\"Total\":0}","platform":"Semanticscholar","paperid":null,"PeriodicalName":"Therapeutic Advances in Gastroenterology","FirstCategoryId":"3","ListUrlMain":"https://doi.org/10.1177/17562848251375836","RegionNum":3,"RegionCategory":"医学","ArticlePicture":[],"TitleCN":null,"AbstractTextCN":null,"PMCID":null,"EPubDate":"2025/1/1 0:00:00","PubModel":"eCollection","JCR":"Q1","JCRName":"GASTROENTEROLOGY & HEPATOLOGY","Score":null,"Total":0}
引用次数: 0

摘要

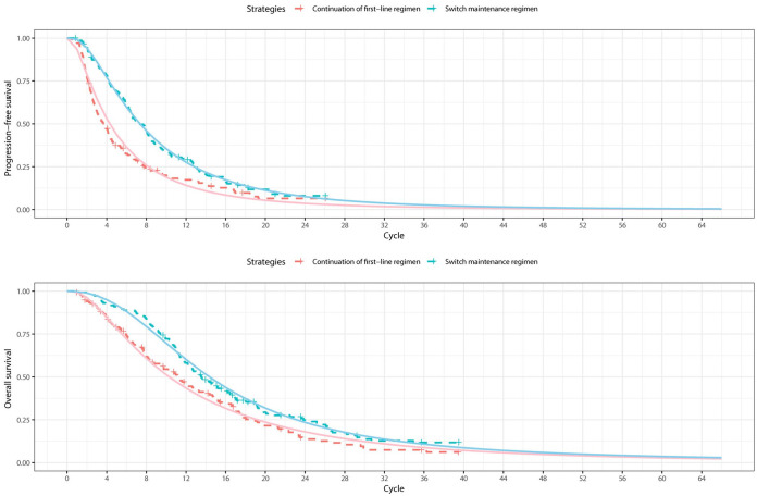
背景:Ramucirumab联合紫杉醇治疗晚期人表皮生长因子受体-2 (HER2)阴性胃癌(GC)或胃食管结癌(GEJC)已显示出显著的抗肿瘤活性。然而,该方案在该患者群体中的成本效益仍然不确定,特别是在中国的医疗保健背景下。目的:本研究旨在从中国医疗保健系统的角度评估ramucirumab +紫杉醇作为切换维持方案与继续一线化疗相比,用于晚期her2阴性GC或GEJC患者的成本效益。设计:进行健康经济评价以比较两种治疗策略。方法:建立分区生存模型,预测her2阴性GC或GEJC的疾病进展。总生存期和无进展生存期数据从ARMANI试验中提取,并推断出预测长期生存结果。收集了直接医疗费用和效用价值。主要结局指标,包括成本、效用和增量成本效用比(ICUR),用于确定ramucirumab加紫杉醇作为切换维持方案的成本效益。进行敏感性分析,包括单向敏感性分析(OWSA)和概率敏感性分析(PSA)来评估研究结果的稳健性。结果:基础病例分析显示,与继续一线化疗相比,ramucirumab +紫杉醇作为切换维持方案的ICUR为1,097,535日元/质量调整生命年(QALY)。OWSA显示,在继续一线化疗组中,ICUR对ramucirumab成本、患者体重和后续治疗成本的变化很敏感。PSA结果表明,开关维护方案的成本效益概率非常低,仅为0.4%。相比之下,继续一线治疗方案的成本效益可能性很高,概率为99.6%。结论:成本-效果分析提示,从中国医疗体系的角度来看,在支付意愿阈值为¥287,247/QALY的晚期her2阴性胃或GEJC患者中,当前价格的切换维持方案在成本-效果方面不太可能具有优势。
本文章由计算机程序翻译,如有差异,请以英文原文为准。

Cost-effectiveness analysis of ramucirumab plus paclitaxel as switch maintenance versus continuation of first-line oxaliplatin-based chemotherapy for advanced HER2-negative gastric or gastro-esophageal junction cancer.

Cost-effectiveness analysis of ramucirumab plus paclitaxel as switch maintenance versus continuation of first-line oxaliplatin-based chemotherapy for advanced HER2-negative gastric or gastro-esophageal junction cancer.

Cost-effectiveness analysis of ramucirumab plus paclitaxel as switch maintenance versus continuation of first-line oxaliplatin-based chemotherapy for advanced HER2-negative gastric or gastro-esophageal junction cancer.

Cost-effectiveness analysis of ramucirumab plus paclitaxel as switch maintenance versus continuation of first-line oxaliplatin-based chemotherapy for advanced HER2-negative gastric or gastro-esophageal junction cancer.

Background: Ramucirumab in combination with paclitaxel has demonstrated substantial antitumor activity in the treatment of advanced human epidermal growth factor receptor-2 (HER2)-negative gastric cancer (GC) or gastro-esophageal junction cancer (GEJC). However, the cost-effectiveness of this regimen in this patient population remains uncertain, particularly within the Chinese healthcare context.

Objective: This study aimed to assess the cost-effectiveness of ramucirumab plus paclitaxel as a switch maintenance regimen compared to continuing first-line chemotherapy for patients with advanced HER2-negative GC or GEJC, from the perspective of the Chinese healthcare system.

Design: A health economic evaluation was conducted to compare two treatment strategies.

Methods: A partitioned survival model was developed to project the disease progression of HER2-negative GC or GEJC. Data for overall survival and progression-free survival were extracted from the ARMANI trial and were extrapolated to project long-term survival outcomes. Direct medical costs and utility values were gathered. The main outcome measures, including the cost, utility, and incremental cost-utility ratio (ICUR), were used to determine the cost-effectiveness of the ramucirumab plus paclitaxel as switch maintenance regimen. Sensitivity analyses, including one-way sensitivity analysis (OWSA) and probabilistic sensitivity analysis (PSA), were performed to evaluate the robustness of the findings.

Results: The base-case analysis revealed that the ICUR for ramucirumab plus paclitaxel as a switch maintenance regimen was ¥1,097,535 per quality-adjusted life-year (QALY) compared to the continuation of first-line chemotherapy. OWSA showed that the ICUR was sensitive to variations in the cost of ramucirumab, patient weight, and the cost of subsequent treatments in the continuation of first-line chemotherapy group. Results from the PSA indicated that the switch maintenance regimen had a very low probability of cost-effectiveness, at just 0.4%. In contrast, the continuation of the first-line regimen demonstrated a high likelihood of being cost-effective, with a 99.6% probability.

Conclusion: The cost-effectiveness analysis suggested that from the Chinese healthcare system perspective, the switch maintenance regimen at current price is unlikely to be an advantageous regimen in terms of cost-effectiveness for patients with advanced HER2-negative gastric or GEJC at a willingness-to-pay threshold of ¥287,247/QALY.

求助全文
通过发布文献求助,成功后即可免费获取论文全文。 去求助
来源期刊
Therapeutic Advances in Gastroenterology
Therapeutic Advances in Gastroenterology GASTROENTEROLOGY & HEPATOLOGY-
CiteScore
6.70
自引率
2.40%
发文量
103
审稿时长
15 weeks
期刊介绍: Therapeutic Advances in Gastroenterology is an open access journal which delivers the highest quality peer-reviewed original research articles, reviews, and scholarly comment on pioneering efforts and innovative studies in the medical treatment of gastrointestinal and hepatic disorders. The journal has a strong clinical and pharmacological focus and is aimed at an international audience of clinicians and researchers in gastroenterology and related disciplines, providing an online forum for rapid dissemination of recent research and perspectives in this area. The editors welcome original research articles across all areas of gastroenterology and hepatology. The journal publishes original research articles and review articles primarily. Original research manuscripts may include laboratory, animal or human/clinical studies – all phases. Letters to the Editor and Case Reports will also be considered.
×
引用
GB/T 7714-2015
复制
MLA
复制
APA
复制
导出至
BibTeX EndNote RefMan NoteFirst NoteExpress
×
提示
您的信息不完整,为了账户安全,请先补充。
现在去补充
×
提示
您因"违规操作"
具体请查看互助需知
我知道了
×
提示
确定
请完成安全验证×
copy
已复制链接
快去分享给好友吧!
我知道了
右上角分享
点击右上角分享
0
联系我们:info@booksci.cn Book学术提供免费学术资源搜索服务,方便国内外学者检索中英文文献。致力于提供最便捷和优质的服务体验。 Copyright © 2023 布克学术 All rights reserved.
京ICP备2023020795号-1
ghs 京公网安备 11010802042870号
Book学术文献互助
Book学术文献互助群
群 号:604180095
Book学术官方微信