儿童变应性结膜炎干眼症睑板腺的形态学特征。

IF 3 3区 医学 Q2 ALLERGY
Journal of Asthma and Allergy Pub Date : 2025-09-13 eCollection Date: 2025-01-01 DOI:10.2147/JAA.S535595
Xiao-Jiao Tang, Lin Chen, Qing Liu, Yong Li
{"title":"儿童变应性结膜炎干眼症睑板腺的形态学特征。","authors":"Xiao-Jiao Tang, Lin Chen, Qing Liu, Yong Li","doi":"10.2147/JAA.S535595","DOIUrl":null,"url":null,"abstract":"<p><strong>Purpose: </strong>To investigate the morphological characteristics of the meibomian glands (MGs) in children with allergic conjunctivitis (AC)-related dry eye (DE).</p><p><strong>Methods: </strong>Children with a clinical diagnosis of seasonal allergic conjunctivitis (SAC) and perennial allergic conjunctivitis (PAC) were recruited. Age- and sex-matched children without a history of allergy or dry eye were recruited as controls. All participants completed the 5-item Dry Eye Questionnaire (DEQ-5) and ocular surface examination, including assessment of the tear meniscus height (TMH), noninvasive tear breakup time (NIBUT), and morphology of the upper lower MGs by noncontact infrared meibography (Oculus Keratograph 5M). Receiver operating characteristic (ROC) curve analysis was performed to determine the predictive value of the morphological characteristics of the MGs for AC-related DE.</p><p><strong>Results: </strong>Sixty-two children with AC (31 with DE and 31 without DE) and 33 healthy children were enrolled in the study. The mean age was 7.67 (ranging from 5-13.5) years. More morphological changes were observed in the upper eyelids of AC children with DE than in healthy children. No morphological feature difference was found between AC children without DE and healthy children. ROC curve analysis showed that the morphological characteristics with good predictive value for DE were shortened upper eyelid MGs (AUC=0.72, P<0.001) and hooked upper eyelid MGs (AUC=0.71, P<0.001).</p><p><strong>Conclusion: </strong>The grading of MG morphology according to the DREAM Study may be a valuable predictor for AC-related DE in children.</p>","PeriodicalId":15079,"journal":{"name":"Journal of Asthma and Allergy","volume":"18 ","pages":"1269-1281"},"PeriodicalIF":3.0000,"publicationDate":"2025-09-13","publicationTypes":"Journal Article","fieldsOfStudy":null,"isOpenAccess":false,"openAccessPdf":"https://www.ncbi.nlm.nih.gov/pmc/articles/PMC12442817/pdf/","citationCount":"0","resultStr":"{\"title\":\"The Morphologic Characteristics of Meibomian Glands in Allergic Conjunctivitis-Related Dry Eye in Children.\",\"authors\":\"Xiao-Jiao Tang, Lin Chen, Qing Liu, Yong Li\",\"doi\":\"10.2147/JAA.S535595\",\"DOIUrl\":null,\"url\":null,\"abstract\":\"<p><strong>Purpose: </strong>To investigate the morphological characteristics of the meibomian glands (MGs) in children with allergic conjunctivitis (AC)-related dry eye (DE).</p><p><strong>Methods: </strong>Children with a clinical diagnosis of seasonal allergic conjunctivitis (SAC) and perennial allergic conjunctivitis (PAC) were recruited. Age- and sex-matched children without a history of allergy or dry eye were recruited as controls. All participants completed the 5-item Dry Eye Questionnaire (DEQ-5) and ocular surface examination, including assessment of the tear meniscus height (TMH), noninvasive tear breakup time (NIBUT), and morphology of the upper lower MGs by noncontact infrared meibography (Oculus Keratograph 5M). Receiver operating characteristic (ROC) curve analysis was performed to determine the predictive value of the morphological characteristics of the MGs for AC-related DE.</p><p><strong>Results: </strong>Sixty-two children with AC (31 with DE and 31 without DE) and 33 healthy children were enrolled in the study. The mean age was 7.67 (ranging from 5-13.5) years. More morphological changes were observed in the upper eyelids of AC children with DE than in healthy children. No morphological feature difference was found between AC children without DE and healthy children. ROC curve analysis showed that the morphological characteristics with good predictive value for DE were shortened upper eyelid MGs (AUC=0.72, P<0.001) and hooked upper eyelid MGs (AUC=0.71, P<0.001).</p><p><strong>Conclusion: </strong>The grading of MG morphology according to the DREAM Study may be a valuable predictor for AC-related DE in children.</p>\",\"PeriodicalId\":15079,\"journal\":{\"name\":\"Journal of Asthma and Allergy\",\"volume\":\"18 \",\"pages\":\"1269-1281\"},\"PeriodicalIF\":3.0000,\"publicationDate\":\"2025-09-13\",\"publicationTypes\":\"Journal Article\",\"fieldsOfStudy\":null,\"isOpenAccess\":false,\"openAccessPdf\":\"https://www.ncbi.nlm.nih.gov/pmc/articles/PMC12442817/pdf/\",\"citationCount\":\"0\",\"resultStr\":null,\"platform\":\"Semanticscholar\",\"paperid\":null,\"PeriodicalName\":\"Journal of Asthma and Allergy\",\"FirstCategoryId\":\"3\",\"ListUrlMain\":\"https://doi.org/10.2147/JAA.S535595\",\"RegionNum\":3,\"RegionCategory\":\"医学\",\"ArticlePicture\":[],\"TitleCN\":null,\"AbstractTextCN\":null,\"PMCID\":null,\"EPubDate\":\"2025/1/1 0:00:00\",\"PubModel\":\"eCollection\",\"JCR\":\"Q2\",\"JCRName\":\"ALLERGY\",\"Score\":null,\"Total\":0}","platform":"Semanticscholar","paperid":null,"PeriodicalName":"Journal of Asthma and Allergy","FirstCategoryId":"3","ListUrlMain":"https://doi.org/10.2147/JAA.S535595","RegionNum":3,"RegionCategory":"医学","ArticlePicture":[],"TitleCN":null,"AbstractTextCN":null,"PMCID":null,"EPubDate":"2025/1/1 0:00:00","PubModel":"eCollection","JCR":"Q2","JCRName":"ALLERGY","Score":null,"Total":0}
引用次数: 0

摘要

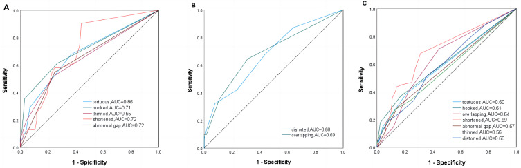
目的:探讨过敏性结膜炎干眼(DE)患儿睑板腺(mg)的形态学特征。方法:选取临床诊断为季节性变应性结膜炎(SAC)和常年性变应性结膜炎(PAC)的患儿为研究对象。年龄和性别匹配的无过敏史或干眼症的儿童被招募作为对照。所有参与者完成了干眼问卷(DEQ-5)和眼表检查,包括泪液半月板高度(TMH)、无创泪液破裂时间(NIBUT)和非接触式红外微影记录仪(Oculus Keratograph 5M)评估上、下mg的形态。采用受试者工作特征(ROC)曲线分析,确定mg形态学特征对AC相关DE的预测价值。结果:共纳入62例AC患儿(合并DE 31例,未合并DE 31例)和33例健康儿童。平均年龄7.67岁(5 ~ 13.5岁)。AC合并DE的儿童上眼睑的形态学改变多于健康儿童。无DE的AC儿童与健康儿童的形态学特征无差异。ROC曲线分析显示,缩短的上眼睑MG形态特征对DE有较好的预测价值(AUC=0.72, p)。结论:DREAM研究中MG形态的分级可能是预测儿童ac相关性DE的一个有价值的指标。
本文章由计算机程序翻译,如有差异,请以英文原文为准。

The Morphologic Characteristics of Meibomian Glands in Allergic Conjunctivitis-Related Dry Eye in Children.

The Morphologic Characteristics of Meibomian Glands in Allergic Conjunctivitis-Related Dry Eye in Children.

Purpose: To investigate the morphological characteristics of the meibomian glands (MGs) in children with allergic conjunctivitis (AC)-related dry eye (DE).

Methods: Children with a clinical diagnosis of seasonal allergic conjunctivitis (SAC) and perennial allergic conjunctivitis (PAC) were recruited. Age- and sex-matched children without a history of allergy or dry eye were recruited as controls. All participants completed the 5-item Dry Eye Questionnaire (DEQ-5) and ocular surface examination, including assessment of the tear meniscus height (TMH), noninvasive tear breakup time (NIBUT), and morphology of the upper lower MGs by noncontact infrared meibography (Oculus Keratograph 5M). Receiver operating characteristic (ROC) curve analysis was performed to determine the predictive value of the morphological characteristics of the MGs for AC-related DE.

Results: Sixty-two children with AC (31 with DE and 31 without DE) and 33 healthy children were enrolled in the study. The mean age was 7.67 (ranging from 5-13.5) years. More morphological changes were observed in the upper eyelids of AC children with DE than in healthy children. No morphological feature difference was found between AC children without DE and healthy children. ROC curve analysis showed that the morphological characteristics with good predictive value for DE were shortened upper eyelid MGs (AUC=0.72, P<0.001) and hooked upper eyelid MGs (AUC=0.71, P<0.001).

Conclusion: The grading of MG morphology according to the DREAM Study may be a valuable predictor for AC-related DE in children.

求助全文
通过发布文献求助,成功后即可免费获取论文全文。 去求助
来源期刊
Journal of Asthma and Allergy
Journal of Asthma and Allergy Medicine-Immunology and Allergy
CiteScore
5.30
自引率
6.20%
发文量
185
审稿时长
16 weeks
期刊介绍: An international, peer-reviewed journal publishing original research, reports, editorials and commentaries on the following topics: Asthma; Pulmonary physiology; Asthma related clinical health; Clinical immunology and the immunological basis of disease; Pharmacological interventions and new therapies. Although the main focus of the journal will be to publish research and clinical results in humans, preclinical, animal and in vitro studies will be published where they shed light on disease processes and potential new therapies.
×
引用
GB/T 7714-2015
复制
MLA
复制
APA
复制
导出至
BibTeX EndNote RefMan NoteFirst NoteExpress
×
提示
您的信息不完整,为了账户安全,请先补充。
现在去补充
×
提示
您因"违规操作"
具体请查看互助需知
我知道了
×
提示
确定
请完成安全验证×
copy
已复制链接
快去分享给好友吧!
我知道了
右上角分享
点击右上角分享
0
联系我们:info@booksci.cn Book学术提供免费学术资源搜索服务,方便国内外学者检索中英文文献。致力于提供最便捷和优质的服务体验。 Copyright © 2023 布克学术 All rights reserved.
京ICP备2023020795号-1
ghs 京公网安备 11010802042870号
Book学术文献互助
Book学术文献互助群
群 号:604180095
Book学术官方微信