快速急诊医学评分(REMS)和急诊创伤评分(EMTRAS)与传统创伤评分系统(即损伤严重程度评分(ISS)、新损伤严重程度评分(NISS)、修订创伤评分(RTS)和创伤和损伤严重程度评分(TRISS))在预测创伤结局方面的比较评价。

Q3 Medicine
D G S R Krishna Moorthy, K Rajesh, K J Devendra Prasad
{"title":"快速急诊医学评分(REMS)和急诊创伤评分(EMTRAS)与传统创伤评分系统(即损伤严重程度评分(ISS)、新损伤严重程度评分(NISS)、修订创伤评分(RTS)和创伤和损伤严重程度评分(TRISS))在预测创伤结局方面的比较评价。","authors":"D G S R Krishna Moorthy, K Rajesh, K J Devendra Prasad","doi":"10.4103/ijciis.ijciis_8_25","DOIUrl":null,"url":null,"abstract":"<p><strong>Introduction: </strong>Trauma scoring systems are essential for predicting outcomes in trauma patients, guiding clinical decisions, and optimizing resource allocation. Common systems include the Injury Severity Score (ISS), New ISS (NISS), Revised Trauma Score (RTS), Trauma and ISS (TRISS), Emergency Trauma Score (EMTRAS), and Rapid Emergency Medicine Score (REMS). This study aims to evaluate the predictive accuracy of REMS and EMTRAS in comparison to traditional trauma scoring systems.</p><p><strong>Methods: </strong>This prospective observational study involved 1090 trauma patients admitted to the Department of Emergency Medicine from January 2021 to December 2023. Eligible patients were aged 18 or older with documented trauma. Data collection encompassed demographics, clinical parameters, and trauma severity, assessed using six scoring systems. Outcomes were monitored until patient discharge or death.</p><p><strong>Results: </strong>The cohort consisted of 915 (83.9%) male patients with a mean age of 36.1 years. Road traffic accidents were the leading cause of trauma, 934 (85.6%). Intensive care unit patients exhibited higher ISS and lower RTS scores (<i>P</i> < 0.0001), indicating more severe injuries. Nonsurvivors showed higher ISS and NISS and lower RTS and TRISS scores. EMTRAS demonstrated higher sensitivity and specificity than REMS, while TRISS proved the most effective in predicting trauma outcomes.</p><p><strong>Conclusions: </strong>REMS and EMTRAS had reasonable sensitivity and specificity but were less effective than traditional systems such as ISS, NISS, RTS, and TRISS. TRISS emerged as the most reliable tool for predicting outcomes, supporting its continued use as the gold standard in trauma assessment.</p>","PeriodicalId":13938,"journal":{"name":"International Journal of Critical Illness and Injury Science","volume":"15 3","pages":"101-107"},"PeriodicalIF":0.0000,"publicationDate":"2025-07-01","publicationTypes":"Journal Article","fieldsOfStudy":null,"isOpenAccess":false,"openAccessPdf":"https://www.ncbi.nlm.nih.gov/pmc/articles/PMC12443444/pdf/","citationCount":"0","resultStr":"{\"title\":\"Comparative evaluation of rapid emergency medicine score (REMS) and emergency trauma score (EMTRAS) against traditional trauma scoring systems-namely the injury severity score (ISS), new injury severity score (NISS), revised trauma score (RTS), and trauma and injury severity score (TRISS) in predicting trauma outcomes.\",\"authors\":\"D G S R Krishna Moorthy, K Rajesh, K J Devendra Prasad\",\"doi\":\"10.4103/ijciis.ijciis_8_25\",\"DOIUrl\":null,\"url\":null,\"abstract\":\"<p><strong>Introduction: </strong>Trauma scoring systems are essential for predicting outcomes in trauma patients, guiding clinical decisions, and optimizing resource allocation. Common systems include the Injury Severity Score (ISS), New ISS (NISS), Revised Trauma Score (RTS), Trauma and ISS (TRISS), Emergency Trauma Score (EMTRAS), and Rapid Emergency Medicine Score (REMS). This study aims to evaluate the predictive accuracy of REMS and EMTRAS in comparison to traditional trauma scoring systems.</p><p><strong>Methods: </strong>This prospective observational study involved 1090 trauma patients admitted to the Department of Emergency Medicine from January 2021 to December 2023. Eligible patients were aged 18 or older with documented trauma. Data collection encompassed demographics, clinical parameters, and trauma severity, assessed using six scoring systems. Outcomes were monitored until patient discharge or death.</p><p><strong>Results: </strong>The cohort consisted of 915 (83.9%) male patients with a mean age of 36.1 years. Road traffic accidents were the leading cause of trauma, 934 (85.6%). Intensive care unit patients exhibited higher ISS and lower RTS scores (<i>P</i> < 0.0001), indicating more severe injuries. Nonsurvivors showed higher ISS and NISS and lower RTS and TRISS scores. EMTRAS demonstrated higher sensitivity and specificity than REMS, while TRISS proved the most effective in predicting trauma outcomes.</p><p><strong>Conclusions: </strong>REMS and EMTRAS had reasonable sensitivity and specificity but were less effective than traditional systems such as ISS, NISS, RTS, and TRISS. TRISS emerged as the most reliable tool for predicting outcomes, supporting its continued use as the gold standard in trauma assessment.</p>\",\"PeriodicalId\":13938,\"journal\":{\"name\":\"International Journal of Critical Illness and Injury Science\",\"volume\":\"15 3\",\"pages\":\"101-107\"},\"PeriodicalIF\":0.0000,\"publicationDate\":\"2025-07-01\",\"publicationTypes\":\"Journal Article\",\"fieldsOfStudy\":null,\"isOpenAccess\":false,\"openAccessPdf\":\"https://www.ncbi.nlm.nih.gov/pmc/articles/PMC12443444/pdf/\",\"citationCount\":\"0\",\"resultStr\":null,\"platform\":\"Semanticscholar\",\"paperid\":null,\"PeriodicalName\":\"International Journal of Critical Illness and Injury Science\",\"FirstCategoryId\":\"1085\",\"ListUrlMain\":\"https://doi.org/10.4103/ijciis.ijciis_8_25\",\"RegionNum\":0,\"RegionCategory\":null,\"ArticlePicture\":[],\"TitleCN\":null,\"AbstractTextCN\":null,\"PMCID\":null,\"EPubDate\":\"2025/9/11 0:00:00\",\"PubModel\":\"Epub\",\"JCR\":\"Q3\",\"JCRName\":\"Medicine\",\"Score\":null,\"Total\":0}","platform":"Semanticscholar","paperid":null,"PeriodicalName":"International Journal of Critical Illness and Injury Science","FirstCategoryId":"1085","ListUrlMain":"https://doi.org/10.4103/ijciis.ijciis_8_25","RegionNum":0,"RegionCategory":null,"ArticlePicture":[],"TitleCN":null,"AbstractTextCN":null,"PMCID":null,"EPubDate":"2025/9/11 0:00:00","PubModel":"Epub","JCR":"Q3","JCRName":"Medicine","Score":null,"Total":0}
引用次数: 0

摘要

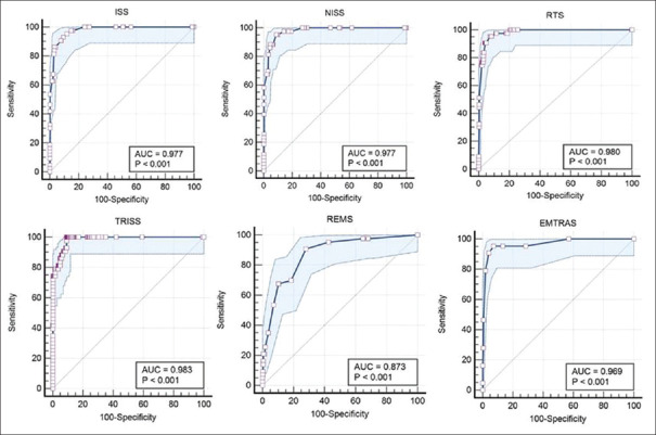
创伤评分系统对于预测创伤患者的预后、指导临床决策和优化资源分配至关重要。常见的系统包括损伤严重程度评分(ISS),新ISS (NISS),修订创伤评分(RTS),创伤和ISS (TRISS),紧急创伤评分(EMTRAS)和快速急救医学评分(REMS)。本研究旨在评估REMS和EMTRAS与传统创伤评分系统的预测准确性。方法:这项前瞻性观察性研究纳入了2021年1月至2023年12月急诊医学科收治的1090例创伤患者。符合条件的患者年龄在18岁或以上,有创伤记录。数据收集包括人口统计、临床参数和创伤严重程度,使用六种评分系统进行评估。监测结果直至患者出院或死亡。结果:该队列包括915例(83.9%)男性患者,平均年龄36.1岁。道路交通事故是造成创伤的主要原因,934例(85.6%)。重症监护病房患者表现出更高的ISS和更低的RTS评分(P < 0.0001),表明损伤更严重。非幸存者表现出较高的ISS和NISS,较低的RTS和TRISS得分。EMTRAS比REMS具有更高的敏感性和特异性,而TRISS在预测创伤预后方面最有效。结论:REMS和EMTRAS具有合理的敏感性和特异性,但效果不及ISS、NISS、RTS和TRISS等传统系统。TRISS成为预测预后最可靠的工具,支持其继续作为创伤评估的金标准使用。
本文章由计算机程序翻译,如有差异,请以英文原文为准。

Comparative evaluation of rapid emergency medicine score (REMS) and emergency trauma score (EMTRAS) against traditional trauma scoring systems-namely the injury severity score (ISS), new injury severity score (NISS), revised trauma score (RTS), and trauma and injury severity score (TRISS) in predicting trauma outcomes.

Comparative evaluation of rapid emergency medicine score (REMS) and emergency trauma score (EMTRAS) against traditional trauma scoring systems-namely the injury severity score (ISS), new injury severity score (NISS), revised trauma score (RTS), and trauma and injury severity score (TRISS) in predicting trauma outcomes.

Introduction: Trauma scoring systems are essential for predicting outcomes in trauma patients, guiding clinical decisions, and optimizing resource allocation. Common systems include the Injury Severity Score (ISS), New ISS (NISS), Revised Trauma Score (RTS), Trauma and ISS (TRISS), Emergency Trauma Score (EMTRAS), and Rapid Emergency Medicine Score (REMS). This study aims to evaluate the predictive accuracy of REMS and EMTRAS in comparison to traditional trauma scoring systems.

Methods: This prospective observational study involved 1090 trauma patients admitted to the Department of Emergency Medicine from January 2021 to December 2023. Eligible patients were aged 18 or older with documented trauma. Data collection encompassed demographics, clinical parameters, and trauma severity, assessed using six scoring systems. Outcomes were monitored until patient discharge or death.

Results: The cohort consisted of 915 (83.9%) male patients with a mean age of 36.1 years. Road traffic accidents were the leading cause of trauma, 934 (85.6%). Intensive care unit patients exhibited higher ISS and lower RTS scores (P < 0.0001), indicating more severe injuries. Nonsurvivors showed higher ISS and NISS and lower RTS and TRISS scores. EMTRAS demonstrated higher sensitivity and specificity than REMS, while TRISS proved the most effective in predicting trauma outcomes.

Conclusions: REMS and EMTRAS had reasonable sensitivity and specificity but were less effective than traditional systems such as ISS, NISS, RTS, and TRISS. TRISS emerged as the most reliable tool for predicting outcomes, supporting its continued use as the gold standard in trauma assessment.

求助全文
通过发布文献求助,成功后即可免费获取论文全文。 去求助
来源期刊
CiteScore
1.40
自引率
0.00%
发文量
37
期刊介绍: IJCIIS encourages research, education and dissemination of knowledge in the field of Critical Illness and Injury Science across the world thus promoting translational research by striking a synergy between basic science, clinical medicine and public health. The Journal intends to bring together scientists and academicians in the emergency intensive care and promote translational synergy between Laboratory Science, Clinical Medicine and Public Health. The Journal invites Original Articles, Clinical Investigations, Epidemiological Analysis, Data Protocols, Case Reports, Clinical Photographs, review articles and special commentaries. Students, Residents, Academicians, Public Health experts and scientists are all encouraged to be a part of this initiative by contributing, reviewing and promoting scientific works and science.
×
引用
GB/T 7714-2015
复制
MLA
复制
APA
复制
导出至
BibTeX EndNote RefMan NoteFirst NoteExpress
×
提示
您的信息不完整,为了账户安全,请先补充。
现在去补充
×
提示
您因"违规操作"
具体请查看互助需知
我知道了
×
提示
确定
请完成安全验证×
copy
已复制链接
快去分享给好友吧!
我知道了
右上角分享
点击右上角分享
0
联系我们:info@booksci.cn Book学术提供免费学术资源搜索服务,方便国内外学者检索中英文文献。致力于提供最便捷和优质的服务体验。 Copyright © 2023 布克学术 All rights reserved.
京ICP备2023020795号-1
ghs 京公网安备 11010802042870号
Book学术文献互助
Book学术文献互助群
群 号:604180095
Book学术官方微信