质子泵抑制剂使用者使用抗血栓药物后缺血性卒中的风险不同:一项自我控制的病例系列研究。

IF 2.4 4区 医学 Q3 PHARMACOLOGY & PHARMACY
Min Fan, Joseph E Blais, Ian C K Wong, Jesse Zhao, Ka Shing Cheung, Esther W Y Chan, Angel Y S Wong, Celine S L Chui
{"title":"质子泵抑制剂使用者使用抗血栓药物后缺血性卒中的风险不同:一项自我控制的病例系列研究。","authors":"Min Fan, Joseph E Blais, Ian C K Wong, Jesse Zhao, Ka Shing Cheung, Esther W Y Chan, Angel Y S Wong, Celine S L Chui","doi":"10.1002/pds.70219","DOIUrl":null,"url":null,"abstract":"<p><strong>Background: </strong>The conflicting findings on the association between proton pump inhibitors (PPIs) and ischaemic stroke could be due to residual confounding. Self-controlled case series (SCCS) can be used to avoid time-invariant confounding. Additionally, different baseline risks of stroke should be considered, as some individuals may be prescribed PPIs for gastroprotection from bleeding with antithrombotic drugs.</p><p><strong>Methods: </strong>We identified adult patients with incident ischaemic stroke from 2003 to 2014 in Hong Kong and applied the modified SCCS. The exposure window was pre-defined as Days 1-30, 31-60, 61-90, and 91 to the prescription end, since the PPI prescription. All other periods were referent windows. We estimated incidence rate ratios (IRR) and stratified them further using antithrombotic drugs.</p><p><strong>Results: </strong>A total of 18 170 patients were included. The IRRs for ischaemic stroke were 1.55 (95% CI: 1.00-2.42) during days 61 to 90, 1.51 (95% CI: 1.14-2.00) during days 91 to end, versus the referent window. There was no evidence of an increased risk in other risk windows versus the referent windows. In the stratified analysis, we observed an increased risk in people co-prescribed PPIs with antithrombotic drugs in all risk periods, but no increased risks among those with PPI monotherapy versus the referent window.</p><p><strong>Conclusion: </strong>No evidence of a higher ischaemic stroke after monotherapy of PPI use. The increased risk of ischaemic stroke associated with PPIs could be due to their high baseline risk prescribed with antithrombotic drugs for primary prevention. Clinical monitoring of ischaemic stroke is recommended in these people.</p>","PeriodicalId":19782,"journal":{"name":"Pharmacoepidemiology and Drug Safety","volume":"34 9","pages":"e70219"},"PeriodicalIF":2.4000,"publicationDate":"2025-09-01","publicationTypes":"Journal Article","fieldsOfStudy":null,"isOpenAccess":false,"openAccessPdf":"https://www.ncbi.nlm.nih.gov/pmc/articles/PMC12445257/pdf/","citationCount":"0","resultStr":"{\"title\":\"Risk of Ischaemic Stroke Varies With Antithrombotic Drugs Use in Proton Pump Inhibitor Users: A Self-Controlled Case Series Study.\",\"authors\":\"Min Fan, Joseph E Blais, Ian C K Wong, Jesse Zhao, Ka Shing Cheung, Esther W Y Chan, Angel Y S Wong, Celine S L Chui\",\"doi\":\"10.1002/pds.70219\",\"DOIUrl\":null,\"url\":null,\"abstract\":\"<p><strong>Background: </strong>The conflicting findings on the association between proton pump inhibitors (PPIs) and ischaemic stroke could be due to residual confounding. Self-controlled case series (SCCS) can be used to avoid time-invariant confounding. Additionally, different baseline risks of stroke should be considered, as some individuals may be prescribed PPIs for gastroprotection from bleeding with antithrombotic drugs.</p><p><strong>Methods: </strong>We identified adult patients with incident ischaemic stroke from 2003 to 2014 in Hong Kong and applied the modified SCCS. The exposure window was pre-defined as Days 1-30, 31-60, 61-90, and 91 to the prescription end, since the PPI prescription. All other periods were referent windows. We estimated incidence rate ratios (IRR) and stratified them further using antithrombotic drugs.</p><p><strong>Results: </strong>A total of 18 170 patients were included. The IRRs for ischaemic stroke were 1.55 (95% CI: 1.00-2.42) during days 61 to 90, 1.51 (95% CI: 1.14-2.00) during days 91 to end, versus the referent window. There was no evidence of an increased risk in other risk windows versus the referent windows. In the stratified analysis, we observed an increased risk in people co-prescribed PPIs with antithrombotic drugs in all risk periods, but no increased risks among those with PPI monotherapy versus the referent window.</p><p><strong>Conclusion: </strong>No evidence of a higher ischaemic stroke after monotherapy of PPI use. The increased risk of ischaemic stroke associated with PPIs could be due to their high baseline risk prescribed with antithrombotic drugs for primary prevention. Clinical monitoring of ischaemic stroke is recommended in these people.</p>\",\"PeriodicalId\":19782,\"journal\":{\"name\":\"Pharmacoepidemiology and Drug Safety\",\"volume\":\"34 9\",\"pages\":\"e70219\"},\"PeriodicalIF\":2.4000,\"publicationDate\":\"2025-09-01\",\"publicationTypes\":\"Journal Article\",\"fieldsOfStudy\":null,\"isOpenAccess\":false,\"openAccessPdf\":\"https://www.ncbi.nlm.nih.gov/pmc/articles/PMC12445257/pdf/\",\"citationCount\":\"0\",\"resultStr\":null,\"platform\":\"Semanticscholar\",\"paperid\":null,\"PeriodicalName\":\"Pharmacoepidemiology and Drug Safety\",\"FirstCategoryId\":\"3\",\"ListUrlMain\":\"https://doi.org/10.1002/pds.70219\",\"RegionNum\":4,\"RegionCategory\":\"医学\",\"ArticlePicture\":[],\"TitleCN\":null,\"AbstractTextCN\":null,\"PMCID\":null,\"EPubDate\":\"\",\"PubModel\":\"\",\"JCR\":\"Q3\",\"JCRName\":\"PHARMACOLOGY & PHARMACY\",\"Score\":null,\"Total\":0}","platform":"Semanticscholar","paperid":null,"PeriodicalName":"Pharmacoepidemiology and Drug Safety","FirstCategoryId":"3","ListUrlMain":"https://doi.org/10.1002/pds.70219","RegionNum":4,"RegionCategory":"医学","ArticlePicture":[],"TitleCN":null,"AbstractTextCN":null,"PMCID":null,"EPubDate":"","PubModel":"","JCR":"Q3","JCRName":"PHARMACOLOGY & PHARMACY","Score":null,"Total":0}
引用次数: 0

摘要

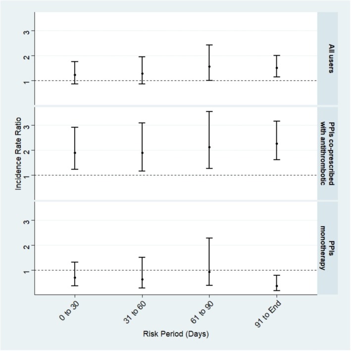
背景:关于质子泵抑制剂(PPIs)与缺血性脑卒中之间关系的相互矛盾的发现可能是由于残留的混淆。自控制病例序列(SCCS)可用于避免时不变混淆。此外,应该考虑不同的卒中基线风险,因为有些人可能会处方PPIs以防止胃出血和抗血栓药物。方法:我们选取2003年至2014年在香港发生偶发缺血性脑卒中的成年患者,并应用改良的SCCS。暴露窗口被预先定义为自PPI处方开始至处方结束的第1-30天、31-60天、61-90天和91天。所有其他时期都是参照窗口。我们估计发病率比(IRR),并使用抗血栓药物进一步分层。结果:共纳入18 170例患者。与参考窗口相比,缺血性卒中的irs在第61天至第90天为1.55 (95% CI: 1.00-2.42),在第91天至结束时为1.51 (95% CI: 1.14-2.00)。与参考窗口相比,没有证据表明其他风险窗口的风险增加。在分层分析中,我们观察到在所有危险期同时使用PPI和抗血栓药物的患者风险增加,但与参考窗口相比,单独使用PPI治疗的患者风险没有增加。结论:没有证据表明单用PPI治疗后缺血性卒中发生率升高。与ppi相关的缺血性卒中风险增加可能是由于他们使用抗血栓药物进行一级预防的基线风险较高。建议对这些人群进行缺血性卒中的临床监测。
本文章由计算机程序翻译,如有差异,请以英文原文为准。

Risk of Ischaemic Stroke Varies With Antithrombotic Drugs Use in Proton Pump Inhibitor Users: A Self-Controlled Case Series Study.

Risk of Ischaemic Stroke Varies With Antithrombotic Drugs Use in Proton Pump Inhibitor Users: A Self-Controlled Case Series Study.

Risk of Ischaemic Stroke Varies With Antithrombotic Drugs Use in Proton Pump Inhibitor Users: A Self-Controlled Case Series Study.

Risk of Ischaemic Stroke Varies With Antithrombotic Drugs Use in Proton Pump Inhibitor Users: A Self-Controlled Case Series Study.

Background: The conflicting findings on the association between proton pump inhibitors (PPIs) and ischaemic stroke could be due to residual confounding. Self-controlled case series (SCCS) can be used to avoid time-invariant confounding. Additionally, different baseline risks of stroke should be considered, as some individuals may be prescribed PPIs for gastroprotection from bleeding with antithrombotic drugs.

Methods: We identified adult patients with incident ischaemic stroke from 2003 to 2014 in Hong Kong and applied the modified SCCS. The exposure window was pre-defined as Days 1-30, 31-60, 61-90, and 91 to the prescription end, since the PPI prescription. All other periods were referent windows. We estimated incidence rate ratios (IRR) and stratified them further using antithrombotic drugs.

Results: A total of 18 170 patients were included. The IRRs for ischaemic stroke were 1.55 (95% CI: 1.00-2.42) during days 61 to 90, 1.51 (95% CI: 1.14-2.00) during days 91 to end, versus the referent window. There was no evidence of an increased risk in other risk windows versus the referent windows. In the stratified analysis, we observed an increased risk in people co-prescribed PPIs with antithrombotic drugs in all risk periods, but no increased risks among those with PPI monotherapy versus the referent window.

Conclusion: No evidence of a higher ischaemic stroke after monotherapy of PPI use. The increased risk of ischaemic stroke associated with PPIs could be due to their high baseline risk prescribed with antithrombotic drugs for primary prevention. Clinical monitoring of ischaemic stroke is recommended in these people.

求助全文
通过发布文献求助,成功后即可免费获取论文全文。 去求助
来源期刊
CiteScore
4.80
自引率
7.70%
发文量
173
审稿时长
3 months
期刊介绍: The aim of Pharmacoepidemiology and Drug Safety is to provide an international forum for the communication and evaluation of data, methods and opinion in the discipline of pharmacoepidemiology. The Journal publishes peer-reviewed reports of original research, invited reviews and a variety of guest editorials and commentaries embracing scientific, medical, statistical, legal and economic aspects of pharmacoepidemiology and post-marketing surveillance of drug safety. Appropriate material in these categories may also be considered for publication as a Brief Report. Particular areas of interest include: design, analysis, results, and interpretation of studies looking at the benefit or safety of specific pharmaceuticals, biologics, or medical devices, including studies in pharmacovigilance, postmarketing surveillance, pharmacoeconomics, patient safety, molecular pharmacoepidemiology, or any other study within the broad field of pharmacoepidemiology; comparative effectiveness research relating to pharmaceuticals, biologics, and medical devices. Comparative effectiveness research is the generation and synthesis of evidence that compares the benefits and harms of alternative methods to prevent, diagnose, treat, and monitor a clinical condition, as these methods are truly used in the real world; methodologic contributions of relevance to pharmacoepidemiology, whether original contributions, reviews of existing methods, or tutorials for how to apply the methods of pharmacoepidemiology; assessments of harm versus benefit in drug therapy; patterns of drug utilization; relationships between pharmacoepidemiology and the formulation and interpretation of regulatory guidelines; evaluations of risk management plans and programmes relating to pharmaceuticals, biologics and medical devices.
×
引用
GB/T 7714-2015
复制
MLA
复制
APA
复制
导出至
BibTeX EndNote RefMan NoteFirst NoteExpress
×
提示
您的信息不完整,为了账户安全,请先补充。
现在去补充
×
提示
您因"违规操作"
具体请查看互助需知
我知道了
×
提示
确定
请完成安全验证×
copy
已复制链接
快去分享给好友吧!
我知道了
右上角分享
点击右上角分享
0
联系我们:info@booksci.cn Book学术提供免费学术资源搜索服务,方便国内外学者检索中英文文献。致力于提供最便捷和优质的服务体验。 Copyright © 2023 布克学术 All rights reserved.
京ICP备2023020795号-1
ghs 京公网安备 11010802042870号
Book学术文献互助
Book学术文献互助群
群 号:604180095
Book学术官方微信