增强传统标准:基于ct的深度学习放射组学图用于肝移植后肝细胞癌早期复发风险分层。

IF 4.5 2区 医学 Q1 RADIOLOGY, NUCLEAR MEDICINE & MEDICAL IMAGING
Ziqian Wu, Danyang Liu, Siyu Ouyang, Jingyi Hu, Jie Ding, Qiu Guo, Jidong Gao, Jiawen Luo, Ke Ren
{"title":"增强传统标准:基于ct的深度学习放射组学图用于肝移植后肝细胞癌早期复发风险分层。","authors":"Ziqian Wu, Danyang Liu, Siyu Ouyang, Jingyi Hu, Jie Ding, Qiu Guo, Jidong Gao, Jiawen Luo, Ke Ren","doi":"10.1186/s13244-025-02082-7","DOIUrl":null,"url":null,"abstract":"<p><strong>Background: </strong>We developed a deep learning radiomics nomogram (DLRN) using CT scans to improve clinical decision-making and risk stratification for early recurrence of hepatocellular carcinoma (HCC) after transplantation, which typically has a poor prognosis.</p><p><strong>Materials and methods: </strong>In this two-center study, 245 HCC patients who had contrast-enhanced CT before liver transplantation were split into a training set (n = 184) and a validation set (n = 61). We extracted radiomics and deep learning features from tumor and peritumor areas on preoperative CT images. The DLRN was created by combining these features with significant clinical variables using multivariate logistic regression. Its performance was validated against four traditional risk criteria to assess its additional value.</p><p><strong>Results: </strong>The DLRN model showed strong predictive accuracy for early HCC recurrence post-transplant, with AUCs of 0.884 and 0.829 in training and validation groups. High DLRN scores significantly increased relapse risk by 16.370 times (95% CI: 7.100-31.690; p  < 0.001). Combining DLRN with Metro-Ticket 2.0 criteria yielded the best prediction (AUC: training/validation: 0.936/0.863).</p><p><strong>Conclusion: </strong>The CT-based DLRN offers a non-invasive method for predicting early recurrence following liver transplantation in patients with HCC. Furthermore, it provides substantial additional predictive value with traditional prognostic scoring systems.</p><p><strong>Critical relevance statement: </strong>AI-driven predictive models utilizing preoperative CT imaging enable accurate identification of early HCC recurrence risk following liver transplantation, facilitating risk-stratified surveillance protocols and optimized post-transplant management.</p><p><strong>Key points: </strong>A CT-based DLRN for predicting early HCC recurrence post-transplant was developed. The DLRN predicted recurrence with high accuracy (AUC: 0.829) and 16.370-fold increased recurrence risk. Combining DLRN with Metro-Ticket 2.0 criteria achieved optimal prediction (AUC: 0.863).</p>","PeriodicalId":13639,"journal":{"name":"Insights into Imaging","volume":"16 1","pages":"194"},"PeriodicalIF":4.5000,"publicationDate":"2025-09-17","publicationTypes":"Journal Article","fieldsOfStudy":null,"isOpenAccess":false,"openAccessPdf":"https://www.ncbi.nlm.nih.gov/pmc/articles/PMC12443646/pdf/","citationCount":"0","resultStr":"{\"title\":\"Augmenting conventional criteria: a CT-based deep learning radiomics nomogram for early recurrence risk stratification in hepatocellular carcinoma after liver transplantation.\",\"authors\":\"Ziqian Wu, Danyang Liu, Siyu Ouyang, Jingyi Hu, Jie Ding, Qiu Guo, Jidong Gao, Jiawen Luo, Ke Ren\",\"doi\":\"10.1186/s13244-025-02082-7\",\"DOIUrl\":null,\"url\":null,\"abstract\":\"<p><strong>Background: </strong>We developed a deep learning radiomics nomogram (DLRN) using CT scans to improve clinical decision-making and risk stratification for early recurrence of hepatocellular carcinoma (HCC) after transplantation, which typically has a poor prognosis.</p><p><strong>Materials and methods: </strong>In this two-center study, 245 HCC patients who had contrast-enhanced CT before liver transplantation were split into a training set (n = 184) and a validation set (n = 61). We extracted radiomics and deep learning features from tumor and peritumor areas on preoperative CT images. The DLRN was created by combining these features with significant clinical variables using multivariate logistic regression. Its performance was validated against four traditional risk criteria to assess its additional value.</p><p><strong>Results: </strong>The DLRN model showed strong predictive accuracy for early HCC recurrence post-transplant, with AUCs of 0.884 and 0.829 in training and validation groups. High DLRN scores significantly increased relapse risk by 16.370 times (95% CI: 7.100-31.690; p  < 0.001). Combining DLRN with Metro-Ticket 2.0 criteria yielded the best prediction (AUC: training/validation: 0.936/0.863).</p><p><strong>Conclusion: </strong>The CT-based DLRN offers a non-invasive method for predicting early recurrence following liver transplantation in patients with HCC. Furthermore, it provides substantial additional predictive value with traditional prognostic scoring systems.</p><p><strong>Critical relevance statement: </strong>AI-driven predictive models utilizing preoperative CT imaging enable accurate identification of early HCC recurrence risk following liver transplantation, facilitating risk-stratified surveillance protocols and optimized post-transplant management.</p><p><strong>Key points: </strong>A CT-based DLRN for predicting early HCC recurrence post-transplant was developed. The DLRN predicted recurrence with high accuracy (AUC: 0.829) and 16.370-fold increased recurrence risk. Combining DLRN with Metro-Ticket 2.0 criteria achieved optimal prediction (AUC: 0.863).</p>\",\"PeriodicalId\":13639,\"journal\":{\"name\":\"Insights into Imaging\",\"volume\":\"16 1\",\"pages\":\"194\"},\"PeriodicalIF\":4.5000,\"publicationDate\":\"2025-09-17\",\"publicationTypes\":\"Journal Article\",\"fieldsOfStudy\":null,\"isOpenAccess\":false,\"openAccessPdf\":\"https://www.ncbi.nlm.nih.gov/pmc/articles/PMC12443646/pdf/\",\"citationCount\":\"0\",\"resultStr\":null,\"platform\":\"Semanticscholar\",\"paperid\":null,\"PeriodicalName\":\"Insights into Imaging\",\"FirstCategoryId\":\"3\",\"ListUrlMain\":\"https://doi.org/10.1186/s13244-025-02082-7\",\"RegionNum\":2,\"RegionCategory\":\"医学\",\"ArticlePicture\":[],\"TitleCN\":null,\"AbstractTextCN\":null,\"PMCID\":null,\"EPubDate\":\"\",\"PubModel\":\"\",\"JCR\":\"Q1\",\"JCRName\":\"RADIOLOGY, NUCLEAR MEDICINE & MEDICAL IMAGING\",\"Score\":null,\"Total\":0}","platform":"Semanticscholar","paperid":null,"PeriodicalName":"Insights into Imaging","FirstCategoryId":"3","ListUrlMain":"https://doi.org/10.1186/s13244-025-02082-7","RegionNum":2,"RegionCategory":"医学","ArticlePicture":[],"TitleCN":null,"AbstractTextCN":null,"PMCID":null,"EPubDate":"","PubModel":"","JCR":"Q1","JCRName":"RADIOLOGY, NUCLEAR MEDICINE & MEDICAL IMAGING","Score":null,"Total":0}
引用次数: 0

摘要

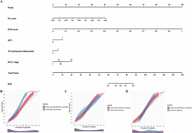
背景:我们开发了一种使用CT扫描的深度学习放射组学nomogram (DLRN),以改善肝细胞癌(HCC)移植后早期复发的临床决策和风险分层,HCC通常预后较差。材料和方法:在这项双中心研究中,245例肝移植前行对比增强CT的HCC患者被分为训练组(n = 184)和验证组(n = 61)。我们从术前CT图像上的肿瘤和肿瘤周围区域提取放射组学和深度学习特征。DLRN是通过使用多变量逻辑回归将这些特征与重要的临床变量相结合而创建的。根据四个传统风险标准对其性能进行验证,以评估其附加价值。结果:DLRN模型对移植后早期HCC复发具有较强的预测准确性,训练组和验证组的auc分别为0.884和0.829。高DLRN评分显著增加了16.370倍的复发风险(95% CI: 7.100-31.690; p)结论:基于ct的DLRN为预测HCC患者肝移植术后早期复发提供了一种无创方法。此外,与传统的预后评分系统相比,它提供了大量额外的预测价值。关键相关性声明:利用术前CT成像的人工智能驱动的预测模型能够准确识别肝移植后早期HCC复发风险,促进风险分层监测方案和优化移植后管理。重点:基于ct的DLRN预测肝癌移植后早期复发。DLRN预测复发准确率高(AUC: 0.829),复发风险增加16.370倍。DLRN与Metro-Ticket 2.0标准相结合的预测结果最优(AUC: 0.863)。
本文章由计算机程序翻译,如有差异,请以英文原文为准。

Augmenting conventional criteria: a CT-based deep learning radiomics nomogram for early recurrence risk stratification in hepatocellular carcinoma after liver transplantation.

Augmenting conventional criteria: a CT-based deep learning radiomics nomogram for early recurrence risk stratification in hepatocellular carcinoma after liver transplantation.

Augmenting conventional criteria: a CT-based deep learning radiomics nomogram for early recurrence risk stratification in hepatocellular carcinoma after liver transplantation.

Augmenting conventional criteria: a CT-based deep learning radiomics nomogram for early recurrence risk stratification in hepatocellular carcinoma after liver transplantation.

Background: We developed a deep learning radiomics nomogram (DLRN) using CT scans to improve clinical decision-making and risk stratification for early recurrence of hepatocellular carcinoma (HCC) after transplantation, which typically has a poor prognosis.

Materials and methods: In this two-center study, 245 HCC patients who had contrast-enhanced CT before liver transplantation were split into a training set (n = 184) and a validation set (n = 61). We extracted radiomics and deep learning features from tumor and peritumor areas on preoperative CT images. The DLRN was created by combining these features with significant clinical variables using multivariate logistic regression. Its performance was validated against four traditional risk criteria to assess its additional value.

Results: The DLRN model showed strong predictive accuracy for early HCC recurrence post-transplant, with AUCs of 0.884 and 0.829 in training and validation groups. High DLRN scores significantly increased relapse risk by 16.370 times (95% CI: 7.100-31.690; p  < 0.001). Combining DLRN with Metro-Ticket 2.0 criteria yielded the best prediction (AUC: training/validation: 0.936/0.863).

Conclusion: The CT-based DLRN offers a non-invasive method for predicting early recurrence following liver transplantation in patients with HCC. Furthermore, it provides substantial additional predictive value with traditional prognostic scoring systems.

Critical relevance statement: AI-driven predictive models utilizing preoperative CT imaging enable accurate identification of early HCC recurrence risk following liver transplantation, facilitating risk-stratified surveillance protocols and optimized post-transplant management.

Key points: A CT-based DLRN for predicting early HCC recurrence post-transplant was developed. The DLRN predicted recurrence with high accuracy (AUC: 0.829) and 16.370-fold increased recurrence risk. Combining DLRN with Metro-Ticket 2.0 criteria achieved optimal prediction (AUC: 0.863).

求助全文
通过发布文献求助,成功后即可免费获取论文全文。 去求助
来源期刊
Insights into Imaging
Insights into Imaging Medicine-Radiology, Nuclear Medicine and Imaging
CiteScore
7.30
自引率
4.30%
发文量
182
审稿时长
13 weeks
期刊介绍: Insights into Imaging (I³) is a peer-reviewed open access journal published under the brand SpringerOpen. All content published in the journal is freely available online to anyone, anywhere! I³ continuously updates scientific knowledge and progress in best-practice standards in radiology through the publication of original articles and state-of-the-art reviews and opinions, along with recommendations and statements from the leading radiological societies in Europe. Founded by the European Society of Radiology (ESR), I³ creates a platform for educational material, guidelines and recommendations, and a forum for topics of controversy. A balanced combination of review articles, original papers, short communications from European radiological congresses and information on society matters makes I³ an indispensable source for current information in this field. I³ is owned by the ESR, however authors retain copyright to their article according to the Creative Commons Attribution License (see Copyright and License Agreement). All articles can be read, redistributed and reused for free, as long as the author of the original work is cited properly. The open access fees (article-processing charges) for this journal are kindly sponsored by ESR for all Members. The journal went open access in 2012, which means that all articles published since then are freely available online.
×
引用
GB/T 7714-2015
复制
MLA
复制
APA
复制
导出至
BibTeX EndNote RefMan NoteFirst NoteExpress
×
提示
您的信息不完整,为了账户安全,请先补充。
现在去补充
×
提示
您因"违规操作"
具体请查看互助需知
我知道了
×
提示
确定
请完成安全验证×
copy
已复制链接
快去分享给好友吧!
我知道了
右上角分享
点击右上角分享
0
联系我们:info@booksci.cn Book学术提供免费学术资源搜索服务,方便国内外学者检索中英文文献。致力于提供最便捷和优质的服务体验。 Copyright © 2023 布克学术 All rights reserved.
京ICP备2023020795号-1
ghs 京公网安备 11010802042870号
Book学术文献互助
Book学术文献互助群
群 号:604180095
Book学术官方微信