SGLT2抑制剂作为糖尿病和非糖尿病患者急性和慢性难治性低镁血症的治疗选择:多中心病例系列

Case Reports in Nephrology Pub Date : 2025-09-09 eCollection Date: 2025-01-01 DOI:10.1155/crin/5615339
Fatima Ayub, Praveen Errabelli, Abedalrahman Almashayekh, Ahmed Abdallah, Md Rajibul Hasan, Manisha Singh, Nithin Karakala, Joseph Hunter Holthoff
{"title":"SGLT2抑制剂作为糖尿病和非糖尿病患者急性和慢性难治性低镁血症的治疗选择:多中心病例系列","authors":"Fatima Ayub, Praveen Errabelli, Abedalrahman Almashayekh, Ahmed Abdallah, Md Rajibul Hasan, Manisha Singh, Nithin Karakala, Joseph Hunter Holthoff","doi":"10.1155/crin/5615339","DOIUrl":null,"url":null,"abstract":"<p><p>Sodium-glucose cotransporter 2 (SGLT2) inhibitors are widely used in patients with kidney disease and have been shown to increase serum magnesium levels. Case reports have described their role in correcting hypomagnesemia; however, there is limited evidence regarding their efficacy in patients with renal magnesium wasting. Furthermore, data regarding their role in acute treatment and sustained efficacy to treat hypomagnesemia are lacking. We present a multicenter retrospective, observational case series from two U.S. medical centers describing five patients with refractory hypomagnesemia who experienced significant improvement following initiation of SGLT2 inhibitors. Patients 1-4 showed marked renal magnesium wasting with severe symptomatic hypomagnesemia which responded robustly to SGLT2 inhibitor therapy. Even though Patient 5 did not have renal magnesium wasting, hypomagnesemia still improved with the addition of an SGLT2 inhibitor. Furthermore, the addition of an SGLT2 inhibitor acutely improved the hypomagnesemia of Patients 1 and 2 in an inpatient setting, and Patients 3-5 demonstrated sustained improvement of hypomagnesemia across extended outpatient follow-up. The improvement of hypomagnesemia was irrespective of the diabetic status of the patient. All cases resulted in substantial reduction or cessation of magnesium (Mg) supplementation. These findings suggest a novel therapeutic application of SGLT2 inhibitors for managing intractable hypomagnesemia, both acutely and chronically, regardless of the diabetes being the primary culprit.</p>","PeriodicalId":9604,"journal":{"name":"Case Reports in Nephrology","volume":"2025 ","pages":"5615339"},"PeriodicalIF":0.0000,"publicationDate":"2025-09-09","publicationTypes":"Journal Article","fieldsOfStudy":null,"isOpenAccess":false,"openAccessPdf":"https://www.ncbi.nlm.nih.gov/pmc/articles/PMC12440649/pdf/","citationCount":"0","resultStr":"{\"title\":\"SGLT2 Inhibitors as a Therapeutic Option for Both Acute and Chronic Refractory Hypomagnesemia in Diabetic and Nondiabetic Patients: A Multicenter Case Series.\",\"authors\":\"Fatima Ayub, Praveen Errabelli, Abedalrahman Almashayekh, Ahmed Abdallah, Md Rajibul Hasan, Manisha Singh, Nithin Karakala, Joseph Hunter Holthoff\",\"doi\":\"10.1155/crin/5615339\",\"DOIUrl\":null,\"url\":null,\"abstract\":\"<p><p>Sodium-glucose cotransporter 2 (SGLT2) inhibitors are widely used in patients with kidney disease and have been shown to increase serum magnesium levels. Case reports have described their role in correcting hypomagnesemia; however, there is limited evidence regarding their efficacy in patients with renal magnesium wasting. Furthermore, data regarding their role in acute treatment and sustained efficacy to treat hypomagnesemia are lacking. We present a multicenter retrospective, observational case series from two U.S. medical centers describing five patients with refractory hypomagnesemia who experienced significant improvement following initiation of SGLT2 inhibitors. Patients 1-4 showed marked renal magnesium wasting with severe symptomatic hypomagnesemia which responded robustly to SGLT2 inhibitor therapy. Even though Patient 5 did not have renal magnesium wasting, hypomagnesemia still improved with the addition of an SGLT2 inhibitor. Furthermore, the addition of an SGLT2 inhibitor acutely improved the hypomagnesemia of Patients 1 and 2 in an inpatient setting, and Patients 3-5 demonstrated sustained improvement of hypomagnesemia across extended outpatient follow-up. The improvement of hypomagnesemia was irrespective of the diabetic status of the patient. All cases resulted in substantial reduction or cessation of magnesium (Mg) supplementation. These findings suggest a novel therapeutic application of SGLT2 inhibitors for managing intractable hypomagnesemia, both acutely and chronically, regardless of the diabetes being the primary culprit.</p>\",\"PeriodicalId\":9604,\"journal\":{\"name\":\"Case Reports in Nephrology\",\"volume\":\"2025 \",\"pages\":\"5615339\"},\"PeriodicalIF\":0.0000,\"publicationDate\":\"2025-09-09\",\"publicationTypes\":\"Journal Article\",\"fieldsOfStudy\":null,\"isOpenAccess\":false,\"openAccessPdf\":\"https://www.ncbi.nlm.nih.gov/pmc/articles/PMC12440649/pdf/\",\"citationCount\":\"0\",\"resultStr\":null,\"platform\":\"Semanticscholar\",\"paperid\":null,\"PeriodicalName\":\"Case Reports in Nephrology\",\"FirstCategoryId\":\"1085\",\"ListUrlMain\":\"https://doi.org/10.1155/crin/5615339\",\"RegionNum\":0,\"RegionCategory\":null,\"ArticlePicture\":[],\"TitleCN\":null,\"AbstractTextCN\":null,\"PMCID\":null,\"EPubDate\":\"2025/1/1 0:00:00\",\"PubModel\":\"eCollection\",\"JCR\":\"\",\"JCRName\":\"\",\"Score\":null,\"Total\":0}","platform":"Semanticscholar","paperid":null,"PeriodicalName":"Case Reports in Nephrology","FirstCategoryId":"1085","ListUrlMain":"https://doi.org/10.1155/crin/5615339","RegionNum":0,"RegionCategory":null,"ArticlePicture":[],"TitleCN":null,"AbstractTextCN":null,"PMCID":null,"EPubDate":"2025/1/1 0:00:00","PubModel":"eCollection","JCR":"","JCRName":"","Score":null,"Total":0}
引用次数: 0

摘要

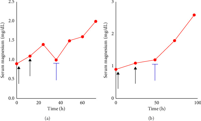
钠-葡萄糖共转运蛋白2 (SGLT2)抑制剂广泛用于肾脏疾病患者,并已被证明可提高血清镁水平。病例报告描述了它们在纠正低镁血症中的作用;然而,关于它们对肾性镁消耗患者的疗效的证据有限。此外,缺乏关于它们在急性治疗中的作用和治疗低镁血症的持续疗效的数据。我们介绍了来自美国两个医疗中心的多中心回顾性观察病例系列,描述了5例顽固性低镁血症患者在开始使用SGLT2抑制剂后出现显著改善。患者1-4表现出明显的肾镁消耗和严重的症状性低镁血症,对SGLT2抑制剂治疗反应强烈。尽管患者5没有肾脏镁消耗,但添加SGLT2抑制剂后,低镁血症仍得到改善。此外,添加SGLT2抑制剂可显著改善住院患者1和2的低镁血症,患者3-5在延长的门诊随访中表现出持续的低镁血症改善。低镁血症的改善与患者的糖尿病状态无关。所有病例均导致镁(Mg)补充量大幅减少或停止。这些发现提示了SGLT2抑制剂治疗顽固性低镁血症的新应用,无论是急性还是慢性,无论糖尿病是否是罪魁祸首。
本文章由计算机程序翻译,如有差异,请以英文原文为准。

SGLT2 Inhibitors as a Therapeutic Option for Both Acute and Chronic Refractory Hypomagnesemia in Diabetic and Nondiabetic Patients: A Multicenter Case Series.

SGLT2 Inhibitors as a Therapeutic Option for Both Acute and Chronic Refractory Hypomagnesemia in Diabetic and Nondiabetic Patients: A Multicenter Case Series.

SGLT2 Inhibitors as a Therapeutic Option for Both Acute and Chronic Refractory Hypomagnesemia in Diabetic and Nondiabetic Patients: A Multicenter Case Series.

SGLT2 Inhibitors as a Therapeutic Option for Both Acute and Chronic Refractory Hypomagnesemia in Diabetic and Nondiabetic Patients: A Multicenter Case Series.

Sodium-glucose cotransporter 2 (SGLT2) inhibitors are widely used in patients with kidney disease and have been shown to increase serum magnesium levels. Case reports have described their role in correcting hypomagnesemia; however, there is limited evidence regarding their efficacy in patients with renal magnesium wasting. Furthermore, data regarding their role in acute treatment and sustained efficacy to treat hypomagnesemia are lacking. We present a multicenter retrospective, observational case series from two U.S. medical centers describing five patients with refractory hypomagnesemia who experienced significant improvement following initiation of SGLT2 inhibitors. Patients 1-4 showed marked renal magnesium wasting with severe symptomatic hypomagnesemia which responded robustly to SGLT2 inhibitor therapy. Even though Patient 5 did not have renal magnesium wasting, hypomagnesemia still improved with the addition of an SGLT2 inhibitor. Furthermore, the addition of an SGLT2 inhibitor acutely improved the hypomagnesemia of Patients 1 and 2 in an inpatient setting, and Patients 3-5 demonstrated sustained improvement of hypomagnesemia across extended outpatient follow-up. The improvement of hypomagnesemia was irrespective of the diabetic status of the patient. All cases resulted in substantial reduction or cessation of magnesium (Mg) supplementation. These findings suggest a novel therapeutic application of SGLT2 inhibitors for managing intractable hypomagnesemia, both acutely and chronically, regardless of the diabetes being the primary culprit.

求助全文
通过发布文献求助,成功后即可免费获取论文全文。 去求助
来源期刊
Case Reports in Nephrology
Case Reports in Nephrology Medicine-Nephrology
CiteScore
1.70
自引率
0.00%
发文量
32
×
引用
GB/T 7714-2015
复制
MLA
复制
APA
复制
导出至
BibTeX EndNote RefMan NoteFirst NoteExpress
×
提示
您的信息不完整,为了账户安全,请先补充。
现在去补充
×
提示
您因"违规操作"
具体请查看互助需知
我知道了
×
提示
确定
请完成安全验证×
copy
已复制链接
快去分享给好友吧!
我知道了
右上角分享
点击右上角分享
0
联系我们:info@booksci.cn Book学术提供免费学术资源搜索服务,方便国内外学者检索中英文文献。致力于提供最便捷和优质的服务体验。 Copyright © 2023 布克学术 All rights reserved.
京ICP备2023020795号-1
ghs 京公网安备 11010802042870号
Book学术文献互助
Book学术文献互助群
群 号:604180095
Book学术官方微信