青少年重度抑郁症患者外周血ACMSD甲基化与动态功能连接模式相关。

IF 3.2 3区 生物学 Q3 BIOCHEMISTRY & MOLECULAR BIOLOGY
Epigenetics Pub Date : 2025-12-01 Epub Date: 2025-09-17 DOI:10.1080/15592294.2025.2560339
Maojia Ran, Meijiang Jin, Zhujun Wang, Hang Zhang, Yuanmei Tao, Hanmei Xu, Shoukang Zou, Fang Deng, Hong Zhang, Xiaowei Tang, Xia Fu, Li Yin
{"title":"青少年重度抑郁症患者外周血ACMSD甲基化与动态功能连接模式相关。","authors":"Maojia Ran, Meijiang Jin, Zhujun Wang, Hang Zhang, Yuanmei Tao, Hanmei Xu, Shoukang Zou, Fang Deng, Hong Zhang, Xiaowei Tang, Xia Fu, Li Yin","doi":"10.1080/15592294.2025.2560339","DOIUrl":null,"url":null,"abstract":"<p><p>This study aimed to explore the association between ACMSD methylation level in peripheral blood and brain dynamic functional connectivity (dFC) patterns in adolescents with MDD. Sixty-seven drug-naive, first-episode adolescents with MDD (mean age 14.55 ± 1.38 years, 24 males [35.8%]) and twenty-three healthy controls (HCs, mean age 14.34 ± 1.47 years, 10 males [43.5%]) completed resting-state structural and functional magnetic resonance imaging. DNA samples were collected from peripheral venous blood. Joint and Individual Variation Explained (JIVE) method was used to explore the joint and independent components of four domains of environmental factors (life adverse events, LAE; family environment, FE; family functioning, FF; childhood chronic stress, CCS). Dynamic independent component analysis was used to compute dynamic functional connectivity between brain regions. Associations between ACMSD methylation, environment and brain dFC patterns were assessed. JIVE calculated one joint (JIVE-joint) and seven individual components (JIVE-LAE-1, JIVE-FE-1, JIVE-FE-2, JIVE-FF-1, JIVE-FF-2, JIVE-CCS-1, and JIVE-CCS-2). ACMSD methylation was negatively correlated with JIVE-joint (<i>r</i> = -0.304, <i>p</i> = 0.012) and JIVE-CCS-1 (<i>r</i> = -0.299, <i>p</i> = 0.014) but positively correlated with JIVE-CCS-2 (<i>r</i> = 0.248, <i>p</i> = 0.043). Greater ACMSD methylation was associated with increased dFC strength between the left lateral occipital cortex and right postcentral gyrus (PostCG; T[65] = 4.02, <i>p</i> < 0.001, <i>p</i>-FDR = 0.010) and between the left temporal occipital fusiform cortex and right PostCG (T[65] = 3.86, <i>p</i> < 0.001, <i>p</i>-FDR = 0.035) in adolescent MDD patients. Methylation value of the ACMSD gene is more likely to be influenced by childhood chronic stress. This study may provided a new perspective for future epigenetic research on adolescent MDD.</p>","PeriodicalId":11767,"journal":{"name":"Epigenetics","volume":"20 1","pages":"2560339"},"PeriodicalIF":3.2000,"publicationDate":"2025-12-01","publicationTypes":"Journal Article","fieldsOfStudy":null,"isOpenAccess":false,"openAccessPdf":"https://www.ncbi.nlm.nih.gov/pmc/articles/PMC12452479/pdf/","citationCount":"0","resultStr":"{\"title\":\"ACMSD methylation in peripheral blood is associated with dynamic functional connectivity pattern in adolescent MDD patients.\",\"authors\":\"Maojia Ran, Meijiang Jin, Zhujun Wang, Hang Zhang, Yuanmei Tao, Hanmei Xu, Shoukang Zou, Fang Deng, Hong Zhang, Xiaowei Tang, Xia Fu, Li Yin\",\"doi\":\"10.1080/15592294.2025.2560339\",\"DOIUrl\":null,\"url\":null,\"abstract\":\"<p><p>This study aimed to explore the association between ACMSD methylation level in peripheral blood and brain dynamic functional connectivity (dFC) patterns in adolescents with MDD. Sixty-seven drug-naive, first-episode adolescents with MDD (mean age 14.55 ± 1.38 years, 24 males [35.8%]) and twenty-three healthy controls (HCs, mean age 14.34 ± 1.47 years, 10 males [43.5%]) completed resting-state structural and functional magnetic resonance imaging. DNA samples were collected from peripheral venous blood. Joint and Individual Variation Explained (JIVE) method was used to explore the joint and independent components of four domains of environmental factors (life adverse events, LAE; family environment, FE; family functioning, FF; childhood chronic stress, CCS). Dynamic independent component analysis was used to compute dynamic functional connectivity between brain regions. Associations between ACMSD methylation, environment and brain dFC patterns were assessed. JIVE calculated one joint (JIVE-joint) and seven individual components (JIVE-LAE-1, JIVE-FE-1, JIVE-FE-2, JIVE-FF-1, JIVE-FF-2, JIVE-CCS-1, and JIVE-CCS-2). ACMSD methylation was negatively correlated with JIVE-joint (<i>r</i> = -0.304, <i>p</i> = 0.012) and JIVE-CCS-1 (<i>r</i> = -0.299, <i>p</i> = 0.014) but positively correlated with JIVE-CCS-2 (<i>r</i> = 0.248, <i>p</i> = 0.043). Greater ACMSD methylation was associated with increased dFC strength between the left lateral occipital cortex and right postcentral gyrus (PostCG; T[65] = 4.02, <i>p</i> < 0.001, <i>p</i>-FDR = 0.010) and between the left temporal occipital fusiform cortex and right PostCG (T[65] = 3.86, <i>p</i> < 0.001, <i>p</i>-FDR = 0.035) in adolescent MDD patients. Methylation value of the ACMSD gene is more likely to be influenced by childhood chronic stress. This study may provided a new perspective for future epigenetic research on adolescent MDD.</p>\",\"PeriodicalId\":11767,\"journal\":{\"name\":\"Epigenetics\",\"volume\":\"20 1\",\"pages\":\"2560339\"},\"PeriodicalIF\":3.2000,\"publicationDate\":\"2025-12-01\",\"publicationTypes\":\"Journal Article\",\"fieldsOfStudy\":null,\"isOpenAccess\":false,\"openAccessPdf\":\"https://www.ncbi.nlm.nih.gov/pmc/articles/PMC12452479/pdf/\",\"citationCount\":\"0\",\"resultStr\":null,\"platform\":\"Semanticscholar\",\"paperid\":null,\"PeriodicalName\":\"Epigenetics\",\"FirstCategoryId\":\"99\",\"ListUrlMain\":\"https://doi.org/10.1080/15592294.2025.2560339\",\"RegionNum\":3,\"RegionCategory\":\"生物学\",\"ArticlePicture\":[],\"TitleCN\":null,\"AbstractTextCN\":null,\"PMCID\":null,\"EPubDate\":\"2025/9/17 0:00:00\",\"PubModel\":\"Epub\",\"JCR\":\"Q3\",\"JCRName\":\"BIOCHEMISTRY & MOLECULAR BIOLOGY\",\"Score\":null,\"Total\":0}","platform":"Semanticscholar","paperid":null,"PeriodicalName":"Epigenetics","FirstCategoryId":"99","ListUrlMain":"https://doi.org/10.1080/15592294.2025.2560339","RegionNum":3,"RegionCategory":"生物学","ArticlePicture":[],"TitleCN":null,"AbstractTextCN":null,"PMCID":null,"EPubDate":"2025/9/17 0:00:00","PubModel":"Epub","JCR":"Q3","JCRName":"BIOCHEMISTRY & MOLECULAR BIOLOGY","Score":null,"Total":0}
引用次数: 0

摘要

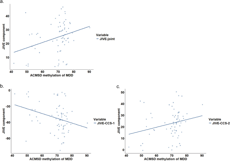
本研究旨在探讨青少年MDD患者外周血ACMSD甲基化水平与脑动态功能连接(dFC)模式之间的关系。67名未用药的首发MDD青少年(平均年龄14.55±1.38岁,男性24例[35.8%])和23名健康对照(hc,平均年龄14.34±1.47岁,男性10例[43.5%])完成静息状态结构和功能磁共振成像。外周静脉血采集DNA样本。采用JIVE (Joint and Individual Variation Explained)方法,探讨生活不良事件(life adverse events, LAE)、家庭环境(family environment, FE)、家庭功能(family functioning, FF)、儿童慢性应激(childhood chronic stress, CCS)四个环境因子域的联合分量和独立分量。动态独立分量分析用于计算脑区之间的动态功能连接。评估ACMSD甲基化、环境和脑dFC模式之间的关系。JIVE计算了一个关节(JIVE-joint)和七个独立部件(JIVE- lae -1、JIVE- fe -1、JIVE- fe -2、JIVE- ff -1、JIVE- ff -2、JIVE- ccs -1和JIVE- ccs -2)。ACMSD甲基化与JIVE-joint (r = -0.304, p = 0.012)和JIVE-CCS-1 (r = -0.299, p = 0.014)呈负相关,与JIVE-CCS-2呈正相关(r = 0.248, p = 0.043)。在青少年MDD患者中,较大的ACMSD甲基化与左侧枕外侧皮层与右侧中央后回之间(PostCG; T[65] = 4.02, p- fdr = 0.010)和左侧颞枕梭状皮质与右侧后回之间(T[65] = 3.86, p- fdr = 0.035)的dFC强度增加相关。ACMSD基因的甲基化值更可能受到儿童期慢性应激的影响。本研究为今后青少年重度抑郁症的表观遗传学研究提供了新的视角。
本文章由计算机程序翻译,如有差异,请以英文原文为准。

ACMSD methylation in peripheral blood is associated with dynamic functional connectivity pattern in adolescent MDD patients.

ACMSD methylation in peripheral blood is associated with dynamic functional connectivity pattern in adolescent MDD patients.

ACMSD methylation in peripheral blood is associated with dynamic functional connectivity pattern in adolescent MDD patients.

ACMSD methylation in peripheral blood is associated with dynamic functional connectivity pattern in adolescent MDD patients.

This study aimed to explore the association between ACMSD methylation level in peripheral blood and brain dynamic functional connectivity (dFC) patterns in adolescents with MDD. Sixty-seven drug-naive, first-episode adolescents with MDD (mean age 14.55 ± 1.38 years, 24 males [35.8%]) and twenty-three healthy controls (HCs, mean age 14.34 ± 1.47 years, 10 males [43.5%]) completed resting-state structural and functional magnetic resonance imaging. DNA samples were collected from peripheral venous blood. Joint and Individual Variation Explained (JIVE) method was used to explore the joint and independent components of four domains of environmental factors (life adverse events, LAE; family environment, FE; family functioning, FF; childhood chronic stress, CCS). Dynamic independent component analysis was used to compute dynamic functional connectivity between brain regions. Associations between ACMSD methylation, environment and brain dFC patterns were assessed. JIVE calculated one joint (JIVE-joint) and seven individual components (JIVE-LAE-1, JIVE-FE-1, JIVE-FE-2, JIVE-FF-1, JIVE-FF-2, JIVE-CCS-1, and JIVE-CCS-2). ACMSD methylation was negatively correlated with JIVE-joint (r = -0.304, p = 0.012) and JIVE-CCS-1 (r = -0.299, p = 0.014) but positively correlated with JIVE-CCS-2 (r = 0.248, p = 0.043). Greater ACMSD methylation was associated with increased dFC strength between the left lateral occipital cortex and right postcentral gyrus (PostCG; T[65] = 4.02, p < 0.001, p-FDR = 0.010) and between the left temporal occipital fusiform cortex and right PostCG (T[65] = 3.86, p < 0.001, p-FDR = 0.035) in adolescent MDD patients. Methylation value of the ACMSD gene is more likely to be influenced by childhood chronic stress. This study may provided a new perspective for future epigenetic research on adolescent MDD.

求助全文
通过发布文献求助,成功后即可免费获取论文全文。 去求助
来源期刊
Epigenetics
Epigenetics 生物-生化与分子生物学
CiteScore
6.80
自引率
2.70%
发文量
82
审稿时长
3-8 weeks
期刊介绍: Epigenetics publishes peer-reviewed original research and review articles that provide an unprecedented forum where epigenetic mechanisms and their role in diverse biological processes can be revealed, shared, and discussed. Epigenetics research studies heritable changes in gene expression caused by mechanisms others than the modification of the DNA sequence. Epigenetics therefore plays critical roles in a variety of biological systems, diseases, and disciplines. Topics of interest include (but are not limited to): DNA methylation Nucleosome positioning and modification Gene silencing Imprinting Nuclear reprogramming Chromatin remodeling Non-coding RNA Non-histone chromosomal elements Dosage compensation Nuclear organization Epigenetic therapy and diagnostics Nutrition and environmental epigenetics Cancer epigenetics Neuroepigenetics
×
引用
GB/T 7714-2015
复制
MLA
复制
APA
复制
导出至
BibTeX EndNote RefMan NoteFirst NoteExpress
×
提示
您的信息不完整,为了账户安全,请先补充。
现在去补充
×
提示
您因"违规操作"
具体请查看互助需知
我知道了
×
提示
确定
请完成安全验证×
copy
已复制链接
快去分享给好友吧!
我知道了
右上角分享
点击右上角分享
0
联系我们:info@booksci.cn Book学术提供免费学术资源搜索服务,方便国内外学者检索中英文文献。致力于提供最便捷和优质的服务体验。 Copyright © 2023 布克学术 All rights reserved.
京ICP备2023020795号-1
ghs 京公网安备 11010802042870号
Book学术文献互助
Book学术文献互助群
群 号:604180095
Book学术官方微信