改性石墨烯纳米片(GNPs)在表面活性剂水溶液中的表面修饰和分散性

IF 0.8 4区 化学 Q4 CHEMISTRY, PHYSICAL
Faping Li, Peipei Qi, Lisheng Liu, Huan Wang
{"title":"改性石墨烯纳米片(GNPs)在表面活性剂水溶液中的表面修饰和分散性","authors":"Faping Li,&nbsp;Peipei Qi,&nbsp;Lisheng Liu,&nbsp;Huan Wang","doi":"10.1134/S0036024425701407","DOIUrl":null,"url":null,"abstract":"<p>The dispersion of modified GNPs plays a crucial role in their performance within composite materials. In the study, two kinds of surfactants, including odium dodecyl sulfate (SDS) and polyoxyethylene nonylphenyl ether (CO890), are employed to research the dispersion of modified GNPs in aqueous solution. In addition, ultrasonic treatment is used to prepare a uniform suspension of modified GNPs, and the dispersion quality is evaluated through ultraviolet absorbance, zeta potential, surface tension, and TEM imaging. The experimental results indicate that the zeta potential and surface tension stabilize at CO890 and SDS concentrations of approximately 0.5 and 0.7g/L, respectively. This suggests that the ideal CO890 to modified GNPs ratio is 5 : 2, while the optimal SDS to modified GNPs ratio is 7 : 2, which results in the highest dispersion efficiency for the modified GNPs. The TEM images illustrate that the modified GNPs can be effectively dispersed in aqueous surfactant solution combined with ultrasonic treatment.</p>","PeriodicalId":767,"journal":{"name":"Russian Journal of Physical Chemistry A","volume":"99 9","pages":"2178 - 2183"},"PeriodicalIF":0.8000,"publicationDate":"2025-09-16","publicationTypes":"Journal Article","fieldsOfStudy":null,"isOpenAccess":false,"openAccessPdf":"","citationCount":"0","resultStr":"{\"title\":\"Surface Decoration and Dispersibility of Modified Graphene Nanoplatelets (GNPs) in Aqueous Surfactant Solution\",\"authors\":\"Faping Li,&nbsp;Peipei Qi,&nbsp;Lisheng Liu,&nbsp;Huan Wang\",\"doi\":\"10.1134/S0036024425701407\",\"DOIUrl\":null,\"url\":null,\"abstract\":\"<p>The dispersion of modified GNPs plays a crucial role in their performance within composite materials. In the study, two kinds of surfactants, including odium dodecyl sulfate (SDS) and polyoxyethylene nonylphenyl ether (CO890), are employed to research the dispersion of modified GNPs in aqueous solution. In addition, ultrasonic treatment is used to prepare a uniform suspension of modified GNPs, and the dispersion quality is evaluated through ultraviolet absorbance, zeta potential, surface tension, and TEM imaging. The experimental results indicate that the zeta potential and surface tension stabilize at CO890 and SDS concentrations of approximately 0.5 and 0.7g/L, respectively. This suggests that the ideal CO890 to modified GNPs ratio is 5 : 2, while the optimal SDS to modified GNPs ratio is 7 : 2, which results in the highest dispersion efficiency for the modified GNPs. The TEM images illustrate that the modified GNPs can be effectively dispersed in aqueous surfactant solution combined with ultrasonic treatment.</p>\",\"PeriodicalId\":767,\"journal\":{\"name\":\"Russian Journal of Physical Chemistry A\",\"volume\":\"99 9\",\"pages\":\"2178 - 2183\"},\"PeriodicalIF\":0.8000,\"publicationDate\":\"2025-09-16\",\"publicationTypes\":\"Journal Article\",\"fieldsOfStudy\":null,\"isOpenAccess\":false,\"openAccessPdf\":\"\",\"citationCount\":\"0\",\"resultStr\":null,\"platform\":\"Semanticscholar\",\"paperid\":null,\"PeriodicalName\":\"Russian Journal of Physical Chemistry A\",\"FirstCategoryId\":\"92\",\"ListUrlMain\":\"https://link.springer.com/article/10.1134/S0036024425701407\",\"RegionNum\":4,\"RegionCategory\":\"化学\",\"ArticlePicture\":[],\"TitleCN\":null,\"AbstractTextCN\":null,\"PMCID\":null,\"EPubDate\":\"\",\"PubModel\":\"\",\"JCR\":\"Q4\",\"JCRName\":\"CHEMISTRY, PHYSICAL\",\"Score\":null,\"Total\":0}","platform":"Semanticscholar","paperid":null,"PeriodicalName":"Russian Journal of Physical Chemistry A","FirstCategoryId":"92","ListUrlMain":"https://link.springer.com/article/10.1134/S0036024425701407","RegionNum":4,"RegionCategory":"化学","ArticlePicture":[],"TitleCN":null,"AbstractTextCN":null,"PMCID":null,"EPubDate":"","PubModel":"","JCR":"Q4","JCRName":"CHEMISTRY, PHYSICAL","Score":null,"Total":0}
引用次数: 0

摘要

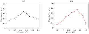
改性GNPs在复合材料中的分散性对其性能起着至关重要的作用。本研究采用十二烷基硫酸钠(SDS)和聚氧乙烯壬基苯基醚(CO890)两种表面活性剂研究改性GNPs在水溶液中的分散。此外,采用超声处理法制备了改性GNPs的均匀悬浮液,并通过紫外吸光度、zeta电位、表面张力和TEM成像评价了其分散质量。实验结果表明,在CO890和SDS浓度分别约为0.5和0.7g/L时,zeta电位和表面张力稳定。结果表明,CO890与改性GNPs的理想比例为5:2,SDS与改性GNPs的最佳比例为7:2,改性GNPs的色散效率最高。透射电镜结果表明,改性后的GNPs能有效地分散在表面活性剂水溶液中。
本文章由计算机程序翻译,如有差异,请以英文原文为准。

Surface Decoration and Dispersibility of Modified Graphene Nanoplatelets (GNPs) in Aqueous Surfactant Solution

Surface Decoration and Dispersibility of Modified Graphene Nanoplatelets (GNPs) in Aqueous Surfactant Solution

Surface Decoration and Dispersibility of Modified Graphene Nanoplatelets (GNPs) in Aqueous Surfactant Solution

The dispersion of modified GNPs plays a crucial role in their performance within composite materials. In the study, two kinds of surfactants, including odium dodecyl sulfate (SDS) and polyoxyethylene nonylphenyl ether (CO890), are employed to research the dispersion of modified GNPs in aqueous solution. In addition, ultrasonic treatment is used to prepare a uniform suspension of modified GNPs, and the dispersion quality is evaluated through ultraviolet absorbance, zeta potential, surface tension, and TEM imaging. The experimental results indicate that the zeta potential and surface tension stabilize at CO890 and SDS concentrations of approximately 0.5 and 0.7g/L, respectively. This suggests that the ideal CO890 to modified GNPs ratio is 5 : 2, while the optimal SDS to modified GNPs ratio is 7 : 2, which results in the highest dispersion efficiency for the modified GNPs. The TEM images illustrate that the modified GNPs can be effectively dispersed in aqueous surfactant solution combined with ultrasonic treatment.

求助全文
通过发布文献求助,成功后即可免费获取论文全文。 去求助
来源期刊
CiteScore
1.20
自引率
14.30%
发文量
376
审稿时长
5.1 months
期刊介绍: Russian Journal of Physical Chemistry A. Focus on Chemistry (Zhurnal Fizicheskoi Khimii), founded in 1930, offers a comprehensive review of theoretical and experimental research from the Russian Academy of Sciences, leading research and academic centers from Russia and from all over the world. Articles are devoted to chemical thermodynamics and thermochemistry, biophysical chemistry, photochemistry and magnetochemistry, materials structure, quantum chemistry, physical chemistry of nanomaterials and solutions, surface phenomena and adsorption, and methods and techniques of physicochemical studies.
×
引用
GB/T 7714-2015
复制
MLA
复制
APA
复制
导出至
BibTeX EndNote RefMan NoteFirst NoteExpress
×
提示
您的信息不完整,为了账户安全,请先补充。
现在去补充
×
提示
您因"违规操作"
具体请查看互助需知
我知道了
×
提示
确定
请完成安全验证×
copy
已复制链接
快去分享给好友吧!
我知道了
右上角分享
点击右上角分享
0
联系我们:info@booksci.cn Book学术提供免费学术资源搜索服务,方便国内外学者检索中英文文献。致力于提供最便捷和优质的服务体验。 Copyright © 2023 布克学术 All rights reserved.
京ICP备2023020795号-1
ghs 京公网安备 11010802042870号
Book学术文献互助
Book学术文献互助群
群 号:604180095
Book学术官方微信