使用无创评分和超声筛查2型糖尿病患者代谢相关脂肪性肝病:埃及的一项横断面研究

IF 2.5 3区 医学 Q2 GASTROENTEROLOGY & HEPATOLOGY
Atteyat A Semeya, Raafat S A Abdel Hafez, Suzan H M Ewais, Sahar M Mostafa, Ahmed Eldeeb, Rasha Elgamal, Amira A A Othman
{"title":"使用无创评分和超声筛查2型糖尿病患者代谢相关脂肪性肝病:埃及的一项横断面研究","authors":"Atteyat A Semeya, Raafat S A Abdel Hafez, Suzan H M Ewais, Sahar M Mostafa, Ahmed Eldeeb, Rasha Elgamal, Amira A A Othman","doi":"10.1186/s12876-025-03844-9","DOIUrl":null,"url":null,"abstract":"<p><strong>Background: </strong>MAFLD is very common among T2DM patients and contributes significantly to both liver and systemic complications. This study aimed to evaluate the reliability of non-invasive scores and abdominal ultrasound for diagnosing and screening MAFLD in Egyptian T2DM patients.</p><p><strong>Methods: </strong>A cross-sectional study was conducted on 300 patients with T2DM who attended the Diabetes Outpatient Clinic at Benha Teaching Hospital. Liver enzymes, non-invasive fibrosis (FIB-4 and NFS), and steatosis (HSI and FLI) indices were evaluated alongside abdominal ultrasonography. Patients were stratified into two groups based on MAFLD diagnosis and assessed for disease presence and severity predictors using logistic regression models.</p><p><strong>Results: </strong>MAFLD prevalence was 46.33%. FIB-4 with an AUC of 0.826 (95% CI:0.778-0.875)and NFS with an AUC of 0.964 (95% CI:0.942-0.986) demonstrated high diagnostic accuracy for fibrosis, while HSI with an AUC of 0.847 (95% CI:0.803-0.890) and FLI with an AUC of 0.835 (95% CI:0.789-0.881) effectively identified hepatic steatosis. The HSI (38.31 ± 6.93) and FLI (68.78 ± 29.98) placed patients in the high probability category for liver steatosis, while the FIB-4 (1.94 ± 0.81) and NFS (0.56 ± 1.24) scores indicated moderate fibrosis risk. Ultrasound findings corroborated these results, with 80.58% of patients presenting with mild to moderate steatosis. Higher BMI, increased waist circumference, elevated liver function markers (elevated ALT, AST, GGT, and albumin), higher lipid profile, and poor glycemic control (HbA1c) were key predictors of MAFLD.</p><p><strong>Conclusions: </strong>Non-invasive indices alongside ultrasound support screening efforts to detect MAFLD in T2DM patients early, offering opportunities for timely management and prevention of disease progression.</p>","PeriodicalId":9129,"journal":{"name":"BMC Gastroenterology","volume":"25 1","pages":"639"},"PeriodicalIF":2.5000,"publicationDate":"2025-09-15","publicationTypes":"Journal Article","fieldsOfStudy":null,"isOpenAccess":false,"openAccessPdf":"https://www.ncbi.nlm.nih.gov/pmc/articles/PMC12439400/pdf/","citationCount":"0","resultStr":"{\"title\":\"Screening for metabolic-associated fatty liver disease in type 2 diabetes patients using non-invasive scores and ultrasound: a cross-sectional study in Egypt.\",\"authors\":\"Atteyat A Semeya, Raafat S A Abdel Hafez, Suzan H M Ewais, Sahar M Mostafa, Ahmed Eldeeb, Rasha Elgamal, Amira A A Othman\",\"doi\":\"10.1186/s12876-025-03844-9\",\"DOIUrl\":null,\"url\":null,\"abstract\":\"<p><strong>Background: </strong>MAFLD is very common among T2DM patients and contributes significantly to both liver and systemic complications. This study aimed to evaluate the reliability of non-invasive scores and abdominal ultrasound for diagnosing and screening MAFLD in Egyptian T2DM patients.</p><p><strong>Methods: </strong>A cross-sectional study was conducted on 300 patients with T2DM who attended the Diabetes Outpatient Clinic at Benha Teaching Hospital. Liver enzymes, non-invasive fibrosis (FIB-4 and NFS), and steatosis (HSI and FLI) indices were evaluated alongside abdominal ultrasonography. Patients were stratified into two groups based on MAFLD diagnosis and assessed for disease presence and severity predictors using logistic regression models.</p><p><strong>Results: </strong>MAFLD prevalence was 46.33%. FIB-4 with an AUC of 0.826 (95% CI:0.778-0.875)and NFS with an AUC of 0.964 (95% CI:0.942-0.986) demonstrated high diagnostic accuracy for fibrosis, while HSI with an AUC of 0.847 (95% CI:0.803-0.890) and FLI with an AUC of 0.835 (95% CI:0.789-0.881) effectively identified hepatic steatosis. The HSI (38.31 ± 6.93) and FLI (68.78 ± 29.98) placed patients in the high probability category for liver steatosis, while the FIB-4 (1.94 ± 0.81) and NFS (0.56 ± 1.24) scores indicated moderate fibrosis risk. Ultrasound findings corroborated these results, with 80.58% of patients presenting with mild to moderate steatosis. Higher BMI, increased waist circumference, elevated liver function markers (elevated ALT, AST, GGT, and albumin), higher lipid profile, and poor glycemic control (HbA1c) were key predictors of MAFLD.</p><p><strong>Conclusions: </strong>Non-invasive indices alongside ultrasound support screening efforts to detect MAFLD in T2DM patients early, offering opportunities for timely management and prevention of disease progression.</p>\",\"PeriodicalId\":9129,\"journal\":{\"name\":\"BMC Gastroenterology\",\"volume\":\"25 1\",\"pages\":\"639\"},\"PeriodicalIF\":2.5000,\"publicationDate\":\"2025-09-15\",\"publicationTypes\":\"Journal Article\",\"fieldsOfStudy\":null,\"isOpenAccess\":false,\"openAccessPdf\":\"https://www.ncbi.nlm.nih.gov/pmc/articles/PMC12439400/pdf/\",\"citationCount\":\"0\",\"resultStr\":null,\"platform\":\"Semanticscholar\",\"paperid\":null,\"PeriodicalName\":\"BMC Gastroenterology\",\"FirstCategoryId\":\"3\",\"ListUrlMain\":\"https://doi.org/10.1186/s12876-025-03844-9\",\"RegionNum\":3,\"RegionCategory\":\"医学\",\"ArticlePicture\":[],\"TitleCN\":null,\"AbstractTextCN\":null,\"PMCID\":null,\"EPubDate\":\"\",\"PubModel\":\"\",\"JCR\":\"Q2\",\"JCRName\":\"GASTROENTEROLOGY & HEPATOLOGY\",\"Score\":null,\"Total\":0}","platform":"Semanticscholar","paperid":null,"PeriodicalName":"BMC Gastroenterology","FirstCategoryId":"3","ListUrlMain":"https://doi.org/10.1186/s12876-025-03844-9","RegionNum":3,"RegionCategory":"医学","ArticlePicture":[],"TitleCN":null,"AbstractTextCN":null,"PMCID":null,"EPubDate":"","PubModel":"","JCR":"Q2","JCRName":"GASTROENTEROLOGY & HEPATOLOGY","Score":null,"Total":0}
引用次数: 0

摘要

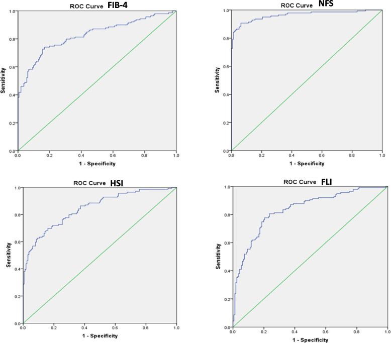
背景:MAFLD在T2DM患者中非常常见,对肝脏和全身并发症都有重要影响。本研究旨在评估无创评分和腹部超声诊断和筛查埃及T2DM患者MAFLD的可靠性。方法:对在本哈教学医院糖尿病门诊就诊的300例2型糖尿病患者进行横断面研究。肝酶、非侵袭性纤维化(FIB-4和NFS)和脂肪变性(HSI和FLI)指标与腹部超声检查一起评估。根据MAFLD诊断将患者分为两组,并使用逻辑回归模型评估疾病存在和严重程度预测因子。结果:MAFLD患病率为46.33%。FIB-4的AUC为0.826 (95% CI:0.778-0.875), NFS的AUC为0.964 (95% CI:0.942-0.986),显示了对纤维化的高诊断准确性,而HSI的AUC为0.847 (95% CI:0.803-0.890), FLI的AUC为0.835 (95% CI:0.789-0.881)有效地诊断了肝脏脂肪变性。HSI(38.31±6.93)和FLI(68.78±29.98)评分将患者列为肝脂肪变性的高概率类别,而FIB-4(1.94±0.81)和NFS(0.56±1.24)评分显示中度纤维化风险。超声检查结果证实了这些结果,80.58%的患者表现为轻度至中度脂肪变性。BMI升高、腰围增加、肝功能指标升高(ALT、AST、GGT和白蛋白升高)、血脂升高和血糖控制不良(HbA1c)是MAFLD的关键预测因素。结论:非侵入性指标和超声支持早期筛查T2DM患者的MAFLD,为及时管理和预防疾病进展提供了机会。
本文章由计算机程序翻译,如有差异,请以英文原文为准。

Screening for metabolic-associated fatty liver disease in type 2 diabetes patients using non-invasive scores and ultrasound: a cross-sectional study in Egypt.

Screening for metabolic-associated fatty liver disease in type 2 diabetes patients using non-invasive scores and ultrasound: a cross-sectional study in Egypt.

Screening for metabolic-associated fatty liver disease in type 2 diabetes patients using non-invasive scores and ultrasound: a cross-sectional study in Egypt.

Screening for metabolic-associated fatty liver disease in type 2 diabetes patients using non-invasive scores and ultrasound: a cross-sectional study in Egypt.

Background: MAFLD is very common among T2DM patients and contributes significantly to both liver and systemic complications. This study aimed to evaluate the reliability of non-invasive scores and abdominal ultrasound for diagnosing and screening MAFLD in Egyptian T2DM patients.

Methods: A cross-sectional study was conducted on 300 patients with T2DM who attended the Diabetes Outpatient Clinic at Benha Teaching Hospital. Liver enzymes, non-invasive fibrosis (FIB-4 and NFS), and steatosis (HSI and FLI) indices were evaluated alongside abdominal ultrasonography. Patients were stratified into two groups based on MAFLD diagnosis and assessed for disease presence and severity predictors using logistic regression models.

Results: MAFLD prevalence was 46.33%. FIB-4 with an AUC of 0.826 (95% CI:0.778-0.875)and NFS with an AUC of 0.964 (95% CI:0.942-0.986) demonstrated high diagnostic accuracy for fibrosis, while HSI with an AUC of 0.847 (95% CI:0.803-0.890) and FLI with an AUC of 0.835 (95% CI:0.789-0.881) effectively identified hepatic steatosis. The HSI (38.31 ± 6.93) and FLI (68.78 ± 29.98) placed patients in the high probability category for liver steatosis, while the FIB-4 (1.94 ± 0.81) and NFS (0.56 ± 1.24) scores indicated moderate fibrosis risk. Ultrasound findings corroborated these results, with 80.58% of patients presenting with mild to moderate steatosis. Higher BMI, increased waist circumference, elevated liver function markers (elevated ALT, AST, GGT, and albumin), higher lipid profile, and poor glycemic control (HbA1c) were key predictors of MAFLD.

Conclusions: Non-invasive indices alongside ultrasound support screening efforts to detect MAFLD in T2DM patients early, offering opportunities for timely management and prevention of disease progression.

求助全文
通过发布文献求助,成功后即可免费获取论文全文。 去求助
来源期刊
BMC Gastroenterology
BMC Gastroenterology 医学-胃肠肝病学
CiteScore
4.20
自引率
0.00%
发文量
465
审稿时长
6 months
期刊介绍: BMC Gastroenterology is an open access, peer-reviewed journal that considers articles on all aspects of the prevention, diagnosis and management of gastrointestinal and hepatobiliary disorders, as well as related molecular genetics, pathophysiology, and epidemiology.
×
引用
GB/T 7714-2015
复制
MLA
复制
APA
复制
导出至
BibTeX EndNote RefMan NoteFirst NoteExpress
×
提示
您的信息不完整,为了账户安全,请先补充。
现在去补充
×
提示
您因"违规操作"
具体请查看互助需知
我知道了
×
提示
确定
请完成安全验证×
copy
已复制链接
快去分享给好友吧!
我知道了
右上角分享
点击右上角分享
0
联系我们:info@booksci.cn Book学术提供免费学术资源搜索服务,方便国内外学者检索中英文文献。致力于提供最便捷和优质的服务体验。 Copyright © 2023 布克学术 All rights reserved.
京ICP备2023020795号-1
ghs 京公网安备 11010802042870号
Book学术文献互助
Book学术文献互助群
群 号:604180095
Book学术官方微信