基于盆腔微生物群失调的卵巢储备下降预测框架的发展。

IF 5.9 Q1 MEDICINE, RESEARCH & EXPERIMENTAL
The EPMA journal Pub Date : 2025-08-09 eCollection Date: 2025-09-01 DOI:10.1007/s13167-025-00417-4
Jie Luo, Lili Cao, Junnan Li, Tao Zhang, Ketan Chu, Wenxian Xu, Zaigui Wu, Wanting Shen, Jianhong Zhou, Chanyuan Li
{"title":"基于盆腔微生物群失调的卵巢储备下降预测框架的发展。","authors":"Jie Luo, Lili Cao, Junnan Li, Tao Zhang, Ketan Chu, Wenxian Xu, Zaigui Wu, Wanting Shen, Jianhong Zhou, Chanyuan Li","doi":"10.1007/s13167-025-00417-4","DOIUrl":null,"url":null,"abstract":"<p><strong>Background: </strong>Diminished ovarian reserve (DOR) is increasingly recognized as a multifactorial condition, not solely related to aging. Emerging evidence suggests that environmental and biological factors, including the pelvic microbiota, may influence ovarian function across different age groups. In this study, we examined the association between pelvic microbiota dysbiosis and DOR, with the broader goal of identifying early microbiota-based markers to support predictive diagnosis, preventive strategies, and personalized reproductive care.</p><p><strong>Methods: </strong>Ascitic fluid samples were collected from women with normal ovarian reserve and those diagnosed with DOR. Microbial profiling was performed using 16S ribosomal RNA (rRNA) gene sequencing to compare the composition and diversity of the pelvic microbiota between the two groups. A multivariable predictive model was constructed by combining key microbial genera with clinical indicators such as body mass index (BMI), aiming to support early risk estimation of DOR.</p><p><strong>Results: </strong>Microbial analysis revealed a significantly higher abundance of <i>Capnocytophaga</i> in the DOR group compared to controls, suggesting its potential role as a microbial marker of diminished ovarian reserve. The predictive model integrating microbial and clinical data demonstrated moderate accuracy, with an area under the curve (AUC) of 0.88 ± 0.16.</p><p><strong>Conclusions: </strong>Women with a BMI ≥ 24.0 face an increased risk of ovarian function decline. If pelvic microbiota profiling further reveals dysbiosis, particularly <i>Capnocytophaga</i> enrichment, early microbial screening and individualized probiotic treatment with <i>Lactobacillus</i> or <i>Bifidobacterium</i> may be warranted. This strategy embodies the core principles of predictive, preventive, and personalized medicine (PPPM/3PM).</p>","PeriodicalId":94358,"journal":{"name":"The EPMA journal","volume":"16 3","pages":"589-601"},"PeriodicalIF":5.9000,"publicationDate":"2025-08-09","publicationTypes":"Journal Article","fieldsOfStudy":null,"isOpenAccess":false,"openAccessPdf":"https://www.ncbi.nlm.nih.gov/pmc/articles/PMC12423008/pdf/","citationCount":"0","resultStr":"{\"title\":\"Development of a predictive framework for ovarian reserve decline based on pelvic microbiota dysbiosis.\",\"authors\":\"Jie Luo, Lili Cao, Junnan Li, Tao Zhang, Ketan Chu, Wenxian Xu, Zaigui Wu, Wanting Shen, Jianhong Zhou, Chanyuan Li\",\"doi\":\"10.1007/s13167-025-00417-4\",\"DOIUrl\":null,\"url\":null,\"abstract\":\"<p><strong>Background: </strong>Diminished ovarian reserve (DOR) is increasingly recognized as a multifactorial condition, not solely related to aging. Emerging evidence suggests that environmental and biological factors, including the pelvic microbiota, may influence ovarian function across different age groups. In this study, we examined the association between pelvic microbiota dysbiosis and DOR, with the broader goal of identifying early microbiota-based markers to support predictive diagnosis, preventive strategies, and personalized reproductive care.</p><p><strong>Methods: </strong>Ascitic fluid samples were collected from women with normal ovarian reserve and those diagnosed with DOR. Microbial profiling was performed using 16S ribosomal RNA (rRNA) gene sequencing to compare the composition and diversity of the pelvic microbiota between the two groups. A multivariable predictive model was constructed by combining key microbial genera with clinical indicators such as body mass index (BMI), aiming to support early risk estimation of DOR.</p><p><strong>Results: </strong>Microbial analysis revealed a significantly higher abundance of <i>Capnocytophaga</i> in the DOR group compared to controls, suggesting its potential role as a microbial marker of diminished ovarian reserve. The predictive model integrating microbial and clinical data demonstrated moderate accuracy, with an area under the curve (AUC) of 0.88 ± 0.16.</p><p><strong>Conclusions: </strong>Women with a BMI ≥ 24.0 face an increased risk of ovarian function decline. If pelvic microbiota profiling further reveals dysbiosis, particularly <i>Capnocytophaga</i> enrichment, early microbial screening and individualized probiotic treatment with <i>Lactobacillus</i> or <i>Bifidobacterium</i> may be warranted. This strategy embodies the core principles of predictive, preventive, and personalized medicine (PPPM/3PM).</p>\",\"PeriodicalId\":94358,\"journal\":{\"name\":\"The EPMA journal\",\"volume\":\"16 3\",\"pages\":\"589-601\"},\"PeriodicalIF\":5.9000,\"publicationDate\":\"2025-08-09\",\"publicationTypes\":\"Journal Article\",\"fieldsOfStudy\":null,\"isOpenAccess\":false,\"openAccessPdf\":\"https://www.ncbi.nlm.nih.gov/pmc/articles/PMC12423008/pdf/\",\"citationCount\":\"0\",\"resultStr\":null,\"platform\":\"Semanticscholar\",\"paperid\":null,\"PeriodicalName\":\"The EPMA journal\",\"FirstCategoryId\":\"1085\",\"ListUrlMain\":\"https://doi.org/10.1007/s13167-025-00417-4\",\"RegionNum\":0,\"RegionCategory\":null,\"ArticlePicture\":[],\"TitleCN\":null,\"AbstractTextCN\":null,\"PMCID\":null,\"EPubDate\":\"2025/9/1 0:00:00\",\"PubModel\":\"eCollection\",\"JCR\":\"Q1\",\"JCRName\":\"MEDICINE, RESEARCH & EXPERIMENTAL\",\"Score\":null,\"Total\":0}","platform":"Semanticscholar","paperid":null,"PeriodicalName":"The EPMA journal","FirstCategoryId":"1085","ListUrlMain":"https://doi.org/10.1007/s13167-025-00417-4","RegionNum":0,"RegionCategory":null,"ArticlePicture":[],"TitleCN":null,"AbstractTextCN":null,"PMCID":null,"EPubDate":"2025/9/1 0:00:00","PubModel":"eCollection","JCR":"Q1","JCRName":"MEDICINE, RESEARCH & EXPERIMENTAL","Score":null,"Total":0}
引用次数: 0

摘要

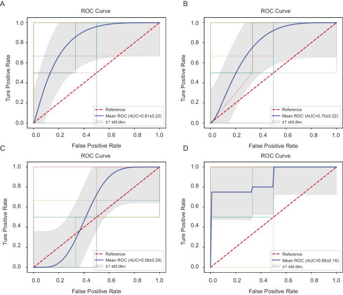
背景:卵巢储备功能减退(DOR)越来越被认为是一种多因素的疾病,而不仅仅与衰老有关。新出现的证据表明,环境和生物因素,包括盆腔微生物群,可能影响不同年龄组的卵巢功能。在这项研究中,我们研究了盆腔微生物群失调与DOR之间的关系,其更广泛的目标是确定早期基于微生物群的标志物,以支持预测性诊断、预防策略和个性化生殖保健。方法:收集卵巢储备正常及DOR患者的腹水标本。采用16S核糖体RNA (rRNA)基因测序进行微生物谱分析,比较两组患者盆腔微生物群的组成和多样性。将关键微生物属与身体质量指数(BMI)等临床指标相结合,构建多变量预测模型,为DOR的早期风险评估提供支持。结果:微生物分析显示,与对照组相比,DOR组的Capnocytophaga丰度明显更高,这表明它可能是卵巢储备减少的微生物标志物。整合微生物和临床数据的预测模型具有中等准确度,曲线下面积(AUC)为0.88±0.16。结论:BMI≥24.0的女性卵巢功能下降的风险增加。如果盆腔菌群分析进一步显示生态失调,特别是碳吞噬菌富集,早期微生物筛查和个体化益生菌治疗乳杆菌或双歧杆菌可能是必要的。这一战略体现了预测性、预防性和个性化医疗(PPPM/3PM)的核心原则。
本文章由计算机程序翻译,如有差异,请以英文原文为准。

Development of a predictive framework for ovarian reserve decline based on pelvic microbiota dysbiosis.

Development of a predictive framework for ovarian reserve decline based on pelvic microbiota dysbiosis.

Development of a predictive framework for ovarian reserve decline based on pelvic microbiota dysbiosis.

Development of a predictive framework for ovarian reserve decline based on pelvic microbiota dysbiosis.

Background: Diminished ovarian reserve (DOR) is increasingly recognized as a multifactorial condition, not solely related to aging. Emerging evidence suggests that environmental and biological factors, including the pelvic microbiota, may influence ovarian function across different age groups. In this study, we examined the association between pelvic microbiota dysbiosis and DOR, with the broader goal of identifying early microbiota-based markers to support predictive diagnosis, preventive strategies, and personalized reproductive care.

Methods: Ascitic fluid samples were collected from women with normal ovarian reserve and those diagnosed with DOR. Microbial profiling was performed using 16S ribosomal RNA (rRNA) gene sequencing to compare the composition and diversity of the pelvic microbiota between the two groups. A multivariable predictive model was constructed by combining key microbial genera with clinical indicators such as body mass index (BMI), aiming to support early risk estimation of DOR.

Results: Microbial analysis revealed a significantly higher abundance of Capnocytophaga in the DOR group compared to controls, suggesting its potential role as a microbial marker of diminished ovarian reserve. The predictive model integrating microbial and clinical data demonstrated moderate accuracy, with an area under the curve (AUC) of 0.88 ± 0.16.

Conclusions: Women with a BMI ≥ 24.0 face an increased risk of ovarian function decline. If pelvic microbiota profiling further reveals dysbiosis, particularly Capnocytophaga enrichment, early microbial screening and individualized probiotic treatment with Lactobacillus or Bifidobacterium may be warranted. This strategy embodies the core principles of predictive, preventive, and personalized medicine (PPPM/3PM).

求助全文
通过发布文献求助,成功后即可免费获取论文全文。 去求助
来源期刊
CiteScore
12.50
自引率
0.00%
发文量
0
×
引用
GB/T 7714-2015
复制
MLA
复制
APA
复制
导出至
BibTeX EndNote RefMan NoteFirst NoteExpress
×
提示
您的信息不完整,为了账户安全,请先补充。
现在去补充
×
提示
您因"违规操作"
具体请查看互助需知
我知道了
×
提示
确定
请完成安全验证×
copy
已复制链接
快去分享给好友吧!
我知道了
右上角分享
点击右上角分享
0
联系我们:info@booksci.cn Book学术提供免费学术资源搜索服务,方便国内外学者检索中英文文献。致力于提供最便捷和优质的服务体验。 Copyright © 2023 布克学术 All rights reserved.
京ICP备2023020795号-1
ghs 京公网安备 11010802042870号
Book学术文献互助
Book学术文献互助群
群 号:604180095
Book学术官方微信