利用机器学习整合尿视黄醇结合蛋白和遗传标记早期预测他克莫司肾毒性。

IF 1.7 4区 医学 Q2 PEDIATRICS
Translational pediatrics Pub Date : 2025-08-31 Epub Date: 2025-08-25 DOI:10.21037/tp-2025-127
Yousi Miao, Xiujuan Chen, Ping Xie, Yemei Liang, Yuanyi Wei, Houliang Deng, Qiongbo Huang, Haojie Qiu, Huiyi Li, Shi Zhou, Huiying Liang, Min Huang, Jiali Li, Xia Gao, Xiaolan Mo
{"title":"利用机器学习整合尿视黄醇结合蛋白和遗传标记早期预测他克莫司肾毒性。","authors":"Yousi Miao, Xiujuan Chen, Ping Xie, Yemei Liang, Yuanyi Wei, Houliang Deng, Qiongbo Huang, Haojie Qiu, Huiyi Li, Shi Zhou, Huiying Liang, Min Huang, Jiali Li, Xia Gao, Xiaolan Mo","doi":"10.21037/tp-2025-127","DOIUrl":null,"url":null,"abstract":"<p><strong>Background: </strong>The use of tacrolimus (TAC) in clinical settings is hindered by its nephrotoxic effects, which can vary significantly among individuals. Urine retinol-binding protein (RP), as a novel biochemical marker, is a potential indicator for early detection of renal tubular injury caused by TAC. The objective was to develop and validate a machine learning model that combines clinical features with genetic markers for predicting TAC nephrotoxicity in children with nephrotic syndrome (NS).</p><p><strong>Methods: </strong>A retrospective cohort of 203 children diagnosed with NS who were admitted between June 2013 and December 2018 was used for model development, while 12 children were prospectively recruited for external validation. The model incorporated 38 clinical features and 80 genetic variables, with changes in urine RP levels pre- and post-TAC administration indicating renal tubular toxicity. Five machine learning algorithms were employed: Extra Random Trees (ET), Gradient Boosting Decision Tree (GBDT), random forests (RF), and eXtreme Gradient Boosting (XGBoost), and logistic regression (LR).</p><p><strong>Results: </strong>The LR model, including six genetic markers (<i>CYP3A5</i>*3 rs776746_*3/*3, <i>NFATC1</i> rs1660144_AA, <i>NFKB1</i> rs230526_AG, <i>NFKBIA</i> rs696_TC, <i>CD2AP</i> rs12664637_CT and <i>PLCE1</i> rs2274223_AG), exhibited the best performance with a sensitivity of 78.6%, specificity of 63.8%, accuracy of 67.2%, and area under the curve (AUC) of 76.1%.</p><p><strong>Conclusions: </strong>By employing RP as a marker of renal toxicity, we established and validated the renal tubular toxicity prediction model for the use of TAC using machine learning incorporating genetic factors of NS patients. This model allows physicians to evaluate the risk of nephrotoxic effects and adjust treatment plans accordingly to prevent kidney injury.</p>","PeriodicalId":23294,"journal":{"name":"Translational pediatrics","volume":"14 8","pages":"1873-1887"},"PeriodicalIF":1.7000,"publicationDate":"2025-08-31","publicationTypes":"Journal Article","fieldsOfStudy":null,"isOpenAccess":false,"openAccessPdf":"https://www.ncbi.nlm.nih.gov/pmc/articles/PMC12433094/pdf/","citationCount":"0","resultStr":"{\"title\":\"Integration of urine retinol-binding protein and genetic markers for early prediction of tacrolimus nephrotoxicity using machine learning.\",\"authors\":\"Yousi Miao, Xiujuan Chen, Ping Xie, Yemei Liang, Yuanyi Wei, Houliang Deng, Qiongbo Huang, Haojie Qiu, Huiyi Li, Shi Zhou, Huiying Liang, Min Huang, Jiali Li, Xia Gao, Xiaolan Mo\",\"doi\":\"10.21037/tp-2025-127\",\"DOIUrl\":null,\"url\":null,\"abstract\":\"<p><strong>Background: </strong>The use of tacrolimus (TAC) in clinical settings is hindered by its nephrotoxic effects, which can vary significantly among individuals. Urine retinol-binding protein (RP), as a novel biochemical marker, is a potential indicator for early detection of renal tubular injury caused by TAC. The objective was to develop and validate a machine learning model that combines clinical features with genetic markers for predicting TAC nephrotoxicity in children with nephrotic syndrome (NS).</p><p><strong>Methods: </strong>A retrospective cohort of 203 children diagnosed with NS who were admitted between June 2013 and December 2018 was used for model development, while 12 children were prospectively recruited for external validation. The model incorporated 38 clinical features and 80 genetic variables, with changes in urine RP levels pre- and post-TAC administration indicating renal tubular toxicity. Five machine learning algorithms were employed: Extra Random Trees (ET), Gradient Boosting Decision Tree (GBDT), random forests (RF), and eXtreme Gradient Boosting (XGBoost), and logistic regression (LR).</p><p><strong>Results: </strong>The LR model, including six genetic markers (<i>CYP3A5</i>*3 rs776746_*3/*3, <i>NFATC1</i> rs1660144_AA, <i>NFKB1</i> rs230526_AG, <i>NFKBIA</i> rs696_TC, <i>CD2AP</i> rs12664637_CT and <i>PLCE1</i> rs2274223_AG), exhibited the best performance with a sensitivity of 78.6%, specificity of 63.8%, accuracy of 67.2%, and area under the curve (AUC) of 76.1%.</p><p><strong>Conclusions: </strong>By employing RP as a marker of renal toxicity, we established and validated the renal tubular toxicity prediction model for the use of TAC using machine learning incorporating genetic factors of NS patients. This model allows physicians to evaluate the risk of nephrotoxic effects and adjust treatment plans accordingly to prevent kidney injury.</p>\",\"PeriodicalId\":23294,\"journal\":{\"name\":\"Translational pediatrics\",\"volume\":\"14 8\",\"pages\":\"1873-1887\"},\"PeriodicalIF\":1.7000,\"publicationDate\":\"2025-08-31\",\"publicationTypes\":\"Journal Article\",\"fieldsOfStudy\":null,\"isOpenAccess\":false,\"openAccessPdf\":\"https://www.ncbi.nlm.nih.gov/pmc/articles/PMC12433094/pdf/\",\"citationCount\":\"0\",\"resultStr\":null,\"platform\":\"Semanticscholar\",\"paperid\":null,\"PeriodicalName\":\"Translational pediatrics\",\"FirstCategoryId\":\"3\",\"ListUrlMain\":\"https://doi.org/10.21037/tp-2025-127\",\"RegionNum\":4,\"RegionCategory\":\"医学\",\"ArticlePicture\":[],\"TitleCN\":null,\"AbstractTextCN\":null,\"PMCID\":null,\"EPubDate\":\"2025/8/25 0:00:00\",\"PubModel\":\"Epub\",\"JCR\":\"Q2\",\"JCRName\":\"PEDIATRICS\",\"Score\":null,\"Total\":0}","platform":"Semanticscholar","paperid":null,"PeriodicalName":"Translational pediatrics","FirstCategoryId":"3","ListUrlMain":"https://doi.org/10.21037/tp-2025-127","RegionNum":4,"RegionCategory":"医学","ArticlePicture":[],"TitleCN":null,"AbstractTextCN":null,"PMCID":null,"EPubDate":"2025/8/25 0:00:00","PubModel":"Epub","JCR":"Q2","JCRName":"PEDIATRICS","Score":null,"Total":0}
引用次数: 0

摘要

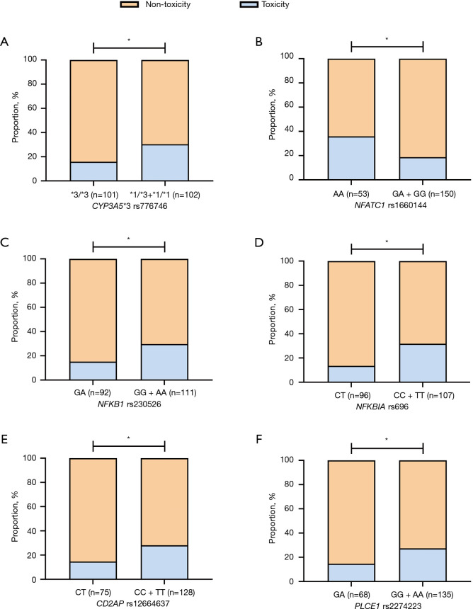
背景:他克莫司(TAC)的临床应用受到其肾毒性作用的阻碍,其肾毒性因人而异。尿视黄醇结合蛋白(retinol binding protein, RP)作为一种新的生化标志物,是早期检测TAC所致肾小管损伤的潜在指标。目的是开发和验证一种机器学习模型,该模型将临床特征与遗传标记相结合,用于预测肾病综合征(NS)儿童的TAC肾毒性。方法:对2013年6月至2018年12月期间入院的203名确诊为NS的儿童进行回顾性队列研究,用于模型开发,同时前瞻性招募12名儿童进行外部验证。该模型纳入了38个临床特征和80个遗传变量,tac给药前后尿RP水平的变化表明肾小管毒性。采用了五种机器学习算法:额外随机树(ET)、梯度增强决策树(GBDT)、随机森林(RF)、极端梯度增强(XGBoost)和逻辑回归(LR)。结果:包含CYP3A5*3 rs776746_*3/*3、NFATC1 rs1660144_AA、NFKB1 rs230526_AG、NFKBIA rs696_TC、CD2AP rs12664637_CT和PLCE1 rs2274223_AG 6个遗传标记的LR模型表现最佳,灵敏度为78.6%,特异性为63.8%,准确率为67.2%,曲线下面积(AUC)为76.1%。结论:通过RP作为肾毒性标志物,我们建立并验证了结合NS患者遗传因素的TAC使用的肾小管毒性预测模型。该模型允许医生评估肾毒性作用的风险,并相应地调整治疗计划,以防止肾损伤。
本文章由计算机程序翻译,如有差异,请以英文原文为准。

Integration of urine retinol-binding protein and genetic markers for early prediction of tacrolimus nephrotoxicity using machine learning.

Integration of urine retinol-binding protein and genetic markers for early prediction of tacrolimus nephrotoxicity using machine learning.

Integration of urine retinol-binding protein and genetic markers for early prediction of tacrolimus nephrotoxicity using machine learning.

Integration of urine retinol-binding protein and genetic markers for early prediction of tacrolimus nephrotoxicity using machine learning.

Background: The use of tacrolimus (TAC) in clinical settings is hindered by its nephrotoxic effects, which can vary significantly among individuals. Urine retinol-binding protein (RP), as a novel biochemical marker, is a potential indicator for early detection of renal tubular injury caused by TAC. The objective was to develop and validate a machine learning model that combines clinical features with genetic markers for predicting TAC nephrotoxicity in children with nephrotic syndrome (NS).

Methods: A retrospective cohort of 203 children diagnosed with NS who were admitted between June 2013 and December 2018 was used for model development, while 12 children were prospectively recruited for external validation. The model incorporated 38 clinical features and 80 genetic variables, with changes in urine RP levels pre- and post-TAC administration indicating renal tubular toxicity. Five machine learning algorithms were employed: Extra Random Trees (ET), Gradient Boosting Decision Tree (GBDT), random forests (RF), and eXtreme Gradient Boosting (XGBoost), and logistic regression (LR).

Results: The LR model, including six genetic markers (CYP3A5*3 rs776746_*3/*3, NFATC1 rs1660144_AA, NFKB1 rs230526_AG, NFKBIA rs696_TC, CD2AP rs12664637_CT and PLCE1 rs2274223_AG), exhibited the best performance with a sensitivity of 78.6%, specificity of 63.8%, accuracy of 67.2%, and area under the curve (AUC) of 76.1%.

Conclusions: By employing RP as a marker of renal toxicity, we established and validated the renal tubular toxicity prediction model for the use of TAC using machine learning incorporating genetic factors of NS patients. This model allows physicians to evaluate the risk of nephrotoxic effects and adjust treatment plans accordingly to prevent kidney injury.

求助全文
通过发布文献求助,成功后即可免费获取论文全文。 去求助
来源期刊
Translational pediatrics
Translational pediatrics Medicine-Pediatrics, Perinatology and Child Health
CiteScore
4.50
自引率
5.00%
发文量
108
期刊介绍: Information not localized
×
引用
GB/T 7714-2015
复制
MLA
复制
APA
复制
导出至
BibTeX EndNote RefMan NoteFirst NoteExpress
×
提示
您的信息不完整,为了账户安全,请先补充。
现在去补充
×
提示
您因"违规操作"
具体请查看互助需知
我知道了
×
提示
确定
请完成安全验证×
copy
已复制链接
快去分享给好友吧!
我知道了
右上角分享
点击右上角分享
0
联系我们:info@booksci.cn Book学术提供免费学术资源搜索服务,方便国内外学者检索中英文文献。致力于提供最便捷和优质的服务体验。 Copyright © 2023 布克学术 All rights reserved.
京ICP备2023020795号-1
ghs 京公网安备 11010802042870号
Book学术文献互助
Book学术文献互助群
群 号:604180095
Book学术官方微信