ISG20L2通过NKX2-1调控在肺腺癌增殖和侵袭中的驱动作用

IF 1.7 4区 医学 Q4 ONCOLOGY
Translational cancer research Pub Date : 2025-08-31 Epub Date: 2025-08-27 DOI:10.21037/tcr-2025-1546
Xiaoming Fang, Xinyu Zhang, Ping Liu, Dan Yu, Andrzej Swierniak, Carl G Maki, Ruichen Gao, Ming Liu
{"title":"ISG20L2通过NKX2-1调控在肺腺癌增殖和侵袭中的驱动作用","authors":"Xiaoming Fang, Xinyu Zhang, Ping Liu, Dan Yu, Andrzej Swierniak, Carl G Maki, Ruichen Gao, Ming Liu","doi":"10.21037/tcr-2025-1546","DOIUrl":null,"url":null,"abstract":"<p><strong>Background: </strong>Interferon-stimulated 20-kDa exonuclease-like 2 (<i>ISG20L2</i>) is a gene that shows variable expression levels in lung adenocarcinoma (LUAD). Despite this, its role and expression in LUAD have not been well characterized. This study focused on analyzing the expression of <i>ISG20L2</i> in LUAD, its association with patient prognosis, and its potential regulatory influence on NK2 homeobox 1 (<i>NKX2-1</i>) in LUAD cells.</p><p><strong>Methods: </strong>We used The Cancer Genome Atlas (TCGA) database and immunohistochemistry to assess the expression of <i>ISG20L2</i>. Kaplan-Meier survival analysis was employed to determine the relationship between <i>ISG20L2</i> expression and prognosis in patients with LUAD. The diagnostic potential of <i>ISG20L2</i> in LUAD was evaluated through receiving operating characteristic curve analysis. The association between <i>ISG20L2</i> expression and clinicopathological features was analyzed with the Fisher exact test. Overexpression and depletion studies of <i>ISG20L2</i> were performed via transient transfection. The biological functions of <i>ISG20L2</i> in A549 cells, such as cell proliferation, apoptosis, migration, and invasion, were examined via Cell Counting Kit-8 (CCK-8), flow cytometry, and Transwell assays. Bioinformatics analysis suggested a link between <i>ISG20L2</i> and <i>NKX2-1</i>, which was subsequently confirmed through cytological experiments.</p><p><strong>Results: </strong>Our results demonstrated that <i>ISG20L2</i> was overexpressed in LUAD, and this overexpression was significantly correlated with poor prognosis. <i>In vitro</i> experiments further supported a positive association between <i>ISG20L2</i> expression and the proliferative, migratory, and invasive capabilities in A549 cells, with no notable effect on apoptosis. Functional assays confirmed that <i>ISG20L2</i> enhanced A549 cell proliferation and invasion by modulating <i>NKX2-1</i>.</p><p><strong>Conclusions: </strong><i>ISG20L2</i> promotes LUAD progression via <i>NKX2-1</i> regulation, implying the potential of the <i>ISG20L2/NKX2-1</i> axis as a candidate biomarker and therapeutic target in LUAD.</p>","PeriodicalId":23216,"journal":{"name":"Translational cancer research","volume":"14 8","pages":"5028-5044"},"PeriodicalIF":1.7000,"publicationDate":"2025-08-31","publicationTypes":"Journal Article","fieldsOfStudy":null,"isOpenAccess":false,"openAccessPdf":"https://www.ncbi.nlm.nih.gov/pmc/articles/PMC12432785/pdf/","citationCount":"0","resultStr":"{\"title\":\"<i>ISG20L2</i> as a driver in the proliferation and invasion of lung adenocarcinoma via <i>NKX2-1</i> regulation.\",\"authors\":\"Xiaoming Fang, Xinyu Zhang, Ping Liu, Dan Yu, Andrzej Swierniak, Carl G Maki, Ruichen Gao, Ming Liu\",\"doi\":\"10.21037/tcr-2025-1546\",\"DOIUrl\":null,\"url\":null,\"abstract\":\"<p><strong>Background: </strong>Interferon-stimulated 20-kDa exonuclease-like 2 (<i>ISG20L2</i>) is a gene that shows variable expression levels in lung adenocarcinoma (LUAD). Despite this, its role and expression in LUAD have not been well characterized. This study focused on analyzing the expression of <i>ISG20L2</i> in LUAD, its association with patient prognosis, and its potential regulatory influence on NK2 homeobox 1 (<i>NKX2-1</i>) in LUAD cells.</p><p><strong>Methods: </strong>We used The Cancer Genome Atlas (TCGA) database and immunohistochemistry to assess the expression of <i>ISG20L2</i>. Kaplan-Meier survival analysis was employed to determine the relationship between <i>ISG20L2</i> expression and prognosis in patients with LUAD. The diagnostic potential of <i>ISG20L2</i> in LUAD was evaluated through receiving operating characteristic curve analysis. The association between <i>ISG20L2</i> expression and clinicopathological features was analyzed with the Fisher exact test. Overexpression and depletion studies of <i>ISG20L2</i> were performed via transient transfection. The biological functions of <i>ISG20L2</i> in A549 cells, such as cell proliferation, apoptosis, migration, and invasion, were examined via Cell Counting Kit-8 (CCK-8), flow cytometry, and Transwell assays. Bioinformatics analysis suggested a link between <i>ISG20L2</i> and <i>NKX2-1</i>, which was subsequently confirmed through cytological experiments.</p><p><strong>Results: </strong>Our results demonstrated that <i>ISG20L2</i> was overexpressed in LUAD, and this overexpression was significantly correlated with poor prognosis. <i>In vitro</i> experiments further supported a positive association between <i>ISG20L2</i> expression and the proliferative, migratory, and invasive capabilities in A549 cells, with no notable effect on apoptosis. Functional assays confirmed that <i>ISG20L2</i> enhanced A549 cell proliferation and invasion by modulating <i>NKX2-1</i>.</p><p><strong>Conclusions: </strong><i>ISG20L2</i> promotes LUAD progression via <i>NKX2-1</i> regulation, implying the potential of the <i>ISG20L2/NKX2-1</i> axis as a candidate biomarker and therapeutic target in LUAD.</p>\",\"PeriodicalId\":23216,\"journal\":{\"name\":\"Translational cancer research\",\"volume\":\"14 8\",\"pages\":\"5028-5044\"},\"PeriodicalIF\":1.7000,\"publicationDate\":\"2025-08-31\",\"publicationTypes\":\"Journal Article\",\"fieldsOfStudy\":null,\"isOpenAccess\":false,\"openAccessPdf\":\"https://www.ncbi.nlm.nih.gov/pmc/articles/PMC12432785/pdf/\",\"citationCount\":\"0\",\"resultStr\":null,\"platform\":\"Semanticscholar\",\"paperid\":null,\"PeriodicalName\":\"Translational cancer research\",\"FirstCategoryId\":\"3\",\"ListUrlMain\":\"https://doi.org/10.21037/tcr-2025-1546\",\"RegionNum\":4,\"RegionCategory\":\"医学\",\"ArticlePicture\":[],\"TitleCN\":null,\"AbstractTextCN\":null,\"PMCID\":null,\"EPubDate\":\"2025/8/27 0:00:00\",\"PubModel\":\"Epub\",\"JCR\":\"Q4\",\"JCRName\":\"ONCOLOGY\",\"Score\":null,\"Total\":0}","platform":"Semanticscholar","paperid":null,"PeriodicalName":"Translational cancer research","FirstCategoryId":"3","ListUrlMain":"https://doi.org/10.21037/tcr-2025-1546","RegionNum":4,"RegionCategory":"医学","ArticlePicture":[],"TitleCN":null,"AbstractTextCN":null,"PMCID":null,"EPubDate":"2025/8/27 0:00:00","PubModel":"Epub","JCR":"Q4","JCRName":"ONCOLOGY","Score":null,"Total":0}
引用次数: 0

摘要

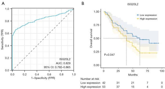
背景:干扰素刺激的20kda外切酶样2 (ISG20L2)是一个在肺腺癌(LUAD)中表达水平变化的基因。尽管如此,其在LUAD中的作用和表达尚未得到很好的表征。本研究重点分析ISG20L2在LUAD中的表达及其与患者预后的关系,以及其对LUAD细胞中NK2同源盒1 (NKX2-1)的潜在调控作用。方法:采用美国癌症基因组图谱(TCGA)数据库和免疫组化检测ISG20L2的表达。采用Kaplan-Meier生存分析确定ISG20L2表达与LUAD患者预后的关系。通过接收工作特征曲线分析,评价ISG20L2对LUAD的诊断潜力。采用Fisher精确检验分析ISG20L2表达与临床病理特征的关系。通过瞬时转染进行ISG20L2过表达和缺失研究。通过细胞计数试剂盒-8 (CCK-8)、流式细胞术和Transwell检测ISG20L2在A549细胞中的增殖、凋亡、迁移和侵袭等生物学功能。生物信息学分析表明ISG20L2与NKX2-1之间存在联系,随后通过细胞学实验证实了这一点。结果:我们的研究结果表明,ISG20L2在LUAD中过表达,且这种过表达与预后不良显著相关。体外实验进一步支持ISG20L2表达与A549细胞的增殖、迁移和侵袭能力呈正相关,对细胞凋亡无显著影响。功能实验证实ISG20L2通过调节NKX2-1增强A549细胞的增殖和侵袭。结论:ISG20L2通过调控NKX2-1促进LUAD进展,暗示ISG20L2/NKX2-1轴可能作为LUAD的候选生物标志物和治疗靶点。
本文章由计算机程序翻译,如有差异,请以英文原文为准。

<i>ISG20L2</i> as a driver in the proliferation and invasion of lung adenocarcinoma via <i>NKX2-1</i> regulation.

<i>ISG20L2</i> as a driver in the proliferation and invasion of lung adenocarcinoma via <i>NKX2-1</i> regulation.

<i>ISG20L2</i> as a driver in the proliferation and invasion of lung adenocarcinoma via <i>NKX2-1</i> regulation.

ISG20L2 as a driver in the proliferation and invasion of lung adenocarcinoma via NKX2-1 regulation.

Background: Interferon-stimulated 20-kDa exonuclease-like 2 (ISG20L2) is a gene that shows variable expression levels in lung adenocarcinoma (LUAD). Despite this, its role and expression in LUAD have not been well characterized. This study focused on analyzing the expression of ISG20L2 in LUAD, its association with patient prognosis, and its potential regulatory influence on NK2 homeobox 1 (NKX2-1) in LUAD cells.

Methods: We used The Cancer Genome Atlas (TCGA) database and immunohistochemistry to assess the expression of ISG20L2. Kaplan-Meier survival analysis was employed to determine the relationship between ISG20L2 expression and prognosis in patients with LUAD. The diagnostic potential of ISG20L2 in LUAD was evaluated through receiving operating characteristic curve analysis. The association between ISG20L2 expression and clinicopathological features was analyzed with the Fisher exact test. Overexpression and depletion studies of ISG20L2 were performed via transient transfection. The biological functions of ISG20L2 in A549 cells, such as cell proliferation, apoptosis, migration, and invasion, were examined via Cell Counting Kit-8 (CCK-8), flow cytometry, and Transwell assays. Bioinformatics analysis suggested a link between ISG20L2 and NKX2-1, which was subsequently confirmed through cytological experiments.

Results: Our results demonstrated that ISG20L2 was overexpressed in LUAD, and this overexpression was significantly correlated with poor prognosis. In vitro experiments further supported a positive association between ISG20L2 expression and the proliferative, migratory, and invasive capabilities in A549 cells, with no notable effect on apoptosis. Functional assays confirmed that ISG20L2 enhanced A549 cell proliferation and invasion by modulating NKX2-1.

Conclusions: ISG20L2 promotes LUAD progression via NKX2-1 regulation, implying the potential of the ISG20L2/NKX2-1 axis as a candidate biomarker and therapeutic target in LUAD.

求助全文
通过发布文献求助,成功后即可免费获取论文全文。 去求助
来源期刊
CiteScore
2.10
自引率
0.00%
发文量
252
期刊介绍: Translational Cancer Research (Transl Cancer Res TCR; Print ISSN: 2218-676X; Online ISSN 2219-6803; http://tcr.amegroups.com/) is an Open Access, peer-reviewed journal, indexed in Science Citation Index Expanded (SCIE). TCR publishes laboratory studies of novel therapeutic interventions as well as clinical trials which evaluate new treatment paradigms for cancer; results of novel research investigations which bridge the laboratory and clinical settings including risk assessment, cellular and molecular characterization, prevention, detection, diagnosis and treatment of human cancers with the overall goal of improving the clinical care of cancer patients. The focus of TCR is original, peer-reviewed, science-based research that successfully advances clinical medicine toward the goal of improving patients'' quality of life. The editors and an international advisory group of scientists and clinician-scientists as well as other experts will hold TCR articles to the high-quality standards. We accept Original Articles as well as Review Articles, Editorials and Brief Articles.
×
引用
GB/T 7714-2015
复制
MLA
复制
APA
复制
导出至
BibTeX EndNote RefMan NoteFirst NoteExpress
×
提示
您的信息不完整,为了账户安全,请先补充。
现在去补充
×
提示
您因"违规操作"
具体请查看互助需知
我知道了
×
提示
确定
请完成安全验证×
copy
已复制链接
快去分享给好友吧!
我知道了
右上角分享
点击右上角分享
0
联系我们:info@booksci.cn Book学术提供免费学术资源搜索服务,方便国内外学者检索中英文文献。致力于提供最便捷和优质的服务体验。 Copyright © 2023 布克学术 All rights reserved.
京ICP备2023020795号-1
ghs 京公网安备 11010802042870号
Book学术文献互助
Book学术文献互助群
群 号:604180095
Book学术官方微信