卵巢癌机械敏感离子通道相关分子亚型及关键基因的鉴定。

IF 1.7 4区 医学 Q4 ONCOLOGY
Translational cancer research Pub Date : 2025-08-31 Epub Date: 2025-08-26 DOI:10.21037/tcr-2025-1219
Lu Zhang, Li Wang, Min Wang, Kefei Peng, Huihui Chen, Xin Wang, Ling Zhou
{"title":"卵巢癌机械敏感离子通道相关分子亚型及关键基因的鉴定。","authors":"Lu Zhang, Li Wang, Min Wang, Kefei Peng, Huihui Chen, Xin Wang, Ling Zhou","doi":"10.21037/tcr-2025-1219","DOIUrl":null,"url":null,"abstract":"<p><strong>Background: </strong>Ovarian cancer (OC) is a significant health concern due to the complex nature of its causes, difficulties in early detection, and low 5-year survival rate. The function of mechanosensitive ion channel (MIC)-related prognostic gene signatures in OC is still not clearly defined. Our aim was to clarify the function of the MIC in OC.</p><p><strong>Methods: </strong>We created OC subtypes and a prognostic model based on MICs to forecast patient outcomes using RNA sequencing and clinical data from The Cancer Genome Atlas (TCGA) database.</p><p><strong>Results: </strong>In this study, the top 20 genes were identified based on their relevance scores and included <i>PIEZO1, SCN5A, KCNQ1, CFTR, PIEZO2, KCNMA1, ASIC2, CACNA1C, ASIC3, SCN1A, TRPV4, TRPV1, KCNN4, SCNN1B, SCNN1A, CACNA1B, SCNN1G, TRPM7, KCNK2</i>, and <i>TRPA1</i>. Patients were distinctly categorized into a high-risk group (cluster 1) and a low-risk group (cluster 2) based on genes related to MICs. Functional analysis revealed that the upregulated differentially expressed genes (DEGs) in cluster 1 were significantly enriched in pathways such as focal adhesion, axon guidance, proteoglycans in cancer, extracellular matrix (ECM)-receptor interaction, Wnt signaling pathway, Hippo signaling pathway, and thyroid hormone signaling pathway. Conversely, the downregulated DEGs in cluster 1 were predominantly enriched in pathways including oxidative phosphorylation, chemical carcinogenesis-reactive oxygen species, and nonalcoholic fatty liver disease. Gene Ontology (GO) analysis of the upregulated DEGs in cluster 1 indicated significant enrichment in biological pathways related to ECM organization, cell-substrate adhesion, and cell junction assembly. Conversely, the downregulated DEGs in cluster 1 were significantly enriched in pathways associated with oxidative phosphorylation, adenosine triphosphate metabolic processes, and cellular respiration. The estimation of immune scores revealed differences between the high- and low-risk groups. Using least absolute shrinkage and selection operator and Cox regression analyses, we identified a set of 20 genes linked to MICs in OC, from which three key genes-<i>PIEZO1</i>, <i>CACNA1C</i>, and <i>TRPV4</i>-were further selected. Single-cell RNA sequencing demonstrated that <i>CACNA1C</i> was expressed in fibroblasts and myofibroblasts, <i>PIEZO1</i> was expressed across all five cell subtypes, and <i>TRPV4</i> was expressed in fibroblasts and monocytes or macrophages.</p><p><strong>Conclusions: </strong>This study initially identified unique molecular subtypes and key genes for patients with OC from the novel angle of MICs.</p>","PeriodicalId":23216,"journal":{"name":"Translational cancer research","volume":"14 8","pages":"5166-5175"},"PeriodicalIF":1.7000,"publicationDate":"2025-08-31","publicationTypes":"Journal Article","fieldsOfStudy":null,"isOpenAccess":false,"openAccessPdf":"https://www.ncbi.nlm.nih.gov/pmc/articles/PMC12432766/pdf/","citationCount":"0","resultStr":"{\"title\":\"Identification of mechanosensitive ion channel-related molecular subtypes and key genes for ovarian cancer.\",\"authors\":\"Lu Zhang, Li Wang, Min Wang, Kefei Peng, Huihui Chen, Xin Wang, Ling Zhou\",\"doi\":\"10.21037/tcr-2025-1219\",\"DOIUrl\":null,\"url\":null,\"abstract\":\"<p><strong>Background: </strong>Ovarian cancer (OC) is a significant health concern due to the complex nature of its causes, difficulties in early detection, and low 5-year survival rate. The function of mechanosensitive ion channel (MIC)-related prognostic gene signatures in OC is still not clearly defined. Our aim was to clarify the function of the MIC in OC.</p><p><strong>Methods: </strong>We created OC subtypes and a prognostic model based on MICs to forecast patient outcomes using RNA sequencing and clinical data from The Cancer Genome Atlas (TCGA) database.</p><p><strong>Results: </strong>In this study, the top 20 genes were identified based on their relevance scores and included <i>PIEZO1, SCN5A, KCNQ1, CFTR, PIEZO2, KCNMA1, ASIC2, CACNA1C, ASIC3, SCN1A, TRPV4, TRPV1, KCNN4, SCNN1B, SCNN1A, CACNA1B, SCNN1G, TRPM7, KCNK2</i>, and <i>TRPA1</i>. Patients were distinctly categorized into a high-risk group (cluster 1) and a low-risk group (cluster 2) based on genes related to MICs. Functional analysis revealed that the upregulated differentially expressed genes (DEGs) in cluster 1 were significantly enriched in pathways such as focal adhesion, axon guidance, proteoglycans in cancer, extracellular matrix (ECM)-receptor interaction, Wnt signaling pathway, Hippo signaling pathway, and thyroid hormone signaling pathway. Conversely, the downregulated DEGs in cluster 1 were predominantly enriched in pathways including oxidative phosphorylation, chemical carcinogenesis-reactive oxygen species, and nonalcoholic fatty liver disease. Gene Ontology (GO) analysis of the upregulated DEGs in cluster 1 indicated significant enrichment in biological pathways related to ECM organization, cell-substrate adhesion, and cell junction assembly. Conversely, the downregulated DEGs in cluster 1 were significantly enriched in pathways associated with oxidative phosphorylation, adenosine triphosphate metabolic processes, and cellular respiration. The estimation of immune scores revealed differences between the high- and low-risk groups. Using least absolute shrinkage and selection operator and Cox regression analyses, we identified a set of 20 genes linked to MICs in OC, from which three key genes-<i>PIEZO1</i>, <i>CACNA1C</i>, and <i>TRPV4</i>-were further selected. Single-cell RNA sequencing demonstrated that <i>CACNA1C</i> was expressed in fibroblasts and myofibroblasts, <i>PIEZO1</i> was expressed across all five cell subtypes, and <i>TRPV4</i> was expressed in fibroblasts and monocytes or macrophages.</p><p><strong>Conclusions: </strong>This study initially identified unique molecular subtypes and key genes for patients with OC from the novel angle of MICs.</p>\",\"PeriodicalId\":23216,\"journal\":{\"name\":\"Translational cancer research\",\"volume\":\"14 8\",\"pages\":\"5166-5175\"},\"PeriodicalIF\":1.7000,\"publicationDate\":\"2025-08-31\",\"publicationTypes\":\"Journal Article\",\"fieldsOfStudy\":null,\"isOpenAccess\":false,\"openAccessPdf\":\"https://www.ncbi.nlm.nih.gov/pmc/articles/PMC12432766/pdf/\",\"citationCount\":\"0\",\"resultStr\":null,\"platform\":\"Semanticscholar\",\"paperid\":null,\"PeriodicalName\":\"Translational cancer research\",\"FirstCategoryId\":\"3\",\"ListUrlMain\":\"https://doi.org/10.21037/tcr-2025-1219\",\"RegionNum\":4,\"RegionCategory\":\"医学\",\"ArticlePicture\":[],\"TitleCN\":null,\"AbstractTextCN\":null,\"PMCID\":null,\"EPubDate\":\"2025/8/26 0:00:00\",\"PubModel\":\"Epub\",\"JCR\":\"Q4\",\"JCRName\":\"ONCOLOGY\",\"Score\":null,\"Total\":0}","platform":"Semanticscholar","paperid":null,"PeriodicalName":"Translational cancer research","FirstCategoryId":"3","ListUrlMain":"https://doi.org/10.21037/tcr-2025-1219","RegionNum":4,"RegionCategory":"医学","ArticlePicture":[],"TitleCN":null,"AbstractTextCN":null,"PMCID":null,"EPubDate":"2025/8/26 0:00:00","PubModel":"Epub","JCR":"Q4","JCRName":"ONCOLOGY","Score":null,"Total":0}
引用次数: 0

摘要

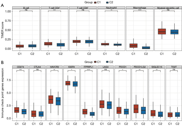
背景:卵巢癌(OC)由于其病因复杂,早期发现困难,5年生存率低,是一个重要的健康问题。机械敏感离子通道(MIC)相关的预后基因特征在OC中的作用仍未明确定义。我们的目的是阐明MIC在OC中的功能。方法:利用RNA测序和来自癌症基因组图谱(TCGA)数据库的临床数据,我们建立了基于mic的癌亚型和预后模型来预测患者的预后。结果:本研究根据相关性评分鉴定出排名前20位的基因,包括PIEZO1、SCN5A、KCNQ1、CFTR、PIEZO2、KCNMA1、ASIC2、CACNA1C、ASIC3、SCN1A、TRPV4、TRPV1、KCNN4、SCNN1B、SCNN1A、CACNA1B、SCNN1G、TRPM7、KCNK2和TRPA1。根据mic相关基因将患者明确分为高危组(第1类)和低危组(第2类)。功能分析显示,簇1中上调的差异表达基因(DEGs)在局灶黏附、轴突引导、肿瘤蛋白聚糖、细胞外基质(ECM)-受体相互作用、Wnt信号通路、Hippo信号通路和甲状腺激素信号通路等通路中显著富集。相反,簇1中下调的deg主要富集于氧化磷酸化、化学致癌-活性氧和非酒精性脂肪肝等途径。基因本体(Gene Ontology, GO)分析显示,在集群1中上调的deg在与ECM组织、细胞-底物粘附和细胞连接组装相关的生物途径中显著富集。相反,簇1中下调的deg在与氧化磷酸化、三磷酸腺苷代谢过程和细胞呼吸相关的途径中显著富集。免疫评分的估计揭示了高风险组和低风险组之间的差异。使用最小绝对收缩、选择算子和Cox回归分析,我们确定了一组20个与OC中MICs相关的基因,并从中进一步选择了三个关键基因——piezo1、CACNA1C和trpv4。单细胞RNA测序表明,CACNA1C在成纤维细胞和肌成纤维细胞中表达,PIEZO1在所有五种细胞亚型中表达,TRPV4在成纤维细胞和单核细胞或巨噬细胞中表达。结论:本研究从mic的新角度初步确定了OC患者独特的分子亚型和关键基因。
本文章由计算机程序翻译,如有差异,请以英文原文为准。

Identification of mechanosensitive ion channel-related molecular subtypes and key genes for ovarian cancer.

Identification of mechanosensitive ion channel-related molecular subtypes and key genes for ovarian cancer.

Identification of mechanosensitive ion channel-related molecular subtypes and key genes for ovarian cancer.

Identification of mechanosensitive ion channel-related molecular subtypes and key genes for ovarian cancer.

Background: Ovarian cancer (OC) is a significant health concern due to the complex nature of its causes, difficulties in early detection, and low 5-year survival rate. The function of mechanosensitive ion channel (MIC)-related prognostic gene signatures in OC is still not clearly defined. Our aim was to clarify the function of the MIC in OC.

Methods: We created OC subtypes and a prognostic model based on MICs to forecast patient outcomes using RNA sequencing and clinical data from The Cancer Genome Atlas (TCGA) database.

Results: In this study, the top 20 genes were identified based on their relevance scores and included PIEZO1, SCN5A, KCNQ1, CFTR, PIEZO2, KCNMA1, ASIC2, CACNA1C, ASIC3, SCN1A, TRPV4, TRPV1, KCNN4, SCNN1B, SCNN1A, CACNA1B, SCNN1G, TRPM7, KCNK2, and TRPA1. Patients were distinctly categorized into a high-risk group (cluster 1) and a low-risk group (cluster 2) based on genes related to MICs. Functional analysis revealed that the upregulated differentially expressed genes (DEGs) in cluster 1 were significantly enriched in pathways such as focal adhesion, axon guidance, proteoglycans in cancer, extracellular matrix (ECM)-receptor interaction, Wnt signaling pathway, Hippo signaling pathway, and thyroid hormone signaling pathway. Conversely, the downregulated DEGs in cluster 1 were predominantly enriched in pathways including oxidative phosphorylation, chemical carcinogenesis-reactive oxygen species, and nonalcoholic fatty liver disease. Gene Ontology (GO) analysis of the upregulated DEGs in cluster 1 indicated significant enrichment in biological pathways related to ECM organization, cell-substrate adhesion, and cell junction assembly. Conversely, the downregulated DEGs in cluster 1 were significantly enriched in pathways associated with oxidative phosphorylation, adenosine triphosphate metabolic processes, and cellular respiration. The estimation of immune scores revealed differences between the high- and low-risk groups. Using least absolute shrinkage and selection operator and Cox regression analyses, we identified a set of 20 genes linked to MICs in OC, from which three key genes-PIEZO1, CACNA1C, and TRPV4-were further selected. Single-cell RNA sequencing demonstrated that CACNA1C was expressed in fibroblasts and myofibroblasts, PIEZO1 was expressed across all five cell subtypes, and TRPV4 was expressed in fibroblasts and monocytes or macrophages.

Conclusions: This study initially identified unique molecular subtypes and key genes for patients with OC from the novel angle of MICs.

求助全文
通过发布文献求助,成功后即可免费获取论文全文。 去求助
来源期刊
CiteScore
2.10
自引率
0.00%
发文量
252
期刊介绍: Translational Cancer Research (Transl Cancer Res TCR; Print ISSN: 2218-676X; Online ISSN 2219-6803; http://tcr.amegroups.com/) is an Open Access, peer-reviewed journal, indexed in Science Citation Index Expanded (SCIE). TCR publishes laboratory studies of novel therapeutic interventions as well as clinical trials which evaluate new treatment paradigms for cancer; results of novel research investigations which bridge the laboratory and clinical settings including risk assessment, cellular and molecular characterization, prevention, detection, diagnosis and treatment of human cancers with the overall goal of improving the clinical care of cancer patients. The focus of TCR is original, peer-reviewed, science-based research that successfully advances clinical medicine toward the goal of improving patients'' quality of life. The editors and an international advisory group of scientists and clinician-scientists as well as other experts will hold TCR articles to the high-quality standards. We accept Original Articles as well as Review Articles, Editorials and Brief Articles.
×
引用
GB/T 7714-2015
复制
MLA
复制
APA
复制
导出至
BibTeX EndNote RefMan NoteFirst NoteExpress
×
提示
您的信息不完整,为了账户安全,请先补充。
现在去补充
×
提示
您因"违规操作"
具体请查看互助需知
我知道了
×
提示
确定
请完成安全验证×
copy
已复制链接
快去分享给好友吧!
我知道了
右上角分享
点击右上角分享
0
联系我们:info@booksci.cn Book学术提供免费学术资源搜索服务,方便国内外学者检索中英文文献。致力于提供最便捷和优质的服务体验。 Copyright © 2023 布克学术 All rights reserved.
京ICP备2023020795号-1
ghs 京公网安备 11010802042870号
Book学术文献互助
Book学术文献互助群
群 号:604180095
Book学术官方微信