脑胶质瘤患者急性放射性脑损伤及临床预测模型的建立:一项队列研究。

IF 1.7 4区 医学 Q4 ONCOLOGY
Translational cancer research Pub Date : 2025-08-31 Epub Date: 2025-08-13 DOI:10.21037/tcr-2025-800
Liang Liang, Qiangfeng Pi, Shuo Jiang, Jie Zhou, Lauren Singer, Li Cao
{"title":"脑胶质瘤患者急性放射性脑损伤及临床预测模型的建立:一项队列研究。","authors":"Liang Liang, Qiangfeng Pi, Shuo Jiang, Jie Zhou, Lauren Singer, Li Cao","doi":"10.21037/tcr-2025-800","DOIUrl":null,"url":null,"abstract":"<p><strong>Background: </strong>Glioma, which has a high degree of malignancy and mortality, is mainly treated by radiotherapy. Acute radiation-induced brain injury is one of the common complications of radiotherapy and can lead to brain herniation. Identifying risk of acute radiation-induced brain injury can facilitate the improvement of diagnostic and treatment strategies to ultimately improve patient outcomes. The purpose this study was to construct and validate a prediction model for acute radiation-induced brain injury in patients with glioma.</p><p><strong>Methods: </strong>The data from 420 patients with glioma admitted to the Nanxishan Hospital of Guangxi Zhuang Autonomous Region from January 2020 to December 2024 were retrospectively collected as the training set, while the data from 180 patients with glioma treated at the 940th Hospital of Joint Logistics Support Force of PLA during the same period were collected as the validation set. The differences in the clinical characteristics of patients with acute brain injury (n=112) and non-brain injury (n=308) in the training set were analyzed, as were the risk factors of acute radiation-induced brain injury. According to the relevant risk factors, a prediction model for acute radiation-induced brain injury was constructed and validated in the validation set.</p><p><strong>Results: </strong>Age, diabetes, size of gross tumor volume, radiation dose of gross tumor volume, and concurrent chemotherapy were independent risk factors for acute radiation-induced brain injury in patients with glioma, with the relative risks being 1.060 [95% confidence interval (CI): 1.030-1.091], 3.080 (95% CI: 1.384-6.852), 1.075 (95% CI: 1.049-1.100), 1.241 (95% CI: 1.176-1.310), and 3.951 (95% CI: 1.877-8.317), respectively. The area under the receiver operating characteristic (ROC) curve of the training set was 0.907 (95% CI: 0.875-0.939), and the area under curve of the validation set was 0.913 (95% CI: 0.861-0.965). The Hosmer-Lemeshow goodness-of-fit test was conducted on the model in the validation set, with a Chi-squared value of 5.135 and a P value of 0.743.</p><p><strong>Conclusions: </strong>Patients with glioma have a high incidence of acute radiation-induced brain injury during radiotherapy, which can lead to a poor prognosis. The model we developed demonstrated good efficacy and reliability for identifying risk of acute radiation-induced brain injury.</p>","PeriodicalId":23216,"journal":{"name":"Translational cancer research","volume":"14 8","pages":"5002-5011"},"PeriodicalIF":1.7000,"publicationDate":"2025-08-31","publicationTypes":"Journal Article","fieldsOfStudy":null,"isOpenAccess":false,"openAccessPdf":"https://www.ncbi.nlm.nih.gov/pmc/articles/PMC12432773/pdf/","citationCount":"0","resultStr":"{\"title\":\"Acute radiation-induced brain injury in patients with glioma and the construction of a clinical prediction model: a cohort study.\",\"authors\":\"Liang Liang, Qiangfeng Pi, Shuo Jiang, Jie Zhou, Lauren Singer, Li Cao\",\"doi\":\"10.21037/tcr-2025-800\",\"DOIUrl\":null,\"url\":null,\"abstract\":\"<p><strong>Background: </strong>Glioma, which has a high degree of malignancy and mortality, is mainly treated by radiotherapy. Acute radiation-induced brain injury is one of the common complications of radiotherapy and can lead to brain herniation. Identifying risk of acute radiation-induced brain injury can facilitate the improvement of diagnostic and treatment strategies to ultimately improve patient outcomes. The purpose this study was to construct and validate a prediction model for acute radiation-induced brain injury in patients with glioma.</p><p><strong>Methods: </strong>The data from 420 patients with glioma admitted to the Nanxishan Hospital of Guangxi Zhuang Autonomous Region from January 2020 to December 2024 were retrospectively collected as the training set, while the data from 180 patients with glioma treated at the 940th Hospital of Joint Logistics Support Force of PLA during the same period were collected as the validation set. The differences in the clinical characteristics of patients with acute brain injury (n=112) and non-brain injury (n=308) in the training set were analyzed, as were the risk factors of acute radiation-induced brain injury. According to the relevant risk factors, a prediction model for acute radiation-induced brain injury was constructed and validated in the validation set.</p><p><strong>Results: </strong>Age, diabetes, size of gross tumor volume, radiation dose of gross tumor volume, and concurrent chemotherapy were independent risk factors for acute radiation-induced brain injury in patients with glioma, with the relative risks being 1.060 [95% confidence interval (CI): 1.030-1.091], 3.080 (95% CI: 1.384-6.852), 1.075 (95% CI: 1.049-1.100), 1.241 (95% CI: 1.176-1.310), and 3.951 (95% CI: 1.877-8.317), respectively. The area under the receiver operating characteristic (ROC) curve of the training set was 0.907 (95% CI: 0.875-0.939), and the area under curve of the validation set was 0.913 (95% CI: 0.861-0.965). The Hosmer-Lemeshow goodness-of-fit test was conducted on the model in the validation set, with a Chi-squared value of 5.135 and a P value of 0.743.</p><p><strong>Conclusions: </strong>Patients with glioma have a high incidence of acute radiation-induced brain injury during radiotherapy, which can lead to a poor prognosis. The model we developed demonstrated good efficacy and reliability for identifying risk of acute radiation-induced brain injury.</p>\",\"PeriodicalId\":23216,\"journal\":{\"name\":\"Translational cancer research\",\"volume\":\"14 8\",\"pages\":\"5002-5011\"},\"PeriodicalIF\":1.7000,\"publicationDate\":\"2025-08-31\",\"publicationTypes\":\"Journal Article\",\"fieldsOfStudy\":null,\"isOpenAccess\":false,\"openAccessPdf\":\"https://www.ncbi.nlm.nih.gov/pmc/articles/PMC12432773/pdf/\",\"citationCount\":\"0\",\"resultStr\":null,\"platform\":\"Semanticscholar\",\"paperid\":null,\"PeriodicalName\":\"Translational cancer research\",\"FirstCategoryId\":\"3\",\"ListUrlMain\":\"https://doi.org/10.21037/tcr-2025-800\",\"RegionNum\":4,\"RegionCategory\":\"医学\",\"ArticlePicture\":[],\"TitleCN\":null,\"AbstractTextCN\":null,\"PMCID\":null,\"EPubDate\":\"2025/8/13 0:00:00\",\"PubModel\":\"Epub\",\"JCR\":\"Q4\",\"JCRName\":\"ONCOLOGY\",\"Score\":null,\"Total\":0}","platform":"Semanticscholar","paperid":null,"PeriodicalName":"Translational cancer research","FirstCategoryId":"3","ListUrlMain":"https://doi.org/10.21037/tcr-2025-800","RegionNum":4,"RegionCategory":"医学","ArticlePicture":[],"TitleCN":null,"AbstractTextCN":null,"PMCID":null,"EPubDate":"2025/8/13 0:00:00","PubModel":"Epub","JCR":"Q4","JCRName":"ONCOLOGY","Score":null,"Total":0}
引用次数: 0

摘要

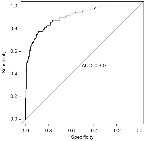
背景:胶质瘤是一种恶性程度高、死亡率高的肿瘤,目前主要采用放射治疗。急性放射性脑损伤是放射治疗的常见并发症之一,可导致脑疝。识别急性放射性脑损伤的风险可以促进诊断和治疗策略的改进,最终改善患者的预后。本研究的目的是建立并验证胶质瘤患者急性放射性脑损伤的预测模型。方法:回顾性收集广西壮族自治区南西山医院2020年1月至2024年12月收治的420例胶质瘤患者的数据作为训练集,同时收集解放军联防保障部队第940医院同期收治的180例胶质瘤患者的数据作为验证集。分析训练集中急性脑损伤患者(n=112)与非脑损伤患者(n=308)临床特征的差异,以及急性辐射脑损伤的危险因素。根据相关危险因素,构建急性放射性脑损伤预测模型,并在验证集中进行验证。结果:年龄、糖尿病、肿瘤体积大小、肿瘤体积放射剂量、同期化疗是胶质瘤患者急性放射性脑损伤的独立危险因素,相对危险度分别为1.060[95%可信区间(CI): 1.030 ~ 1.091]、3.080 (95% CI: 1.384 ~ 6.852)、1.075 (95% CI: 1.049 ~ 1.100)、1.241 (95% CI: 1.176 ~ 1.310)、3.951 (95% CI: 1.877 ~ 8.317)。训练集的受试者工作特征(ROC)曲线下面积为0.907 (95% CI: 0.875 ~ 0.939),验证集的曲线下面积为0.913 (95% CI: 0.861 ~ 0.965)。对验证集中的模型进行Hosmer-Lemeshow拟合优度检验,卡方值为5.135,P值为0.743。结论:胶质瘤患者在放疗过程中急性放射性脑损伤发生率高,预后较差。我们开发的模型在识别急性辐射性脑损伤风险方面表现出良好的有效性和可靠性。
本文章由计算机程序翻译,如有差异,请以英文原文为准。

Acute radiation-induced brain injury in patients with glioma and the construction of a clinical prediction model: a cohort study.

Acute radiation-induced brain injury in patients with glioma and the construction of a clinical prediction model: a cohort study.

Acute radiation-induced brain injury in patients with glioma and the construction of a clinical prediction model: a cohort study.

Acute radiation-induced brain injury in patients with glioma and the construction of a clinical prediction model: a cohort study.

Background: Glioma, which has a high degree of malignancy and mortality, is mainly treated by radiotherapy. Acute radiation-induced brain injury is one of the common complications of radiotherapy and can lead to brain herniation. Identifying risk of acute radiation-induced brain injury can facilitate the improvement of diagnostic and treatment strategies to ultimately improve patient outcomes. The purpose this study was to construct and validate a prediction model for acute radiation-induced brain injury in patients with glioma.

Methods: The data from 420 patients with glioma admitted to the Nanxishan Hospital of Guangxi Zhuang Autonomous Region from January 2020 to December 2024 were retrospectively collected as the training set, while the data from 180 patients with glioma treated at the 940th Hospital of Joint Logistics Support Force of PLA during the same period were collected as the validation set. The differences in the clinical characteristics of patients with acute brain injury (n=112) and non-brain injury (n=308) in the training set were analyzed, as were the risk factors of acute radiation-induced brain injury. According to the relevant risk factors, a prediction model for acute radiation-induced brain injury was constructed and validated in the validation set.

Results: Age, diabetes, size of gross tumor volume, radiation dose of gross tumor volume, and concurrent chemotherapy were independent risk factors for acute radiation-induced brain injury in patients with glioma, with the relative risks being 1.060 [95% confidence interval (CI): 1.030-1.091], 3.080 (95% CI: 1.384-6.852), 1.075 (95% CI: 1.049-1.100), 1.241 (95% CI: 1.176-1.310), and 3.951 (95% CI: 1.877-8.317), respectively. The area under the receiver operating characteristic (ROC) curve of the training set was 0.907 (95% CI: 0.875-0.939), and the area under curve of the validation set was 0.913 (95% CI: 0.861-0.965). The Hosmer-Lemeshow goodness-of-fit test was conducted on the model in the validation set, with a Chi-squared value of 5.135 and a P value of 0.743.

Conclusions: Patients with glioma have a high incidence of acute radiation-induced brain injury during radiotherapy, which can lead to a poor prognosis. The model we developed demonstrated good efficacy and reliability for identifying risk of acute radiation-induced brain injury.

求助全文
通过发布文献求助,成功后即可免费获取论文全文。 去求助
来源期刊
CiteScore
2.10
自引率
0.00%
发文量
252
期刊介绍: Translational Cancer Research (Transl Cancer Res TCR; Print ISSN: 2218-676X; Online ISSN 2219-6803; http://tcr.amegroups.com/) is an Open Access, peer-reviewed journal, indexed in Science Citation Index Expanded (SCIE). TCR publishes laboratory studies of novel therapeutic interventions as well as clinical trials which evaluate new treatment paradigms for cancer; results of novel research investigations which bridge the laboratory and clinical settings including risk assessment, cellular and molecular characterization, prevention, detection, diagnosis and treatment of human cancers with the overall goal of improving the clinical care of cancer patients. The focus of TCR is original, peer-reviewed, science-based research that successfully advances clinical medicine toward the goal of improving patients'' quality of life. The editors and an international advisory group of scientists and clinician-scientists as well as other experts will hold TCR articles to the high-quality standards. We accept Original Articles as well as Review Articles, Editorials and Brief Articles.
×
引用
GB/T 7714-2015
复制
MLA
复制
APA
复制
导出至
BibTeX EndNote RefMan NoteFirst NoteExpress
×
提示
您的信息不完整,为了账户安全,请先补充。
现在去补充
×
提示
您因"违规操作"
具体请查看互助需知
我知道了
×
提示
确定
请完成安全验证×
copy
已复制链接
快去分享给好友吧!
我知道了
右上角分享
点击右上角分享
0
联系我们:info@booksci.cn Book学术提供免费学术资源搜索服务,方便国内外学者检索中英文文献。致力于提供最便捷和优质的服务体验。 Copyright © 2023 布克学术 All rights reserved.
京ICP备2023020795号-1
ghs 京公网安备 11010802042870号
Book学术文献互助
Book学术文献互助群
群 号:604180095
Book学术官方微信