结合SHAP分析的非靶向代谢组学鉴定了奥沙利铂诱导的胃癌周围神经毒性的新生物标志物。

IF 1.7 4区 医学 Q4 ONCOLOGY
Translational cancer research Pub Date : 2025-08-31 Epub Date: 2025-08-22 DOI:10.21037/tcr-2025-240
Yujiao Hua, Xinlei Liu, Juan Lv, Yan Zhang, Yongjuan Ding, Jinghua Chen
{"title":"结合SHAP分析的非靶向代谢组学鉴定了奥沙利铂诱导的胃癌周围神经毒性的新生物标志物。","authors":"Yujiao Hua, Xinlei Liu, Juan Lv, Yan Zhang, Yongjuan Ding, Jinghua Chen","doi":"10.21037/tcr-2025-240","DOIUrl":null,"url":null,"abstract":"<p><strong>Background: </strong>Oxaliplatin-induced peripheral neuropathy (OIPN) is an important adverse reaction in patients with gastric cancer treated with oxaliplatin, but there is no objective biomarkers for changes in OIPN in patients after multiple rounds of chemotherapy. This research aimed to identify serum metabolic biomarkers using longitudinal untargeted metabolomics for early detection of OIPN progression in gastric cancer patients receiving repeated chemotherapy.</p><p><strong>Methods: </strong>Eighty-four serum samples of the same gastric cancer patient (n=42) before and after receiving oxaliplatin chemotherapy twice were collected. The metabolic profiles of serum samples were acquired using an untargeted metabolomics approach based on ultra-high-performance liquid chromatography-Q-Exactive Orbitrap tandem mass spectrometry (UHPLC-Q-Exactive Orbitrap-MS/MS). Multivariate statistical analysis, receiver operating characteristic (ROC) curve analysis, SHapley Additive exPlanations (SHAP) analysis, and pathway enrichment analysis were used to identify potential biomarkers and metabolic pathways.</p><p><strong>Results: </strong>A total of 16 differentially expressed metabolites (DEMs) were screened in discovery set, which belonged to amino acids and derivatives, lipids and derivatives, organic acids and derivatives, and others, mainly involved in amino acid metabolism, lipid metabolism, and nervous system metabolism. Four DEMs (including norepinephrine, 9,10-DHOME, 5-hydroxyindoleacetic acid, and procollagen 5-hydroxy-lysine) showed certain predictive ability for OIPN in the same gastric cancer patient before and after receiving oxaliplatin chemotherapy twice. Thirty-three DEMs were discovered in validation set, notably, norepinephrine emerged as a metabolite exhibiting consistent and notable statistical differences in both the discovery and validation sets.</p><p><strong>Conclusions: </strong>These findings demonstrate the alterations of serum metabolic profiles in patients before and after receiving oxaliplatin chemotherapy, which may deliver valuable biomarkers for early identification and outcome prediction of OIPN progression.</p>","PeriodicalId":23216,"journal":{"name":"Translational cancer research","volume":"14 8","pages":"4621-4637"},"PeriodicalIF":1.7000,"publicationDate":"2025-08-31","publicationTypes":"Journal Article","fieldsOfStudy":null,"isOpenAccess":false,"openAccessPdf":"https://www.ncbi.nlm.nih.gov/pmc/articles/PMC12432613/pdf/","citationCount":"0","resultStr":"{\"title\":\"Untargeted metabolomics integrated with SHAP analysis identifies novel biomarkers of oxaliplatin induced peripheral neurotoxicity in gastric cancer.\",\"authors\":\"Yujiao Hua, Xinlei Liu, Juan Lv, Yan Zhang, Yongjuan Ding, Jinghua Chen\",\"doi\":\"10.21037/tcr-2025-240\",\"DOIUrl\":null,\"url\":null,\"abstract\":\"<p><strong>Background: </strong>Oxaliplatin-induced peripheral neuropathy (OIPN) is an important adverse reaction in patients with gastric cancer treated with oxaliplatin, but there is no objective biomarkers for changes in OIPN in patients after multiple rounds of chemotherapy. This research aimed to identify serum metabolic biomarkers using longitudinal untargeted metabolomics for early detection of OIPN progression in gastric cancer patients receiving repeated chemotherapy.</p><p><strong>Methods: </strong>Eighty-four serum samples of the same gastric cancer patient (n=42) before and after receiving oxaliplatin chemotherapy twice were collected. The metabolic profiles of serum samples were acquired using an untargeted metabolomics approach based on ultra-high-performance liquid chromatography-Q-Exactive Orbitrap tandem mass spectrometry (UHPLC-Q-Exactive Orbitrap-MS/MS). Multivariate statistical analysis, receiver operating characteristic (ROC) curve analysis, SHapley Additive exPlanations (SHAP) analysis, and pathway enrichment analysis were used to identify potential biomarkers and metabolic pathways.</p><p><strong>Results: </strong>A total of 16 differentially expressed metabolites (DEMs) were screened in discovery set, which belonged to amino acids and derivatives, lipids and derivatives, organic acids and derivatives, and others, mainly involved in amino acid metabolism, lipid metabolism, and nervous system metabolism. Four DEMs (including norepinephrine, 9,10-DHOME, 5-hydroxyindoleacetic acid, and procollagen 5-hydroxy-lysine) showed certain predictive ability for OIPN in the same gastric cancer patient before and after receiving oxaliplatin chemotherapy twice. Thirty-three DEMs were discovered in validation set, notably, norepinephrine emerged as a metabolite exhibiting consistent and notable statistical differences in both the discovery and validation sets.</p><p><strong>Conclusions: </strong>These findings demonstrate the alterations of serum metabolic profiles in patients before and after receiving oxaliplatin chemotherapy, which may deliver valuable biomarkers for early identification and outcome prediction of OIPN progression.</p>\",\"PeriodicalId\":23216,\"journal\":{\"name\":\"Translational cancer research\",\"volume\":\"14 8\",\"pages\":\"4621-4637\"},\"PeriodicalIF\":1.7000,\"publicationDate\":\"2025-08-31\",\"publicationTypes\":\"Journal Article\",\"fieldsOfStudy\":null,\"isOpenAccess\":false,\"openAccessPdf\":\"https://www.ncbi.nlm.nih.gov/pmc/articles/PMC12432613/pdf/\",\"citationCount\":\"0\",\"resultStr\":null,\"platform\":\"Semanticscholar\",\"paperid\":null,\"PeriodicalName\":\"Translational cancer research\",\"FirstCategoryId\":\"3\",\"ListUrlMain\":\"https://doi.org/10.21037/tcr-2025-240\",\"RegionNum\":4,\"RegionCategory\":\"医学\",\"ArticlePicture\":[],\"TitleCN\":null,\"AbstractTextCN\":null,\"PMCID\":null,\"EPubDate\":\"2025/8/22 0:00:00\",\"PubModel\":\"Epub\",\"JCR\":\"Q4\",\"JCRName\":\"ONCOLOGY\",\"Score\":null,\"Total\":0}","platform":"Semanticscholar","paperid":null,"PeriodicalName":"Translational cancer research","FirstCategoryId":"3","ListUrlMain":"https://doi.org/10.21037/tcr-2025-240","RegionNum":4,"RegionCategory":"医学","ArticlePicture":[],"TitleCN":null,"AbstractTextCN":null,"PMCID":null,"EPubDate":"2025/8/22 0:00:00","PubModel":"Epub","JCR":"Q4","JCRName":"ONCOLOGY","Score":null,"Total":0}
引用次数: 0

摘要

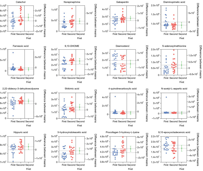
背景:奥沙利铂诱导的周围神经病变(OIPN)是奥沙利铂治疗胃癌患者的重要不良反应,但多轮化疗后患者OIPN的变化尚无客观的生物标志物。本研究旨在利用纵向非靶向代谢组学方法鉴定血清代谢生物标志物,用于早期检测接受反复化疗的胃癌患者OIPN进展。方法:收集同一胃癌患者接受两次奥沙利铂化疗前后84例血清样本(n=42)。采用基于超高效液相色谱- q - exactive Orbitrap串联质谱(UHPLC-Q-Exactive Orbitrap-MS/MS)的非靶向代谢组学方法获取血清样品的代谢谱。多变量统计分析、受试者工作特征(ROC)曲线分析、SHapley加性解释(SHAP)分析和途径富集分析用于鉴定潜在的生物标志物和代谢途径。结果:在发现集中共筛选到16个差异表达代谢物,分别属于氨基酸及其衍生物、脂质及其衍生物、有机酸及其衍生物等,主要参与氨基酸代谢、脂质代谢和神经系统代谢。同一胃癌患者两次接受奥沙利铂化疗前后,去甲肾上腺素、9,10- dhome、5-羟基吲哚乙酸、前胶原5-羟基赖氨酸等4种dms对OIPN有一定的预测能力。在验证集中发现了33个dem,值得注意的是,去甲肾上腺素作为代谢物出现,在发现集和验证集中表现出一致和显著的统计差异。结论:这些发现证明了接受奥沙利铂化疗前后患者血清代谢谱的改变,这可能为OIPN进展的早期识别和预后预测提供有价值的生物标志物。
本文章由计算机程序翻译,如有差异,请以英文原文为准。

Untargeted metabolomics integrated with SHAP analysis identifies novel biomarkers of oxaliplatin induced peripheral neurotoxicity in gastric cancer.

Untargeted metabolomics integrated with SHAP analysis identifies novel biomarkers of oxaliplatin induced peripheral neurotoxicity in gastric cancer.

Untargeted metabolomics integrated with SHAP analysis identifies novel biomarkers of oxaliplatin induced peripheral neurotoxicity in gastric cancer.

Untargeted metabolomics integrated with SHAP analysis identifies novel biomarkers of oxaliplatin induced peripheral neurotoxicity in gastric cancer.

Background: Oxaliplatin-induced peripheral neuropathy (OIPN) is an important adverse reaction in patients with gastric cancer treated with oxaliplatin, but there is no objective biomarkers for changes in OIPN in patients after multiple rounds of chemotherapy. This research aimed to identify serum metabolic biomarkers using longitudinal untargeted metabolomics for early detection of OIPN progression in gastric cancer patients receiving repeated chemotherapy.

Methods: Eighty-four serum samples of the same gastric cancer patient (n=42) before and after receiving oxaliplatin chemotherapy twice were collected. The metabolic profiles of serum samples were acquired using an untargeted metabolomics approach based on ultra-high-performance liquid chromatography-Q-Exactive Orbitrap tandem mass spectrometry (UHPLC-Q-Exactive Orbitrap-MS/MS). Multivariate statistical analysis, receiver operating characteristic (ROC) curve analysis, SHapley Additive exPlanations (SHAP) analysis, and pathway enrichment analysis were used to identify potential biomarkers and metabolic pathways.

Results: A total of 16 differentially expressed metabolites (DEMs) were screened in discovery set, which belonged to amino acids and derivatives, lipids and derivatives, organic acids and derivatives, and others, mainly involved in amino acid metabolism, lipid metabolism, and nervous system metabolism. Four DEMs (including norepinephrine, 9,10-DHOME, 5-hydroxyindoleacetic acid, and procollagen 5-hydroxy-lysine) showed certain predictive ability for OIPN in the same gastric cancer patient before and after receiving oxaliplatin chemotherapy twice. Thirty-three DEMs were discovered in validation set, notably, norepinephrine emerged as a metabolite exhibiting consistent and notable statistical differences in both the discovery and validation sets.

Conclusions: These findings demonstrate the alterations of serum metabolic profiles in patients before and after receiving oxaliplatin chemotherapy, which may deliver valuable biomarkers for early identification and outcome prediction of OIPN progression.

求助全文
通过发布文献求助,成功后即可免费获取论文全文。 去求助
来源期刊
CiteScore
2.10
自引率
0.00%
发文量
252
期刊介绍: Translational Cancer Research (Transl Cancer Res TCR; Print ISSN: 2218-676X; Online ISSN 2219-6803; http://tcr.amegroups.com/) is an Open Access, peer-reviewed journal, indexed in Science Citation Index Expanded (SCIE). TCR publishes laboratory studies of novel therapeutic interventions as well as clinical trials which evaluate new treatment paradigms for cancer; results of novel research investigations which bridge the laboratory and clinical settings including risk assessment, cellular and molecular characterization, prevention, detection, diagnosis and treatment of human cancers with the overall goal of improving the clinical care of cancer patients. The focus of TCR is original, peer-reviewed, science-based research that successfully advances clinical medicine toward the goal of improving patients'' quality of life. The editors and an international advisory group of scientists and clinician-scientists as well as other experts will hold TCR articles to the high-quality standards. We accept Original Articles as well as Review Articles, Editorials and Brief Articles.
×
引用
GB/T 7714-2015
复制
MLA
复制
APA
复制
导出至
BibTeX EndNote RefMan NoteFirst NoteExpress
×
提示
您的信息不完整,为了账户安全,请先补充。
现在去补充
×
提示
您因"违规操作"
具体请查看互助需知
我知道了
×
提示
确定
请完成安全验证×
copy
已复制链接
快去分享给好友吧!
我知道了
右上角分享
点击右上角分享
0
联系我们:info@booksci.cn Book学术提供免费学术资源搜索服务,方便国内外学者检索中英文文献。致力于提供最便捷和优质的服务体验。 Copyright © 2023 布克学术 All rights reserved.
京ICP备2023020795号-1
ghs 京公网安备 11010802042870号
Book学术文献互助
Book学术文献互助群
群 号:604180095
Book学术官方微信