SHOX-2甲基化对恶性胸腔积液的诊断准确性:一项系统回顾和荟萃分析。

IF 1.7 4区 医学 Q4 ONCOLOGY
Translational cancer research Pub Date : 2025-08-31 Epub Date: 2025-08-19 DOI:10.21037/tcr-2025-686
Hao-Jie Wang, Jian-Ying Cui, Wen-Jie Hou, Xu-Lei Hao, Wen-Qi Zheng, Zhi-De Hu, Xi-Shan Cao, Li Yan
{"title":"SHOX-2甲基化对恶性胸腔积液的诊断准确性:一项系统回顾和荟萃分析。","authors":"Hao-Jie Wang, Jian-Ying Cui, Wen-Jie Hou, Xu-Lei Hao, Wen-Qi Zheng, Zhi-De Hu, Xi-Shan Cao, Li Yan","doi":"10.21037/tcr-2025-686","DOIUrl":null,"url":null,"abstract":"<p><strong>Background: </strong>Some studies have assessed the diagnostic value of SHOX-2 methylation for malignant pleural effusion (MPE), but their findings were inconsistent. This study aimed to conduct a systematic review and meta-analysis to evaluate the diagnostic accuracy of SHOX-2 methylation for MPE.</p><p><strong>Methods: </strong>We searched the PubMed and Web of Science databases to identify studies involving SHOX-2 methylation in diagnosing MPE. The last search date was in December 2024. We evaluated the quality of the included studies using the revised Quality Assessment of Diagnostic Accuracy Studies tool-2 (QUADAS-2). A bivariate model was used to pool the sensitivity, specificity, and their 95% confidence intervals (CIs) of SHOX-2 methylation. The overall diagnostic accuracy of SHOX-2 methylation was assessed by a summary receiver operating characteristic (sROC) curve. The publication bias was analyzed using Deek's test.</p><p><strong>Results: </strong>Six studies with 613 MPE patients and 723 benign pleural effusion (BPE) patients were included. The pooled sensitivity (95% CI) and specificity (95% CI) of SHOX-2 methylation were 0.64 (0.36-0.85) and 0.96 (0.92-0.98), respectively. The area under the sROC curve was 0.96 (95% CI: 0.94-0.97). There was no publication bias across the eligible studies.</p><p><strong>Conclusions: </strong>SHOX-2 methylation has a moderate diagnostic value for MPE.</p>","PeriodicalId":23216,"journal":{"name":"Translational cancer research","volume":"14 8","pages":"4955-4964"},"PeriodicalIF":1.7000,"publicationDate":"2025-08-31","publicationTypes":"Journal Article","fieldsOfStudy":null,"isOpenAccess":false,"openAccessPdf":"https://www.ncbi.nlm.nih.gov/pmc/articles/PMC12432786/pdf/","citationCount":"0","resultStr":"{\"title\":\"Diagnostic accuracy of SHOX-2 methylation for malignant pleural effusion: a systematic review and meta-analysis.\",\"authors\":\"Hao-Jie Wang, Jian-Ying Cui, Wen-Jie Hou, Xu-Lei Hao, Wen-Qi Zheng, Zhi-De Hu, Xi-Shan Cao, Li Yan\",\"doi\":\"10.21037/tcr-2025-686\",\"DOIUrl\":null,\"url\":null,\"abstract\":\"<p><strong>Background: </strong>Some studies have assessed the diagnostic value of SHOX-2 methylation for malignant pleural effusion (MPE), but their findings were inconsistent. This study aimed to conduct a systematic review and meta-analysis to evaluate the diagnostic accuracy of SHOX-2 methylation for MPE.</p><p><strong>Methods: </strong>We searched the PubMed and Web of Science databases to identify studies involving SHOX-2 methylation in diagnosing MPE. The last search date was in December 2024. We evaluated the quality of the included studies using the revised Quality Assessment of Diagnostic Accuracy Studies tool-2 (QUADAS-2). A bivariate model was used to pool the sensitivity, specificity, and their 95% confidence intervals (CIs) of SHOX-2 methylation. The overall diagnostic accuracy of SHOX-2 methylation was assessed by a summary receiver operating characteristic (sROC) curve. The publication bias was analyzed using Deek's test.</p><p><strong>Results: </strong>Six studies with 613 MPE patients and 723 benign pleural effusion (BPE) patients were included. The pooled sensitivity (95% CI) and specificity (95% CI) of SHOX-2 methylation were 0.64 (0.36-0.85) and 0.96 (0.92-0.98), respectively. The area under the sROC curve was 0.96 (95% CI: 0.94-0.97). There was no publication bias across the eligible studies.</p><p><strong>Conclusions: </strong>SHOX-2 methylation has a moderate diagnostic value for MPE.</p>\",\"PeriodicalId\":23216,\"journal\":{\"name\":\"Translational cancer research\",\"volume\":\"14 8\",\"pages\":\"4955-4964\"},\"PeriodicalIF\":1.7000,\"publicationDate\":\"2025-08-31\",\"publicationTypes\":\"Journal Article\",\"fieldsOfStudy\":null,\"isOpenAccess\":false,\"openAccessPdf\":\"https://www.ncbi.nlm.nih.gov/pmc/articles/PMC12432786/pdf/\",\"citationCount\":\"0\",\"resultStr\":null,\"platform\":\"Semanticscholar\",\"paperid\":null,\"PeriodicalName\":\"Translational cancer research\",\"FirstCategoryId\":\"3\",\"ListUrlMain\":\"https://doi.org/10.21037/tcr-2025-686\",\"RegionNum\":4,\"RegionCategory\":\"医学\",\"ArticlePicture\":[],\"TitleCN\":null,\"AbstractTextCN\":null,\"PMCID\":null,\"EPubDate\":\"2025/8/19 0:00:00\",\"PubModel\":\"Epub\",\"JCR\":\"Q4\",\"JCRName\":\"ONCOLOGY\",\"Score\":null,\"Total\":0}","platform":"Semanticscholar","paperid":null,"PeriodicalName":"Translational cancer research","FirstCategoryId":"3","ListUrlMain":"https://doi.org/10.21037/tcr-2025-686","RegionNum":4,"RegionCategory":"医学","ArticlePicture":[],"TitleCN":null,"AbstractTextCN":null,"PMCID":null,"EPubDate":"2025/8/19 0:00:00","PubModel":"Epub","JCR":"Q4","JCRName":"ONCOLOGY","Score":null,"Total":0}
引用次数: 0

摘要

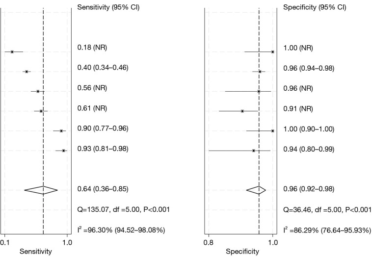
背景:一些研究评估了SHOX-2甲基化对恶性胸腔积液(MPE)的诊断价值,但结果不一致。本研究旨在进行系统回顾和荟萃分析,以评估SHOX-2甲基化对MPE的诊断准确性。方法:我们检索了PubMed和Web of Science数据库,以确定涉及SHOX-2甲基化诊断MPE的研究。最后一次搜索日期是在2024年12月。我们使用修订后的诊断准确性研究质量评估工具-2 (QUADAS-2)评估纳入研究的质量。采用双变量模型汇总SHOX-2甲基化的敏感性、特异性及其95%置信区间(CIs)。通过综合受试者工作特征(sROC)曲线评估SHOX-2甲基化的总体诊断准确性。采用Deek检验分析发表偏倚。结果:纳入6项研究,613例MPE患者和723例良性胸腔积液(BPE)患者。SHOX-2甲基化的合并敏感性(95% CI)和特异性(95% CI)分别为0.64(0.36-0.85)和0.96(0.92-0.98)。sROC曲线下面积为0.96 (95% CI: 0.94 ~ 0.97)。在符合条件的研究中没有发表偏倚。结论:SHOX-2甲基化对MPE有中等诊断价值。
本文章由计算机程序翻译,如有差异,请以英文原文为准。

Diagnostic accuracy of SHOX-2 methylation for malignant pleural effusion: a systematic review and meta-analysis.

Diagnostic accuracy of SHOX-2 methylation for malignant pleural effusion: a systematic review and meta-analysis.

Diagnostic accuracy of SHOX-2 methylation for malignant pleural effusion: a systematic review and meta-analysis.

Diagnostic accuracy of SHOX-2 methylation for malignant pleural effusion: a systematic review and meta-analysis.

Background: Some studies have assessed the diagnostic value of SHOX-2 methylation for malignant pleural effusion (MPE), but their findings were inconsistent. This study aimed to conduct a systematic review and meta-analysis to evaluate the diagnostic accuracy of SHOX-2 methylation for MPE.

Methods: We searched the PubMed and Web of Science databases to identify studies involving SHOX-2 methylation in diagnosing MPE. The last search date was in December 2024. We evaluated the quality of the included studies using the revised Quality Assessment of Diagnostic Accuracy Studies tool-2 (QUADAS-2). A bivariate model was used to pool the sensitivity, specificity, and their 95% confidence intervals (CIs) of SHOX-2 methylation. The overall diagnostic accuracy of SHOX-2 methylation was assessed by a summary receiver operating characteristic (sROC) curve. The publication bias was analyzed using Deek's test.

Results: Six studies with 613 MPE patients and 723 benign pleural effusion (BPE) patients were included. The pooled sensitivity (95% CI) and specificity (95% CI) of SHOX-2 methylation were 0.64 (0.36-0.85) and 0.96 (0.92-0.98), respectively. The area under the sROC curve was 0.96 (95% CI: 0.94-0.97). There was no publication bias across the eligible studies.

Conclusions: SHOX-2 methylation has a moderate diagnostic value for MPE.

求助全文
通过发布文献求助,成功后即可免费获取论文全文。 去求助
来源期刊
CiteScore
2.10
自引率
0.00%
发文量
252
期刊介绍: Translational Cancer Research (Transl Cancer Res TCR; Print ISSN: 2218-676X; Online ISSN 2219-6803; http://tcr.amegroups.com/) is an Open Access, peer-reviewed journal, indexed in Science Citation Index Expanded (SCIE). TCR publishes laboratory studies of novel therapeutic interventions as well as clinical trials which evaluate new treatment paradigms for cancer; results of novel research investigations which bridge the laboratory and clinical settings including risk assessment, cellular and molecular characterization, prevention, detection, diagnosis and treatment of human cancers with the overall goal of improving the clinical care of cancer patients. The focus of TCR is original, peer-reviewed, science-based research that successfully advances clinical medicine toward the goal of improving patients'' quality of life. The editors and an international advisory group of scientists and clinician-scientists as well as other experts will hold TCR articles to the high-quality standards. We accept Original Articles as well as Review Articles, Editorials and Brief Articles.
×
引用
GB/T 7714-2015
复制
MLA
复制
APA
复制
导出至
BibTeX EndNote RefMan NoteFirst NoteExpress
×
提示
您的信息不完整,为了账户安全,请先补充。
现在去补充
×
提示
您因"违规操作"
具体请查看互助需知
我知道了
×
提示
确定
请完成安全验证×
copy
已复制链接
快去分享给好友吧!
我知道了
右上角分享
点击右上角分享
0
联系我们:info@booksci.cn Book学术提供免费学术资源搜索服务,方便国内外学者检索中英文文献。致力于提供最便捷和优质的服务体验。 Copyright © 2023 布克学术 All rights reserved.
京ICP备2023020795号-1
ghs 京公网安备 11010802042870号
Book学术文献互助
Book学术文献互助群
群 号:604180095
Book学术官方微信