使用监测、流行病学和最终结果数据以及单中心外部验证队列的直肠癌同步肺转移患者总生存期的预后nomogram

IF 2 4区 医学 Q3 GASTROENTEROLOGY & HEPATOLOGY
Journal of gastrointestinal oncology Pub Date : 2025-08-30 Epub Date: 2025-08-13 DOI:10.21037/jgo-2025-178
Liyu Cao, Liting Lyu, Bin Wang, Xiaofang Dong
{"title":"使用监测、流行病学和最终结果数据以及单中心外部验证队列的直肠癌同步肺转移患者总生存期的预后nomogram","authors":"Liyu Cao, Liting Lyu, Bin Wang, Xiaofang Dong","doi":"10.21037/jgo-2025-178","DOIUrl":null,"url":null,"abstract":"<p><strong>Background: </strong>Rectal cancer with synchronous lung metastases has a poor prognosis and high mortality. Despite treatment advancements, effective prognostic tools for early diagnosis and personalized treatment remain limited. This study develops and validates a survival nomogram to improve prognosis prediction and guide treatment strategies.</p><p><strong>Methods: </strong>A total of 1,257 patients with rectal cancer and synchronous lung metastasis were identified from the Surveillance, Epidemiology, and End Results (SEER) database. They were divided into a training cohort (n=880) and an internal validation cohort (n=377). An external validation cohort of 132 patients was retrospectively collected from Affiliated Dongyang Hospital of Wenzhou Medical University. A survival nomogram was developed using variables identified through univariate and multivariate Cox regression analyses and assessed using the concordance index (C-index), time-dependent receiver operating characteristic (ROC) curves, and calibration curves. Kaplan-Meier analysis and log-rank tests were used to compare overall survival (OS) outcomes.</p><p><strong>Results: </strong>Six key risk factors were identified: carcinoembryonic antigen (CEA) level, chemotherapy, tumor stage 2, tumor grade I, radiation therapy, and tumor size (5-100 mm). The nomogram demonstrated strong predictive accuracy for 1-, 3-, and 5-year OS, with area under the curve (AUC) ranging from 0.65 to 0.94. High-risk patients (score ≥104) had significantly worse OS than low-risk patients (P<0.001). Subgroup analysis confirmed that chemotherapy and radiotherapy significantly influenced survival (P<0.05).</p><p><strong>Conclusions: </strong>This validated survival nomogram provides a reliable tool for prognosis prediction and treatment planning in rectal cancer with synchronous lung metastasis, assisting in clinical decision-making.</p>","PeriodicalId":15841,"journal":{"name":"Journal of gastrointestinal oncology","volume":"16 4","pages":"1483-1497"},"PeriodicalIF":2.0000,"publicationDate":"2025-08-30","publicationTypes":"Journal Article","fieldsOfStudy":null,"isOpenAccess":false,"openAccessPdf":"https://www.ncbi.nlm.nih.gov/pmc/articles/PMC12432926/pdf/","citationCount":"0","resultStr":"{\"title\":\"Prognostic nomogram for overall survival in rectal cancer with synchronous lung metastases using Surveillance, Epidemiology, and End Results data and a single-center external validation cohort.\",\"authors\":\"Liyu Cao, Liting Lyu, Bin Wang, Xiaofang Dong\",\"doi\":\"10.21037/jgo-2025-178\",\"DOIUrl\":null,\"url\":null,\"abstract\":\"<p><strong>Background: </strong>Rectal cancer with synchronous lung metastases has a poor prognosis and high mortality. Despite treatment advancements, effective prognostic tools for early diagnosis and personalized treatment remain limited. This study develops and validates a survival nomogram to improve prognosis prediction and guide treatment strategies.</p><p><strong>Methods: </strong>A total of 1,257 patients with rectal cancer and synchronous lung metastasis were identified from the Surveillance, Epidemiology, and End Results (SEER) database. They were divided into a training cohort (n=880) and an internal validation cohort (n=377). An external validation cohort of 132 patients was retrospectively collected from Affiliated Dongyang Hospital of Wenzhou Medical University. A survival nomogram was developed using variables identified through univariate and multivariate Cox regression analyses and assessed using the concordance index (C-index), time-dependent receiver operating characteristic (ROC) curves, and calibration curves. Kaplan-Meier analysis and log-rank tests were used to compare overall survival (OS) outcomes.</p><p><strong>Results: </strong>Six key risk factors were identified: carcinoembryonic antigen (CEA) level, chemotherapy, tumor stage 2, tumor grade I, radiation therapy, and tumor size (5-100 mm). The nomogram demonstrated strong predictive accuracy for 1-, 3-, and 5-year OS, with area under the curve (AUC) ranging from 0.65 to 0.94. High-risk patients (score ≥104) had significantly worse OS than low-risk patients (P<0.001). Subgroup analysis confirmed that chemotherapy and radiotherapy significantly influenced survival (P<0.05).</p><p><strong>Conclusions: </strong>This validated survival nomogram provides a reliable tool for prognosis prediction and treatment planning in rectal cancer with synchronous lung metastasis, assisting in clinical decision-making.</p>\",\"PeriodicalId\":15841,\"journal\":{\"name\":\"Journal of gastrointestinal oncology\",\"volume\":\"16 4\",\"pages\":\"1483-1497\"},\"PeriodicalIF\":2.0000,\"publicationDate\":\"2025-08-30\",\"publicationTypes\":\"Journal Article\",\"fieldsOfStudy\":null,\"isOpenAccess\":false,\"openAccessPdf\":\"https://www.ncbi.nlm.nih.gov/pmc/articles/PMC12432926/pdf/\",\"citationCount\":\"0\",\"resultStr\":null,\"platform\":\"Semanticscholar\",\"paperid\":null,\"PeriodicalName\":\"Journal of gastrointestinal oncology\",\"FirstCategoryId\":\"3\",\"ListUrlMain\":\"https://doi.org/10.21037/jgo-2025-178\",\"RegionNum\":4,\"RegionCategory\":\"医学\",\"ArticlePicture\":[],\"TitleCN\":null,\"AbstractTextCN\":null,\"PMCID\":null,\"EPubDate\":\"2025/8/13 0:00:00\",\"PubModel\":\"Epub\",\"JCR\":\"Q3\",\"JCRName\":\"GASTROENTEROLOGY & HEPATOLOGY\",\"Score\":null,\"Total\":0}","platform":"Semanticscholar","paperid":null,"PeriodicalName":"Journal of gastrointestinal oncology","FirstCategoryId":"3","ListUrlMain":"https://doi.org/10.21037/jgo-2025-178","RegionNum":4,"RegionCategory":"医学","ArticlePicture":[],"TitleCN":null,"AbstractTextCN":null,"PMCID":null,"EPubDate":"2025/8/13 0:00:00","PubModel":"Epub","JCR":"Q3","JCRName":"GASTROENTEROLOGY & HEPATOLOGY","Score":null,"Total":0}
引用次数: 0

摘要

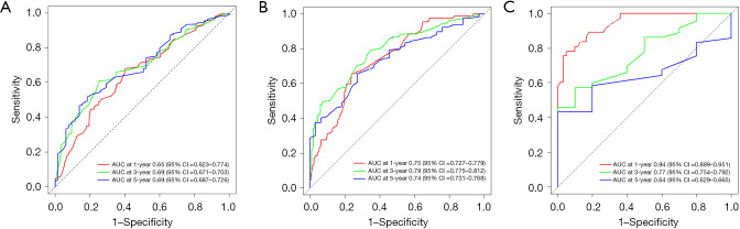
背景:直肠癌伴肺同步转移预后差,死亡率高。尽管治疗取得了进步,但用于早期诊断和个性化治疗的有效预后工具仍然有限。本研究开发并验证了生存图,以改善预后预测和指导治疗策略。方法:从监测、流行病学和最终结果(SEER)数据库中共鉴定出1257例直肠癌伴同步肺转移患者。他们被分为培训队列(n=880)和内部验证队列(n=377)。回顾性收集温州医科大学附属东阳医院132例患者进行外部验证队列研究。通过单变量和多变量Cox回归分析确定变量,并使用一致性指数(C-index)、随时间变化的受试者工作特征(ROC)曲线和校准曲线进行评估,形成生存nomogram。Kaplan-Meier分析和log-rank检验用于比较总生存期(OS)结果。结果:确定了6个关键危险因素:癌胚抗原(CEA)水平、化疗方案、肿瘤分期、肿瘤分级、放疗、肿瘤大小(5- 100mm)。nomogram对1年、3年和5年OS的预测准确度较高,曲线下面积(AUC)在0.65 ~ 0.94之间。结论:经验证的生存图为直肠癌伴肺同步转移患者的预后预测和治疗规划提供了可靠的工具,有助于临床决策。
本文章由计算机程序翻译,如有差异,请以英文原文为准。

Prognostic nomogram for overall survival in rectal cancer with synchronous lung metastases using Surveillance, Epidemiology, and End Results data and a single-center external validation cohort.

Prognostic nomogram for overall survival in rectal cancer with synchronous lung metastases using Surveillance, Epidemiology, and End Results data and a single-center external validation cohort.

Prognostic nomogram for overall survival in rectal cancer with synchronous lung metastases using Surveillance, Epidemiology, and End Results data and a single-center external validation cohort.

Prognostic nomogram for overall survival in rectal cancer with synchronous lung metastases using Surveillance, Epidemiology, and End Results data and a single-center external validation cohort.

Background: Rectal cancer with synchronous lung metastases has a poor prognosis and high mortality. Despite treatment advancements, effective prognostic tools for early diagnosis and personalized treatment remain limited. This study develops and validates a survival nomogram to improve prognosis prediction and guide treatment strategies.

Methods: A total of 1,257 patients with rectal cancer and synchronous lung metastasis were identified from the Surveillance, Epidemiology, and End Results (SEER) database. They were divided into a training cohort (n=880) and an internal validation cohort (n=377). An external validation cohort of 132 patients was retrospectively collected from Affiliated Dongyang Hospital of Wenzhou Medical University. A survival nomogram was developed using variables identified through univariate and multivariate Cox regression analyses and assessed using the concordance index (C-index), time-dependent receiver operating characteristic (ROC) curves, and calibration curves. Kaplan-Meier analysis and log-rank tests were used to compare overall survival (OS) outcomes.

Results: Six key risk factors were identified: carcinoembryonic antigen (CEA) level, chemotherapy, tumor stage 2, tumor grade I, radiation therapy, and tumor size (5-100 mm). The nomogram demonstrated strong predictive accuracy for 1-, 3-, and 5-year OS, with area under the curve (AUC) ranging from 0.65 to 0.94. High-risk patients (score ≥104) had significantly worse OS than low-risk patients (P<0.001). Subgroup analysis confirmed that chemotherapy and radiotherapy significantly influenced survival (P<0.05).

Conclusions: This validated survival nomogram provides a reliable tool for prognosis prediction and treatment planning in rectal cancer with synchronous lung metastasis, assisting in clinical decision-making.

求助全文
通过发布文献求助,成功后即可免费获取论文全文。 去求助
来源期刊
CiteScore
3.20
自引率
0.00%
发文量
171
期刊介绍: ournal of Gastrointestinal Oncology (Print ISSN 2078-6891; Online ISSN 2219-679X; J Gastrointest Oncol; JGO), the official journal of Society for Gastrointestinal Oncology (SGO), is an open-access, international peer-reviewed journal. It is published quarterly (Sep. 2010- Dec. 2013), bimonthly (Feb. 2014 -) and openly distributed worldwide. JGO publishes manuscripts that focus on updated and practical information about diagnosis, prevention and clinical investigations of gastrointestinal cancer treatment. Specific areas of interest include, but not limited to, multimodality therapy, markers, imaging and tumor biology.
×
引用
GB/T 7714-2015
复制
MLA
复制
APA
复制
导出至
BibTeX EndNote RefMan NoteFirst NoteExpress
×
提示
您的信息不完整,为了账户安全,请先补充。
现在去补充
×
提示
您因"违规操作"
具体请查看互助需知
我知道了
×
提示
确定
请完成安全验证×
copy
已复制链接
快去分享给好友吧!
我知道了
右上角分享
点击右上角分享
0
联系我们:info@booksci.cn Book学术提供免费学术资源搜索服务,方便国内外学者检索中英文文献。致力于提供最便捷和优质的服务体验。 Copyright © 2023 布克学术 All rights reserved.
京ICP备2023020795号-1
ghs 京公网安备 11010802042870号
Book学术文献互助
Book学术文献互助群
群 号:604180095
Book学术官方微信