游离真皮脂肪移植乳房再造术的术后疗效及肿瘤安全性。

IF 1.6 3区 医学 Q3 SURGERY
Gland surgery Pub Date : 2025-08-31 Epub Date: 2025-08-26 DOI:10.21037/gs-2025-109
Zuyan Huang, Bo Li, Chenmeng Long, Guiyi Wei, Liujing Zhu
{"title":"游离真皮脂肪移植乳房再造术的术后疗效及肿瘤安全性。","authors":"Zuyan Huang, Bo Li, Chenmeng Long, Guiyi Wei, Liujing Zhu","doi":"10.21037/gs-2025-109","DOIUrl":null,"url":null,"abstract":"<p><strong>Background: </strong>Breast cancer treatment has evolved to focus on not only eradicating the disease but also enhancing the quality of life (QoL) for patients. Free dermal fat graft (FDFG) is used for immediate breast reconstruction (IBR), an emerging technique with the potential for enhanced aesthetic outcomes and improved patient satisfaction. However, concerns remain regarding complications and oncological safety. This study aims to assess the clinical effect, aesthetic outcomes, and oncological safety of FDFG compared to traditional breast-conserving surgery (TBCS) in patients with early-stage breast cancer.</p><p><strong>Methods: </strong>In this retrospective study, data from a total of 106 breast cancer patients were collected with 52 in the FDFG group and 54 in the TBCS group. Follow-up evaluations occurred at six months, one and three years after the surgery, encompassing physical examinations, imaging studies, and tumor markers for monitoring the recurrence or metastasis. The cosmetic outcomes were based on the Breast Cancer Patient-Reported Outcomes Questionnaire (BREAST-Q).</p><p><strong>Results: </strong>Despite longer operation time, more severe intraoperative bleeding, and greater postoperative drainage volumes in the FDFG group, the complication rates did not differ significantly between the groups. FDFG patients reported significantly higher scores in satisfaction with the breasts and psychosocial well-being in the BREAST-Q survey. There were no significant differences in survival rates, local recurrence rates, regional recurrence rates, or distant metastasis rates. Serum tumor markers decreased postoperatively, with no significant difference observed between the two groups.</p><p><strong>Conclusions: </strong>In this retrospective study, the short-term cosmetic outcome of FDFG was superior to that of TBCS, and patient satisfaction was higher. There was no significant difference in survival, local recurrence, nor distant metastasis. Nevertheless, further prospective studies are necessary to validate these findings regarding oncological safety.</p>","PeriodicalId":12760,"journal":{"name":"Gland surgery","volume":"14 8","pages":"1433-1443"},"PeriodicalIF":1.6000,"publicationDate":"2025-08-31","publicationTypes":"Journal Article","fieldsOfStudy":null,"isOpenAccess":false,"openAccessPdf":"https://www.ncbi.nlm.nih.gov/pmc/articles/PMC12432958/pdf/","citationCount":"0","resultStr":"{\"title\":\"The postoperative outcomes and oncological safety of free dermal fat graft for breast reconstruction.\",\"authors\":\"Zuyan Huang, Bo Li, Chenmeng Long, Guiyi Wei, Liujing Zhu\",\"doi\":\"10.21037/gs-2025-109\",\"DOIUrl\":null,\"url\":null,\"abstract\":\"<p><strong>Background: </strong>Breast cancer treatment has evolved to focus on not only eradicating the disease but also enhancing the quality of life (QoL) for patients. Free dermal fat graft (FDFG) is used for immediate breast reconstruction (IBR), an emerging technique with the potential for enhanced aesthetic outcomes and improved patient satisfaction. However, concerns remain regarding complications and oncological safety. This study aims to assess the clinical effect, aesthetic outcomes, and oncological safety of FDFG compared to traditional breast-conserving surgery (TBCS) in patients with early-stage breast cancer.</p><p><strong>Methods: </strong>In this retrospective study, data from a total of 106 breast cancer patients were collected with 52 in the FDFG group and 54 in the TBCS group. Follow-up evaluations occurred at six months, one and three years after the surgery, encompassing physical examinations, imaging studies, and tumor markers for monitoring the recurrence or metastasis. The cosmetic outcomes were based on the Breast Cancer Patient-Reported Outcomes Questionnaire (BREAST-Q).</p><p><strong>Results: </strong>Despite longer operation time, more severe intraoperative bleeding, and greater postoperative drainage volumes in the FDFG group, the complication rates did not differ significantly between the groups. FDFG patients reported significantly higher scores in satisfaction with the breasts and psychosocial well-being in the BREAST-Q survey. There were no significant differences in survival rates, local recurrence rates, regional recurrence rates, or distant metastasis rates. Serum tumor markers decreased postoperatively, with no significant difference observed between the two groups.</p><p><strong>Conclusions: </strong>In this retrospective study, the short-term cosmetic outcome of FDFG was superior to that of TBCS, and patient satisfaction was higher. There was no significant difference in survival, local recurrence, nor distant metastasis. Nevertheless, further prospective studies are necessary to validate these findings regarding oncological safety.</p>\",\"PeriodicalId\":12760,\"journal\":{\"name\":\"Gland surgery\",\"volume\":\"14 8\",\"pages\":\"1433-1443\"},\"PeriodicalIF\":1.6000,\"publicationDate\":\"2025-08-31\",\"publicationTypes\":\"Journal Article\",\"fieldsOfStudy\":null,\"isOpenAccess\":false,\"openAccessPdf\":\"https://www.ncbi.nlm.nih.gov/pmc/articles/PMC12432958/pdf/\",\"citationCount\":\"0\",\"resultStr\":null,\"platform\":\"Semanticscholar\",\"paperid\":null,\"PeriodicalName\":\"Gland surgery\",\"FirstCategoryId\":\"3\",\"ListUrlMain\":\"https://doi.org/10.21037/gs-2025-109\",\"RegionNum\":3,\"RegionCategory\":\"医学\",\"ArticlePicture\":[],\"TitleCN\":null,\"AbstractTextCN\":null,\"PMCID\":null,\"EPubDate\":\"2025/8/26 0:00:00\",\"PubModel\":\"Epub\",\"JCR\":\"Q3\",\"JCRName\":\"SURGERY\",\"Score\":null,\"Total\":0}","platform":"Semanticscholar","paperid":null,"PeriodicalName":"Gland surgery","FirstCategoryId":"3","ListUrlMain":"https://doi.org/10.21037/gs-2025-109","RegionNum":3,"RegionCategory":"医学","ArticlePicture":[],"TitleCN":null,"AbstractTextCN":null,"PMCID":null,"EPubDate":"2025/8/26 0:00:00","PubModel":"Epub","JCR":"Q3","JCRName":"SURGERY","Score":null,"Total":0}
引用次数: 0

摘要

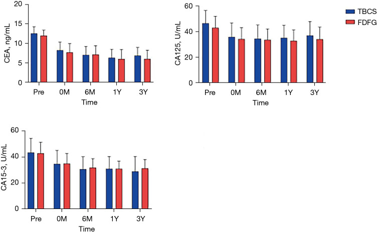
背景:乳腺癌的治疗已经发展到不仅要根除疾病,而且要提高患者的生活质量(QoL)。游离真皮脂肪移植(FDFG)用于即时乳房重建(IBR),这是一项新兴技术,具有增强美学效果和提高患者满意度的潜力。然而,对并发症和肿瘤安全性的担忧仍然存在。本研究旨在评估FDFG与传统保乳手术(TBCS)在早期乳腺癌患者中的临床效果、美学结果和肿瘤安全性。方法:回顾性分析106例乳腺癌患者的资料,其中FDFG组52例,TBCS组54例。随访评估分别在术后6个月、1年和3年进行,包括体格检查、影像学检查和监测复发或转移的肿瘤标志物。美容结果基于乳腺癌患者报告结果问卷(Breast - q)。结果:尽管FDFG组手术时间更长,术中出血更严重,术后引流量更大,但两组间并发症发生率无显著差异。在BREAST-Q调查中,FDFG患者在乳房满意度和心理健康方面的得分明显更高。生存率、局部复发率、区域复发率或远处转移率无显著差异。术后血清肿瘤标志物降低,两组间差异无统计学意义。结论:本回顾性研究中,FDFG短期美容效果优于TBCS,患者满意度较高。两组生存率、局部复发率和远处转移率无显著差异。然而,需要进一步的前瞻性研究来验证这些关于肿瘤安全性的发现。
本文章由计算机程序翻译,如有差异,请以英文原文为准。

The postoperative outcomes and oncological safety of free dermal fat graft for breast reconstruction.

The postoperative outcomes and oncological safety of free dermal fat graft for breast reconstruction.

The postoperative outcomes and oncological safety of free dermal fat graft for breast reconstruction.

The postoperative outcomes and oncological safety of free dermal fat graft for breast reconstruction.

Background: Breast cancer treatment has evolved to focus on not only eradicating the disease but also enhancing the quality of life (QoL) for patients. Free dermal fat graft (FDFG) is used for immediate breast reconstruction (IBR), an emerging technique with the potential for enhanced aesthetic outcomes and improved patient satisfaction. However, concerns remain regarding complications and oncological safety. This study aims to assess the clinical effect, aesthetic outcomes, and oncological safety of FDFG compared to traditional breast-conserving surgery (TBCS) in patients with early-stage breast cancer.

Methods: In this retrospective study, data from a total of 106 breast cancer patients were collected with 52 in the FDFG group and 54 in the TBCS group. Follow-up evaluations occurred at six months, one and three years after the surgery, encompassing physical examinations, imaging studies, and tumor markers for monitoring the recurrence or metastasis. The cosmetic outcomes were based on the Breast Cancer Patient-Reported Outcomes Questionnaire (BREAST-Q).

Results: Despite longer operation time, more severe intraoperative bleeding, and greater postoperative drainage volumes in the FDFG group, the complication rates did not differ significantly between the groups. FDFG patients reported significantly higher scores in satisfaction with the breasts and psychosocial well-being in the BREAST-Q survey. There were no significant differences in survival rates, local recurrence rates, regional recurrence rates, or distant metastasis rates. Serum tumor markers decreased postoperatively, with no significant difference observed between the two groups.

Conclusions: In this retrospective study, the short-term cosmetic outcome of FDFG was superior to that of TBCS, and patient satisfaction was higher. There was no significant difference in survival, local recurrence, nor distant metastasis. Nevertheless, further prospective studies are necessary to validate these findings regarding oncological safety.

求助全文
通过发布文献求助,成功后即可免费获取论文全文。 去求助
来源期刊
Gland surgery
Gland surgery Medicine-Surgery
CiteScore
3.60
自引率
0.00%
发文量
113
期刊介绍: Gland Surgery (Gland Surg; GS, Print ISSN 2227-684X; Online ISSN 2227-8575) being indexed by PubMed/PubMed Central, is an open access, peer-review journal launched at May of 2012, published bio-monthly since February 2015.
×
引用
GB/T 7714-2015
复制
MLA
复制
APA
复制
导出至
BibTeX EndNote RefMan NoteFirst NoteExpress
×
提示
您的信息不完整,为了账户安全,请先补充。
现在去补充
×
提示
您因"违规操作"
具体请查看互助需知
我知道了
×
提示
确定
请完成安全验证×
copy
已复制链接
快去分享给好友吧!
我知道了
右上角分享
点击右上角分享
0
联系我们:info@booksci.cn Book学术提供免费学术资源搜索服务,方便国内外学者检索中英文文献。致力于提供最便捷和优质的服务体验。 Copyright © 2023 布克学术 All rights reserved.
京ICP备2023020795号-1
ghs 京公网安备 11010802042870号
Book学术文献互助
Book学术文献互助群
群 号:604180095
Book学术官方微信