通过尼日利亚罗布森分类分析剖宫产:一项转诊水平设施的前瞻性全国研究。

IF 10 1区 医学 Q1 MEDICINE, GENERAL & INTERNAL
Tina Lavin, Amaka N Ocheke, Ana Pilar Betran, Abiodun S Adeniran, Eziamaka Ezenkwele, Duum C Nwachukwu, Luz Gibbons, Aisha Abdurrahman, Sulaiman Muhammad Deneji, Akpanika Chinyere, Adewale Ashimi, Rais Ibraheem, Odward Elusoji Jagun, Innocent Anayochukwu Ugwu, Olufemi Aworinde, Agada Egwu, Sunday Ochigbo, Timothy A O Oluwasola, Aniekan Abasiattai, Anthonia Inibokun Njoku, Lawal Magaji, Peter Aboyeji, Hadiza Galadanci, Calvin Chama, Saturday Etuk, Joseph Ikechebelu, Olubukola Adesina, Jamilu Tukur
{"title":"通过尼日利亚罗布森分类分析剖宫产:一项转诊水平设施的前瞻性全国研究。","authors":"Tina Lavin, Amaka N Ocheke, Ana Pilar Betran, Abiodun S Adeniran, Eziamaka Ezenkwele, Duum C Nwachukwu, Luz Gibbons, Aisha Abdurrahman, Sulaiman Muhammad Deneji, Akpanika Chinyere, Adewale Ashimi, Rais Ibraheem, Odward Elusoji Jagun, Innocent Anayochukwu Ugwu, Olufemi Aworinde, Agada Egwu, Sunday Ochigbo, Timothy A O Oluwasola, Aniekan Abasiattai, Anthonia Inibokun Njoku, Lawal Magaji, Peter Aboyeji, Hadiza Galadanci, Calvin Chama, Saturday Etuk, Joseph Ikechebelu, Olubukola Adesina, Jamilu Tukur","doi":"10.1016/j.eclinm.2025.103427","DOIUrl":null,"url":null,"abstract":"<p><strong>Background: </strong>Over the past 30 years, there has been increased concern on rising caesarean section rates. However, the absence of reliable data on appropriateness of caesarean section for women in many countries, including Nigeria, poses a significant obstacle to understanding the use of caesarean and the quality of care surrounding caesarean section. The objective of this study was to analyse the caesarean section rates in specific obstetric populations to better understand the appropriateness of caesarean section by Robson Group in 56 referral-level facilities across Nigeria.</p><p><strong>Methods: </strong>Data from 179,463 women who gave birth in 56 referral-level facilities across Nigeria between 1 September 2019 and 31 August 2022 were analysed using the Robson classification and interpreted using the WHO Implementation Manual.</p><p><strong>Findings: </strong>Of the 158,246 women classified by Robson, 52,221 (33%) had caesarean section. Women with previous caesarean section (Group 5) were the largest contributors to overall caesarean section rate, accounting for 27.1% of all caesarean sections. This was followed by women with preterm birth (Group 10-17.1%). Women with term induced labour or those who had a pre-labour caesarean section also made substantial contributions to overall caesarean section rate (Group 2 (nullipara women)-12.8%; Group 4 (multipara women)-12.0%). When examining caesarean section rate within specific obstetric populations, Group 2 and Group 4 (nullipara and multipara women without previous caesarean section) had particularly high caesarean section rates-84.0% and 77.7%, respectively. Most of these were pre-labour caesarean sections: 83.9% (5620/6702) in Group 2 and 90.6% (5676/6263) in Group 4, few women in these obstetric populations had labour induction (16.1% in Group 2; 9.4% in Group 4). Among nulliparous women undergoing pre-labour caesarean section the main indications were hypertensive disorders (18.9%) and suspected contracted/inadequate pelvis (13.2%). For multiparous women, hypertensive disorders (15.0%) and placental conditions (11.9%) were the leading indications. Group 2a and Group 4a (women who had induction of labour) also had high caesarean section rates-45.9% and 24.6%, respectively.</p><p><strong>Interpretation: </strong>This nationwide programme shows a high caesarean section rate among women with a previous caesarean section, highlighting the importance of appropriate caesarean section use in nulliparous women to prevent caesarean section in future pregnancies. Women with term pregnancies without previous caesarean section had a high rate of caesarean section while the rate of labour induction in the same population of women was low. Among women who had an induction of labour, a substantial proportion had a caesarean section. There may be an opportunity to reduce caesarean rate by strengthening strategies to identify women who are good candidates for induction of labour and by fostering an environment that supports safe and successful induction. A multi-faceted approach is needed including adequate training for health workers, creating a calm birthing environment, ensuring health workforce capacity to monitor women during labour induction and ensuring access to quality medications all within a the context of a well-functioning and well-financed health-care system.</p><p><strong>Funding: </strong>This work was funded by MSD for Mothers; and UNDP/UNFPA/UNICEF/WHO/World Bank Special Programme of Research, Development and Research Training in Human Reproduction Programme (HRP), a co-sponsored programme executed by the World Health Organization (WHO).</p>","PeriodicalId":11393,"journal":{"name":"EClinicalMedicine","volume":"87 ","pages":"103427"},"PeriodicalIF":10.0000,"publicationDate":"2025-09-01","publicationTypes":"Journal Article","fieldsOfStudy":null,"isOpenAccess":false,"openAccessPdf":"https://www.ncbi.nlm.nih.gov/pmc/articles/PMC12424238/pdf/","citationCount":"0","resultStr":"{\"title\":\"Analyzing caesarean sections through the Robson classification in Nigeria: a prospective nationwide study in referral level facilities.\",\"authors\":\"Tina Lavin, Amaka N Ocheke, Ana Pilar Betran, Abiodun S Adeniran, Eziamaka Ezenkwele, Duum C Nwachukwu, Luz Gibbons, Aisha Abdurrahman, Sulaiman Muhammad Deneji, Akpanika Chinyere, Adewale Ashimi, Rais Ibraheem, Odward Elusoji Jagun, Innocent Anayochukwu Ugwu, Olufemi Aworinde, Agada Egwu, Sunday Ochigbo, Timothy A O Oluwasola, Aniekan Abasiattai, Anthonia Inibokun Njoku, Lawal Magaji, Peter Aboyeji, Hadiza Galadanci, Calvin Chama, Saturday Etuk, Joseph Ikechebelu, Olubukola Adesina, Jamilu Tukur\",\"doi\":\"10.1016/j.eclinm.2025.103427\",\"DOIUrl\":null,\"url\":null,\"abstract\":\"<p><strong>Background: </strong>Over the past 30 years, there has been increased concern on rising caesarean section rates. However, the absence of reliable data on appropriateness of caesarean section for women in many countries, including Nigeria, poses a significant obstacle to understanding the use of caesarean and the quality of care surrounding caesarean section. The objective of this study was to analyse the caesarean section rates in specific obstetric populations to better understand the appropriateness of caesarean section by Robson Group in 56 referral-level facilities across Nigeria.</p><p><strong>Methods: </strong>Data from 179,463 women who gave birth in 56 referral-level facilities across Nigeria between 1 September 2019 and 31 August 2022 were analysed using the Robson classification and interpreted using the WHO Implementation Manual.</p><p><strong>Findings: </strong>Of the 158,246 women classified by Robson, 52,221 (33%) had caesarean section. Women with previous caesarean section (Group 5) were the largest contributors to overall caesarean section rate, accounting for 27.1% of all caesarean sections. This was followed by women with preterm birth (Group 10-17.1%). Women with term induced labour or those who had a pre-labour caesarean section also made substantial contributions to overall caesarean section rate (Group 2 (nullipara women)-12.8%; Group 4 (multipara women)-12.0%). When examining caesarean section rate within specific obstetric populations, Group 2 and Group 4 (nullipara and multipara women without previous caesarean section) had particularly high caesarean section rates-84.0% and 77.7%, respectively. Most of these were pre-labour caesarean sections: 83.9% (5620/6702) in Group 2 and 90.6% (5676/6263) in Group 4, few women in these obstetric populations had labour induction (16.1% in Group 2; 9.4% in Group 4). Among nulliparous women undergoing pre-labour caesarean section the main indications were hypertensive disorders (18.9%) and suspected contracted/inadequate pelvis (13.2%). For multiparous women, hypertensive disorders (15.0%) and placental conditions (11.9%) were the leading indications. Group 2a and Group 4a (women who had induction of labour) also had high caesarean section rates-45.9% and 24.6%, respectively.</p><p><strong>Interpretation: </strong>This nationwide programme shows a high caesarean section rate among women with a previous caesarean section, highlighting the importance of appropriate caesarean section use in nulliparous women to prevent caesarean section in future pregnancies. Women with term pregnancies without previous caesarean section had a high rate of caesarean section while the rate of labour induction in the same population of women was low. Among women who had an induction of labour, a substantial proportion had a caesarean section. There may be an opportunity to reduce caesarean rate by strengthening strategies to identify women who are good candidates for induction of labour and by fostering an environment that supports safe and successful induction. A multi-faceted approach is needed including adequate training for health workers, creating a calm birthing environment, ensuring health workforce capacity to monitor women during labour induction and ensuring access to quality medications all within a the context of a well-functioning and well-financed health-care system.</p><p><strong>Funding: </strong>This work was funded by MSD for Mothers; and UNDP/UNFPA/UNICEF/WHO/World Bank Special Programme of Research, Development and Research Training in Human Reproduction Programme (HRP), a co-sponsored programme executed by the World Health Organization (WHO).</p>\",\"PeriodicalId\":11393,\"journal\":{\"name\":\"EClinicalMedicine\",\"volume\":\"87 \",\"pages\":\"103427\"},\"PeriodicalIF\":10.0000,\"publicationDate\":\"2025-09-01\",\"publicationTypes\":\"Journal Article\",\"fieldsOfStudy\":null,\"isOpenAccess\":false,\"openAccessPdf\":\"https://www.ncbi.nlm.nih.gov/pmc/articles/PMC12424238/pdf/\",\"citationCount\":\"0\",\"resultStr\":null,\"platform\":\"Semanticscholar\",\"paperid\":null,\"PeriodicalName\":\"EClinicalMedicine\",\"FirstCategoryId\":\"3\",\"ListUrlMain\":\"https://doi.org/10.1016/j.eclinm.2025.103427\",\"RegionNum\":1,\"RegionCategory\":\"医学\",\"ArticlePicture\":[],\"TitleCN\":null,\"AbstractTextCN\":null,\"PMCID\":null,\"EPubDate\":\"\",\"PubModel\":\"\",\"JCR\":\"Q1\",\"JCRName\":\"MEDICINE, GENERAL & INTERNAL\",\"Score\":null,\"Total\":0}","platform":"Semanticscholar","paperid":null,"PeriodicalName":"EClinicalMedicine","FirstCategoryId":"3","ListUrlMain":"https://doi.org/10.1016/j.eclinm.2025.103427","RegionNum":1,"RegionCategory":"医学","ArticlePicture":[],"TitleCN":null,"AbstractTextCN":null,"PMCID":null,"EPubDate":"","PubModel":"","JCR":"Q1","JCRName":"MEDICINE, GENERAL & INTERNAL","Score":null,"Total":0}
引用次数: 0

摘要

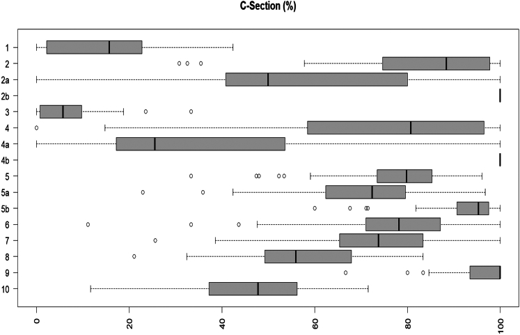
背景:在过去的30年里,人们越来越关注剖宫产率的上升。然而,包括尼日利亚在内的许多国家缺乏关于妇女剖腹产是否适当的可靠数据,这对了解剖腹产的使用和剖腹产周围的护理质量构成了重大障碍。本研究的目的是分析特定产科人群的剖宫产率,以更好地了解罗布森集团在尼日利亚56家转诊级机构中剖宫产的适宜性。方法:使用罗布森分类分析2019年9月1日至2022年8月31日期间在尼日利亚56个转诊级设施分娩的179,463名妇女的数据,并使用世卫组织实施手册进行解释。结果:在Robson分类的158,246名妇女中,52,221名(33%)进行了剖腹产手术。有过剖宫产史的妇女(第5组)是整体剖宫产率的最大贡献者,占所有剖宫产的27.1%。其次是早产妇女(组10-17.1%)。足月引产妇女或产前剖宫产妇女也对整体剖宫产率做出了重大贡献(第2组(未分娩妇女)-12.8%;第4组(多段妇女)-12.0%)。在检查特定产科人群的剖宫产率时,第2组和第4组(无剖宫产和多次剖宫产的妇女没有剖宫产史)的剖宫产率特别高,分别为84.0%和77.7%。其中大部分为产前剖腹产:第2组为83.9%(5620/6702),第4组为90.6%(5676/6263),这些产科人群中很少有妇女引产(第2组为16.1%,第4组为9.4%)。在进行产前剖腹产的未产妇女中,主要指征是高血压疾病(18.9%)和疑似骨盆收缩/不充分(13.2%)。对于多产妇女,高血压疾病(15.0%)和胎盘疾病(11.9%)是主要的适应症。2a组和4a组(引产妇女)的剖腹产率也很高,分别为45.9%和24.6%。解释:这一全国性方案显示,有过剖腹产经历的妇女剖宫产率很高,强调了未产妇女适当使用剖宫产以防止今后怀孕剖宫产的重要性。未做过剖宫产的足月妊娠妇女剖宫产率高,而同一人群的引产率低。在引产的妇女中,有相当大比例的人进行了剖腹产。通过加强战略,确定适合引产的妇女,并营造有利于安全、成功引产的环境,可能有机会降低剖腹产率。需要采取多方面的办法,包括对卫生工作者进行充分的培训,创造平静的分娩环境,确保卫生工作者有能力监测引产期间的妇女,并确保在运作良好和资金充足的卫生保健系统的背景下获得高质量的药物。资助:本研究由MSD for Mothers资助;开发计划署/人口基金/儿童基金会/卫生组织/世界银行人类生殖方案研究、发展和研究培训特别方案,这是一个由世界卫生组织(卫生组织)共同发起的方案。
本文章由计算机程序翻译,如有差异,请以英文原文为准。

Analyzing caesarean sections through the Robson classification in Nigeria: a prospective nationwide study in referral level facilities.

Analyzing caesarean sections through the Robson classification in Nigeria: a prospective nationwide study in referral level facilities.

Analyzing caesarean sections through the Robson classification in Nigeria: a prospective nationwide study in referral level facilities.

Analyzing caesarean sections through the Robson classification in Nigeria: a prospective nationwide study in referral level facilities.

Background: Over the past 30 years, there has been increased concern on rising caesarean section rates. However, the absence of reliable data on appropriateness of caesarean section for women in many countries, including Nigeria, poses a significant obstacle to understanding the use of caesarean and the quality of care surrounding caesarean section. The objective of this study was to analyse the caesarean section rates in specific obstetric populations to better understand the appropriateness of caesarean section by Robson Group in 56 referral-level facilities across Nigeria.

Methods: Data from 179,463 women who gave birth in 56 referral-level facilities across Nigeria between 1 September 2019 and 31 August 2022 were analysed using the Robson classification and interpreted using the WHO Implementation Manual.

Findings: Of the 158,246 women classified by Robson, 52,221 (33%) had caesarean section. Women with previous caesarean section (Group 5) were the largest contributors to overall caesarean section rate, accounting for 27.1% of all caesarean sections. This was followed by women with preterm birth (Group 10-17.1%). Women with term induced labour or those who had a pre-labour caesarean section also made substantial contributions to overall caesarean section rate (Group 2 (nullipara women)-12.8%; Group 4 (multipara women)-12.0%). When examining caesarean section rate within specific obstetric populations, Group 2 and Group 4 (nullipara and multipara women without previous caesarean section) had particularly high caesarean section rates-84.0% and 77.7%, respectively. Most of these were pre-labour caesarean sections: 83.9% (5620/6702) in Group 2 and 90.6% (5676/6263) in Group 4, few women in these obstetric populations had labour induction (16.1% in Group 2; 9.4% in Group 4). Among nulliparous women undergoing pre-labour caesarean section the main indications were hypertensive disorders (18.9%) and suspected contracted/inadequate pelvis (13.2%). For multiparous women, hypertensive disorders (15.0%) and placental conditions (11.9%) were the leading indications. Group 2a and Group 4a (women who had induction of labour) also had high caesarean section rates-45.9% and 24.6%, respectively.

Interpretation: This nationwide programme shows a high caesarean section rate among women with a previous caesarean section, highlighting the importance of appropriate caesarean section use in nulliparous women to prevent caesarean section in future pregnancies. Women with term pregnancies without previous caesarean section had a high rate of caesarean section while the rate of labour induction in the same population of women was low. Among women who had an induction of labour, a substantial proportion had a caesarean section. There may be an opportunity to reduce caesarean rate by strengthening strategies to identify women who are good candidates for induction of labour and by fostering an environment that supports safe and successful induction. A multi-faceted approach is needed including adequate training for health workers, creating a calm birthing environment, ensuring health workforce capacity to monitor women during labour induction and ensuring access to quality medications all within a the context of a well-functioning and well-financed health-care system.

Funding: This work was funded by MSD for Mothers; and UNDP/UNFPA/UNICEF/WHO/World Bank Special Programme of Research, Development and Research Training in Human Reproduction Programme (HRP), a co-sponsored programme executed by the World Health Organization (WHO).

求助全文
通过发布文献求助,成功后即可免费获取论文全文。 去求助
来源期刊
EClinicalMedicine
EClinicalMedicine Medicine-Medicine (all)
CiteScore
18.90
自引率
1.30%
发文量
506
审稿时长
22 days
期刊介绍: eClinicalMedicine is a gold open-access clinical journal designed to support frontline health professionals in addressing the complex and rapid health transitions affecting societies globally. The journal aims to assist practitioners in overcoming healthcare challenges across diverse communities, spanning diagnosis, treatment, prevention, and health promotion. Integrating disciplines from various specialties and life stages, it seeks to enhance health systems as fundamental institutions within societies. With a forward-thinking approach, eClinicalMedicine aims to redefine the future of healthcare.
×
引用
GB/T 7714-2015
复制
MLA
复制
APA
复制
导出至
BibTeX EndNote RefMan NoteFirst NoteExpress
×
提示
您的信息不完整,为了账户安全,请先补充。
现在去补充
×
提示
您因"违规操作"
具体请查看互助需知
我知道了
×
提示
确定
请完成安全验证×
copy
已复制链接
快去分享给好友吧!
我知道了
右上角分享
点击右上角分享
0
联系我们:info@booksci.cn Book学术提供免费学术资源搜索服务,方便国内外学者检索中英文文献。致力于提供最便捷和优质的服务体验。 Copyright © 2023 布克学术 All rights reserved.
京ICP备2023020795号-1
ghs 京公网安备 11010802042870号
Book学术文献互助
Book学术文献互助群
群 号:604180095
Book学术官方微信