机器学习用于宫颈癌术前评估和术后预测:多中心回顾性模型整合MRI和临床病理数据。

IF 2.7 Q2 ONCOLOGY
JMIR Cancer Pub Date : 2025-09-12 DOI:10.2196/69057
Shuqi Li, Chenyan Guo, Yufei Fang, Junjun Qiu, He Zhang, Lei Ling, Jie Xu, Xinwei Peng, Chuchu Jiang, Jue Wang, Keqin Hua
{"title":"机器学习用于宫颈癌术前评估和术后预测:多中心回顾性模型整合MRI和临床病理数据。","authors":"Shuqi Li, Chenyan Guo, Yufei Fang, Junjun Qiu, He Zhang, Lei Ling, Jie Xu, Xinwei Peng, Chuchu Jiang, Jue Wang, Keqin Hua","doi":"10.2196/69057","DOIUrl":null,"url":null,"abstract":"<p><strong>Background: </strong>Machine learning (ML) has been increasingly applied to cervical cancer (CC) research. However, few studies have combined both clinical parameters and imaging data. At the same time, there remains an urgent need for more robust and accurate preoperative assessment of parametrial invasion and lymph node metastasis, as well as postoperative prognosis prediction.</p><p><strong>Objective: </strong>The objective of this study is to develop an integrated ML model combining clinicopathological variables and magnetic resonance image features for (1) preoperative parametrial invasion and lymph node metastasis detection and (2) postoperative recurrence and survival prediction.</p><p><strong>Methods: </strong>Retrospective data from 250 patients with CC (2014-2022; 2 tertiary hospitals) were analyzed. Variables were assessed for their predictive value regarding parametrial invasion, lymph node metastasis, survival, and recurrence using 7 ML models: K-nearest neighbor (KNN), support vector machine, decision tree, random forest (RF), balanced RF, weighted DT, and weighted KNN. Performance was assessed via 5-fold cross-validation using accuracy, sensitivity, specificity, precision, F1-score, and area under the receiver operating characteristic curve (AUC). The optimal models were deployed in an artificial intelligence-assisted contouring and prognosis prediction system.</p><p><strong>Results: </strong>Among 250 women, there were 11 deaths and 24 recurrences. (1) For preoperative evaluation, the integrated model using balanced RF achieved optimal performance (sensitivity 0.81, specificity 0.85) for parametrial invasion, while weighted KNN achieved the best performance for lymph node metastasis (sensitivity 0.98, AUC 0.72). (2) For postoperative prognosis, weighted KNN also demonstrated high accuracy for recurrence (accuracy 0.94, AUC 0.86) and mortality (accuracy 0.97, AUC 0.77), with relatively balanced sensitivity of 0.80 and 0.33, respectively. (3) An artificial intelligence-assisted contouring and prognosis prediction system was developed to support preoperative evaluation and postoperative prognosis prediction.</p><p><strong>Conclusions: </strong>The integration of clinical data and magnetic resonance images provides enhanced diagnostic capability to preoperatively detect parametrial invasion and lymph node metastasis detection and prognostic capability to predict recurrence and mortality for CC, facilitating personalized, precise treatment strategies.</p>","PeriodicalId":45538,"journal":{"name":"JMIR Cancer","volume":"11 ","pages":"e69057"},"PeriodicalIF":2.7000,"publicationDate":"2025-09-12","publicationTypes":"Journal Article","fieldsOfStudy":null,"isOpenAccess":false,"openAccessPdf":"https://www.ncbi.nlm.nih.gov/pmc/articles/PMC12431160/pdf/","citationCount":"0","resultStr":"{\"title\":\"Machine Learning for Preoperative Assessment and Postoperative Prediction in Cervical Cancer: Multicenter Retrospective Model Integrating MRI and Clinicopathological Data.\",\"authors\":\"Shuqi Li, Chenyan Guo, Yufei Fang, Junjun Qiu, He Zhang, Lei Ling, Jie Xu, Xinwei Peng, Chuchu Jiang, Jue Wang, Keqin Hua\",\"doi\":\"10.2196/69057\",\"DOIUrl\":null,\"url\":null,\"abstract\":\"<p><strong>Background: </strong>Machine learning (ML) has been increasingly applied to cervical cancer (CC) research. However, few studies have combined both clinical parameters and imaging data. At the same time, there remains an urgent need for more robust and accurate preoperative assessment of parametrial invasion and lymph node metastasis, as well as postoperative prognosis prediction.</p><p><strong>Objective: </strong>The objective of this study is to develop an integrated ML model combining clinicopathological variables and magnetic resonance image features for (1) preoperative parametrial invasion and lymph node metastasis detection and (2) postoperative recurrence and survival prediction.</p><p><strong>Methods: </strong>Retrospective data from 250 patients with CC (2014-2022; 2 tertiary hospitals) were analyzed. Variables were assessed for their predictive value regarding parametrial invasion, lymph node metastasis, survival, and recurrence using 7 ML models: K-nearest neighbor (KNN), support vector machine, decision tree, random forest (RF), balanced RF, weighted DT, and weighted KNN. Performance was assessed via 5-fold cross-validation using accuracy, sensitivity, specificity, precision, F1-score, and area under the receiver operating characteristic curve (AUC). The optimal models were deployed in an artificial intelligence-assisted contouring and prognosis prediction system.</p><p><strong>Results: </strong>Among 250 women, there were 11 deaths and 24 recurrences. (1) For preoperative evaluation, the integrated model using balanced RF achieved optimal performance (sensitivity 0.81, specificity 0.85) for parametrial invasion, while weighted KNN achieved the best performance for lymph node metastasis (sensitivity 0.98, AUC 0.72). (2) For postoperative prognosis, weighted KNN also demonstrated high accuracy for recurrence (accuracy 0.94, AUC 0.86) and mortality (accuracy 0.97, AUC 0.77), with relatively balanced sensitivity of 0.80 and 0.33, respectively. (3) An artificial intelligence-assisted contouring and prognosis prediction system was developed to support preoperative evaluation and postoperative prognosis prediction.</p><p><strong>Conclusions: </strong>The integration of clinical data and magnetic resonance images provides enhanced diagnostic capability to preoperatively detect parametrial invasion and lymph node metastasis detection and prognostic capability to predict recurrence and mortality for CC, facilitating personalized, precise treatment strategies.</p>\",\"PeriodicalId\":45538,\"journal\":{\"name\":\"JMIR Cancer\",\"volume\":\"11 \",\"pages\":\"e69057\"},\"PeriodicalIF\":2.7000,\"publicationDate\":\"2025-09-12\",\"publicationTypes\":\"Journal Article\",\"fieldsOfStudy\":null,\"isOpenAccess\":false,\"openAccessPdf\":\"https://www.ncbi.nlm.nih.gov/pmc/articles/PMC12431160/pdf/\",\"citationCount\":\"0\",\"resultStr\":null,\"platform\":\"Semanticscholar\",\"paperid\":null,\"PeriodicalName\":\"JMIR Cancer\",\"FirstCategoryId\":\"1085\",\"ListUrlMain\":\"https://doi.org/10.2196/69057\",\"RegionNum\":0,\"RegionCategory\":null,\"ArticlePicture\":[],\"TitleCN\":null,\"AbstractTextCN\":null,\"PMCID\":null,\"EPubDate\":\"\",\"PubModel\":\"\",\"JCR\":\"Q2\",\"JCRName\":\"ONCOLOGY\",\"Score\":null,\"Total\":0}","platform":"Semanticscholar","paperid":null,"PeriodicalName":"JMIR Cancer","FirstCategoryId":"1085","ListUrlMain":"https://doi.org/10.2196/69057","RegionNum":0,"RegionCategory":null,"ArticlePicture":[],"TitleCN":null,"AbstractTextCN":null,"PMCID":null,"EPubDate":"","PubModel":"","JCR":"Q2","JCRName":"ONCOLOGY","Score":null,"Total":0}
引用次数: 0

摘要

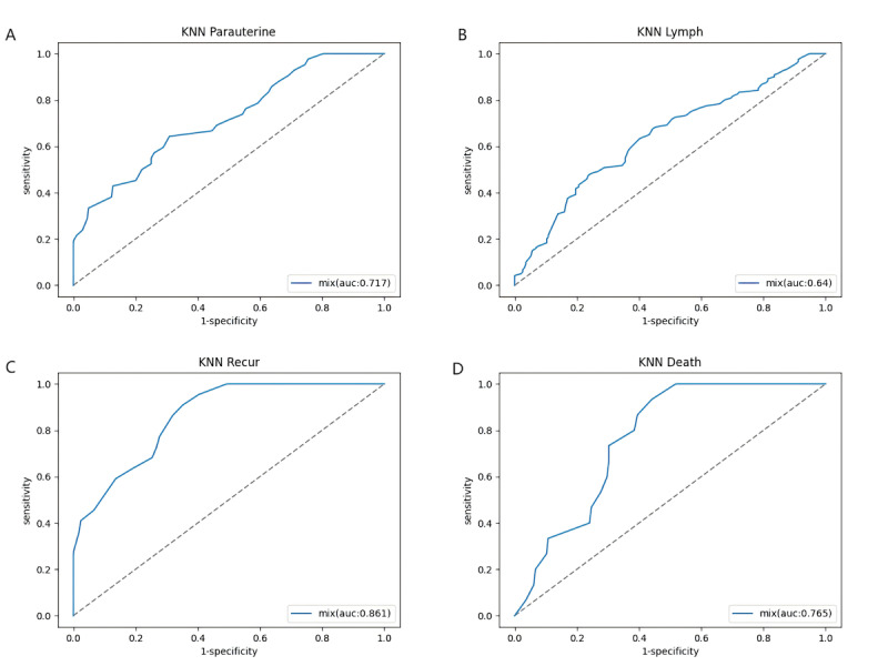
背景:机器学习(ML)在宫颈癌(CC)研究中的应用越来越广泛。然而,很少有研究将临床参数和影像学资料结合起来。同时,对于参数性侵及淋巴结转移的术前评估,以及术后预后的预测,仍迫切需要更稳健、准确的评估。目的:本研究的目的是建立一个结合临床病理变量和磁共振图像特征的综合ML模型,用于(1)术前参数浸润和淋巴结转移检测,(2)术后复发和生存预测。方法:回顾性分析2014-2022年2所三级医院250例CC患者的资料。使用7 ML模型评估变量对参数入侵、淋巴结转移、生存和复发的预测价值:k -最近邻(KNN)、支持向量机、决策树、随机森林(RF)、平衡RF、加权DT和加权KNN。通过准确性、敏感性、特异性、精密度、f1评分和受试者工作特征曲线(AUC)下面积的5倍交叉验证来评估疗效。将最优模型应用于人工智能辅助轮廓和预测系统中。结果:250例患者中,死亡11例,复发24例。(1)在术前评估中,采用平衡RF的综合模型对参数浸润的评估效果最佳(敏感性0.81,特异性0.85),而加权KNN对淋巴结转移的评估效果最佳(敏感性0.98,AUC 0.72)。(2)对于术后预后,加权KNN对复发率(准确率0.94,AUC 0.86)和死亡率(准确率0.97,AUC 0.77)也具有较高的准确性,相对平衡的敏感性分别为0.80和0.33。(3)开发人工智能辅助轮廓与预后预测系统,支持术前评估和术后预后预测。结论:临床资料与磁共振影像的结合提高了术前参数浸润检测和淋巴结转移检测的诊断能力,提高了预测CC复发和死亡率的预后能力,有助于制定个性化、精准的治疗策略。
本文章由计算机程序翻译,如有差异,请以英文原文为准。

Machine Learning for Preoperative Assessment and Postoperative Prediction in Cervical Cancer: Multicenter Retrospective Model Integrating MRI and Clinicopathological Data.

Machine Learning for Preoperative Assessment and Postoperative Prediction in Cervical Cancer: Multicenter Retrospective Model Integrating MRI and Clinicopathological Data.

Machine Learning for Preoperative Assessment and Postoperative Prediction in Cervical Cancer: Multicenter Retrospective Model Integrating MRI and Clinicopathological Data.

Machine Learning for Preoperative Assessment and Postoperative Prediction in Cervical Cancer: Multicenter Retrospective Model Integrating MRI and Clinicopathological Data.

Background: Machine learning (ML) has been increasingly applied to cervical cancer (CC) research. However, few studies have combined both clinical parameters and imaging data. At the same time, there remains an urgent need for more robust and accurate preoperative assessment of parametrial invasion and lymph node metastasis, as well as postoperative prognosis prediction.

Objective: The objective of this study is to develop an integrated ML model combining clinicopathological variables and magnetic resonance image features for (1) preoperative parametrial invasion and lymph node metastasis detection and (2) postoperative recurrence and survival prediction.

Methods: Retrospective data from 250 patients with CC (2014-2022; 2 tertiary hospitals) were analyzed. Variables were assessed for their predictive value regarding parametrial invasion, lymph node metastasis, survival, and recurrence using 7 ML models: K-nearest neighbor (KNN), support vector machine, decision tree, random forest (RF), balanced RF, weighted DT, and weighted KNN. Performance was assessed via 5-fold cross-validation using accuracy, sensitivity, specificity, precision, F1-score, and area under the receiver operating characteristic curve (AUC). The optimal models were deployed in an artificial intelligence-assisted contouring and prognosis prediction system.

Results: Among 250 women, there were 11 deaths and 24 recurrences. (1) For preoperative evaluation, the integrated model using balanced RF achieved optimal performance (sensitivity 0.81, specificity 0.85) for parametrial invasion, while weighted KNN achieved the best performance for lymph node metastasis (sensitivity 0.98, AUC 0.72). (2) For postoperative prognosis, weighted KNN also demonstrated high accuracy for recurrence (accuracy 0.94, AUC 0.86) and mortality (accuracy 0.97, AUC 0.77), with relatively balanced sensitivity of 0.80 and 0.33, respectively. (3) An artificial intelligence-assisted contouring and prognosis prediction system was developed to support preoperative evaluation and postoperative prognosis prediction.

Conclusions: The integration of clinical data and magnetic resonance images provides enhanced diagnostic capability to preoperatively detect parametrial invasion and lymph node metastasis detection and prognostic capability to predict recurrence and mortality for CC, facilitating personalized, precise treatment strategies.

求助全文
通过发布文献求助,成功后即可免费获取论文全文。 去求助
来源期刊
JMIR Cancer
JMIR Cancer ONCOLOGY-
CiteScore
4.10
自引率
0.00%
发文量
64
审稿时长
12 weeks
×
引用
GB/T 7714-2015
复制
MLA
复制
APA
复制
导出至
BibTeX EndNote RefMan NoteFirst NoteExpress
×
提示
您的信息不完整,为了账户安全,请先补充。
现在去补充
×
提示
您因"违规操作"
具体请查看互助需知
我知道了
×
提示
确定
请完成安全验证×
copy
已复制链接
快去分享给好友吧!
我知道了
右上角分享
点击右上角分享
0
联系我们:info@booksci.cn Book学术提供免费学术资源搜索服务,方便国内外学者检索中英文文献。致力于提供最便捷和优质的服务体验。 Copyright © 2023 布克学术 All rights reserved.
京ICP备2023020795号-1
ghs 京公网安备 11010802042870号
Book学术文献互助
Book学术文献互助群
群 号:604180095
Book学术官方微信