测试诊断扩展假设与基于人口的调查对抑郁症的态度在澳大利亚。

BMJ public health Pub Date : 2025-09-09 eCollection Date: 2025-01-01 DOI:10.1136/bmjph-2025-003040
Nicola Reavley, Anthony Jorm, Stephen Carbone, Ellie Tsiamis, Amy Joanna Morgan
{"title":"测试诊断扩展假设与基于人口的调查对抑郁症的态度在澳大利亚。","authors":"Nicola Reavley, Anthony Jorm, Stephen Carbone, Ellie Tsiamis, Amy Joanna Morgan","doi":"10.1136/bmjph-2025-003040","DOIUrl":null,"url":null,"abstract":"<p><strong>Introduction: </strong>There is growing concern about the increasing use of psychiatric terminology to describe behaviours and experiences that do not meet criteria for diagnosis of a mental illness. We aimed to conduct a nationally representative online cross-sectional survey exploring diagnostic labelling of vignettes describing a person with different levels of depression symptoms or risk and whether this was associated with mental health-related intended actions and psychological distress.</p><p><strong>Methods: </strong>Australian respondents (n=6142) were randomly assigned to read one of five vignettes describing a person in the following situations: (1) currently well (family history of depression), (2) currently well (own history of depression), (3) subthreshold depressive symptoms, (4) major depressive disorder (MDD) and (5) MDD with suicidal thoughts. They were asked what, if anything, was wrong with this person. Further questions covered intentions to seek professional help or take self-help actions; psychological distress and personal experience of depression.</p><p><strong>Results: </strong>Labelling non-clinical or subthreshold vignettes with diagnostic labels was relatively common, with a depression label applied by 19.8% [99% CI 16.6, 23.6], 31.3% [99% CI 27.4, 35.6], 47.7% [99% CI 43.4, 52.0], 68.6 [99% CI 64.5, 72.5] and 77.2 [99% CI 73.1, 80.7] of respondents to vignettes 1 to 5 respectively. Younger people were more likely to give a depression label. Across all vignettes, labelling was associated with a greater likelihood of intentions to speak to a health professional or take medication but not with psychological distress or reductions in effective self-help.</p><p><strong>Conclusions: </strong>Findings suggest that public messages should have a more nuanced approach, making it clear that, for some mental health difficulties, non-medical solutions may be more appropriate, while also taking care not to increase the proportion of people with more severe problems who meet diagnostic criteria but do not seek help.</p>","PeriodicalId":101362,"journal":{"name":"BMJ public health","volume":"3 2","pages":"e003040"},"PeriodicalIF":0.0000,"publicationDate":"2025-09-09","publicationTypes":"Journal Article","fieldsOfStudy":null,"isOpenAccess":false,"openAccessPdf":"https://www.ncbi.nlm.nih.gov/pmc/articles/PMC12421594/pdf/","citationCount":"0","resultStr":"{\"title\":\"Testing the diagnostic expansion hypothesis with a population-based survey of attitudes to depression in Australia.\",\"authors\":\"Nicola Reavley, Anthony Jorm, Stephen Carbone, Ellie Tsiamis, Amy Joanna Morgan\",\"doi\":\"10.1136/bmjph-2025-003040\",\"DOIUrl\":null,\"url\":null,\"abstract\":\"<p><strong>Introduction: </strong>There is growing concern about the increasing use of psychiatric terminology to describe behaviours and experiences that do not meet criteria for diagnosis of a mental illness. We aimed to conduct a nationally representative online cross-sectional survey exploring diagnostic labelling of vignettes describing a person with different levels of depression symptoms or risk and whether this was associated with mental health-related intended actions and psychological distress.</p><p><strong>Methods: </strong>Australian respondents (n=6142) were randomly assigned to read one of five vignettes describing a person in the following situations: (1) currently well (family history of depression), (2) currently well (own history of depression), (3) subthreshold depressive symptoms, (4) major depressive disorder (MDD) and (5) MDD with suicidal thoughts. They were asked what, if anything, was wrong with this person. Further questions covered intentions to seek professional help or take self-help actions; psychological distress and personal experience of depression.</p><p><strong>Results: </strong>Labelling non-clinical or subthreshold vignettes with diagnostic labels was relatively common, with a depression label applied by 19.8% [99% CI 16.6, 23.6], 31.3% [99% CI 27.4, 35.6], 47.7% [99% CI 43.4, 52.0], 68.6 [99% CI 64.5, 72.5] and 77.2 [99% CI 73.1, 80.7] of respondents to vignettes 1 to 5 respectively. Younger people were more likely to give a depression label. Across all vignettes, labelling was associated with a greater likelihood of intentions to speak to a health professional or take medication but not with psychological distress or reductions in effective self-help.</p><p><strong>Conclusions: </strong>Findings suggest that public messages should have a more nuanced approach, making it clear that, for some mental health difficulties, non-medical solutions may be more appropriate, while also taking care not to increase the proportion of people with more severe problems who meet diagnostic criteria but do not seek help.</p>\",\"PeriodicalId\":101362,\"journal\":{\"name\":\"BMJ public health\",\"volume\":\"3 2\",\"pages\":\"e003040\"},\"PeriodicalIF\":0.0000,\"publicationDate\":\"2025-09-09\",\"publicationTypes\":\"Journal Article\",\"fieldsOfStudy\":null,\"isOpenAccess\":false,\"openAccessPdf\":\"https://www.ncbi.nlm.nih.gov/pmc/articles/PMC12421594/pdf/\",\"citationCount\":\"0\",\"resultStr\":null,\"platform\":\"Semanticscholar\",\"paperid\":null,\"PeriodicalName\":\"BMJ public health\",\"FirstCategoryId\":\"1085\",\"ListUrlMain\":\"https://doi.org/10.1136/bmjph-2025-003040\",\"RegionNum\":0,\"RegionCategory\":null,\"ArticlePicture\":[],\"TitleCN\":null,\"AbstractTextCN\":null,\"PMCID\":null,\"EPubDate\":\"2025/1/1 0:00:00\",\"PubModel\":\"eCollection\",\"JCR\":\"\",\"JCRName\":\"\",\"Score\":null,\"Total\":0}","platform":"Semanticscholar","paperid":null,"PeriodicalName":"BMJ public health","FirstCategoryId":"1085","ListUrlMain":"https://doi.org/10.1136/bmjph-2025-003040","RegionNum":0,"RegionCategory":null,"ArticlePicture":[],"TitleCN":null,"AbstractTextCN":null,"PMCID":null,"EPubDate":"2025/1/1 0:00:00","PubModel":"eCollection","JCR":"","JCRName":"","Score":null,"Total":0}
引用次数: 0

摘要

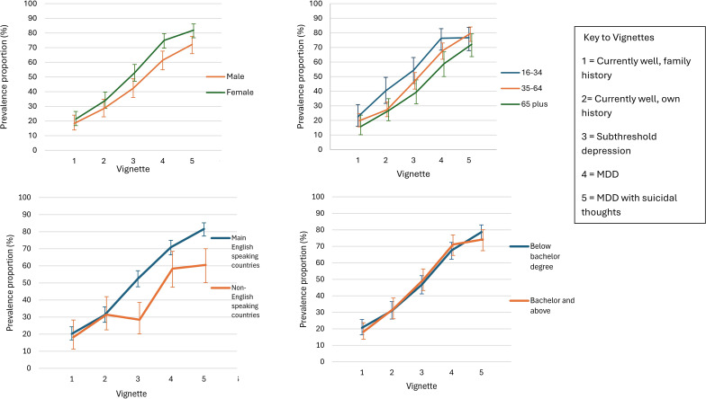
导言:越来越多的精神病学术语被用来描述不符合精神疾病诊断标准的行为和经历,这引起了人们的关注。我们的目的是进行一项具有全国代表性的在线横断面调查,探讨描述具有不同程度抑郁症状或风险的人的小插曲的诊断标签,以及这是否与心理健康相关的预期行为和心理困扰有关。方法:澳大利亚受访者(n=6142)被随机分配阅读下列情况下描述一个人的五个小短文中的一个:(1)目前良好(抑郁症家族史),(2)目前良好(自己的抑郁症史),(3)阈下抑郁症状,(4)重度抑郁症(MDD)和(5)重度抑郁症伴自杀念头。他们被问到这个人有什么问题,如果有的话。进一步的问题包括寻求专业帮助或采取自助行动的意图;心理困扰和抑郁症的个人经历。结果:用诊断标签标记非临床或阈下小片段相对常见,在小片段1至5的受访者中,分别有19.8% [99% CI 16.6, 23.6]、31.3% [99% CI 27.4, 35.6]、47.7% [99% CI 43.4, 52.0]、68.6 [99% CI 64.5, 72.5]和77.2 [99% CI 73.1, 80.7]的人使用抑郁标签。年轻人更有可能给自己贴上抑郁症的标签。在所有的小视频中,标签与更有可能与健康专业人士交谈或服用药物有关,但与心理困扰或有效自助的减少无关。结论:研究结果表明,公共信息应该采用更细致入微的方式,明确指出,对于某些心理健康问题,非医疗解决方案可能更合适,同时也要注意,不要增加符合诊断标准但不寻求帮助的更严重问题患者的比例。
本文章由计算机程序翻译,如有差异,请以英文原文为准。

Testing the diagnostic expansion hypothesis with a population-based survey of attitudes to depression in Australia.

Testing the diagnostic expansion hypothesis with a population-based survey of attitudes to depression in Australia.

Testing the diagnostic expansion hypothesis with a population-based survey of attitudes to depression in Australia.

Testing the diagnostic expansion hypothesis with a population-based survey of attitudes to depression in Australia.

Introduction: There is growing concern about the increasing use of psychiatric terminology to describe behaviours and experiences that do not meet criteria for diagnosis of a mental illness. We aimed to conduct a nationally representative online cross-sectional survey exploring diagnostic labelling of vignettes describing a person with different levels of depression symptoms or risk and whether this was associated with mental health-related intended actions and psychological distress.

Methods: Australian respondents (n=6142) were randomly assigned to read one of five vignettes describing a person in the following situations: (1) currently well (family history of depression), (2) currently well (own history of depression), (3) subthreshold depressive symptoms, (4) major depressive disorder (MDD) and (5) MDD with suicidal thoughts. They were asked what, if anything, was wrong with this person. Further questions covered intentions to seek professional help or take self-help actions; psychological distress and personal experience of depression.

Results: Labelling non-clinical or subthreshold vignettes with diagnostic labels was relatively common, with a depression label applied by 19.8% [99% CI 16.6, 23.6], 31.3% [99% CI 27.4, 35.6], 47.7% [99% CI 43.4, 52.0], 68.6 [99% CI 64.5, 72.5] and 77.2 [99% CI 73.1, 80.7] of respondents to vignettes 1 to 5 respectively. Younger people were more likely to give a depression label. Across all vignettes, labelling was associated with a greater likelihood of intentions to speak to a health professional or take medication but not with psychological distress or reductions in effective self-help.

Conclusions: Findings suggest that public messages should have a more nuanced approach, making it clear that, for some mental health difficulties, non-medical solutions may be more appropriate, while also taking care not to increase the proportion of people with more severe problems who meet diagnostic criteria but do not seek help.

求助全文
通过发布文献求助,成功后即可免费获取论文全文。 去求助
来源期刊
自引率
0.00%
发文量
0
×
引用
GB/T 7714-2015
复制
MLA
复制
APA
复制
导出至
BibTeX EndNote RefMan NoteFirst NoteExpress
×
提示
您的信息不完整,为了账户安全,请先补充。
现在去补充
×
提示
您因"违规操作"
具体请查看互助需知
我知道了
×
提示
确定
请完成安全验证×
copy
已复制链接
快去分享给好友吧!
我知道了
右上角分享
点击右上角分享
0
联系我们:info@booksci.cn Book学术提供免费学术资源搜索服务,方便国内外学者检索中英文文献。致力于提供最便捷和优质的服务体验。 Copyright © 2023 布克学术 All rights reserved.
京ICP备2023020795号-1
ghs 京公网安备 11010802042870号
Book学术文献互助
Book学术文献互助群
群 号:604180095
Book学术官方微信