呼吸控制对小儿肝横波弹性和弥散的影响。

IF 2.5 3区 医学 Q2 RADIOLOGY, NUCLEAR MEDICINE & MEDICAL IMAGING
Ultrasonography Pub Date : 2025-09-01 Epub Date: 2025-08-28 DOI:10.14366/usg.25037
Chanyoung Rhee, Seunghyun Lee, Young Hun Choi, Jae-Yeon Hwang, Jung-Eun Cheon
{"title":"呼吸控制对小儿肝横波弹性和弥散的影响。","authors":"Chanyoung Rhee, Seunghyun Lee, Young Hun Choi, Jae-Yeon Hwang, Jung-Eun Cheon","doi":"10.14366/usg.25037","DOIUrl":null,"url":null,"abstract":"<p><strong>Purpose: </strong>This study aimed to evaluate the effect of breath control on the reliability of two-dimensional shear wave elastography (2D-SWE) and shear wave dispersion (SWD) measurements in pediatric patients.</p><p><strong>Methods: </strong>This study included a retrospective cohort of 163 children and a prospective cohort of 27 children (aged 8-17 years). All participants underwent 2D-SWE and SWD under both free-breathing and breath-hold conditions between September 2021 and February 2023. The prospective cohort also underwent magnetic resonance elastography (MRE). Liver stiffness and dispersion values were compared between respiratory conditions. Inter- and intra-rater agreements were assessed, and correlations with MRE were analyzed in the prospective cohort.</p><p><strong>Results: </strong>Liver stiffness and dispersion values were significantly higher during free-breathing compared to breath-hold (mean differences: 0.22 kPa and 0.39 m/s/kHz, respectively; both P<0.01). Breath-hold improved inter-rater agreement for 2D-SWE (intraclass correlation coefficient [ICC], 0.94 vs. 0.83; P=0.005) and SWD (ICC, 0.85 vs. 0.70; P=0.048). Intra-rater agreement for 2D-SWE (ICC, 0.88 vs. 0.88; P>0.99) and SWD (ICC, 0.70 vs. 0.74; P=0.396) remained moderate to good and did not differ significantly between conditions. The correlation between 2D-SWE and MRE was stronger under breath-hold than free-breathing (r=0.73 vs. r=0.56), although this difference was not statistically significant (P=0.299).</p><p><strong>Conclusion: </strong>Breath-holding increases the reliability of pediatric 2D-SWE and SWD by improving inter-rater agreement and correlation with MRE. However, free-breathing also demonstrates comparable reproducibility with minimal bias, supporting its clinical feasibility for use in uncooperative pediatric patients.</p>","PeriodicalId":54227,"journal":{"name":"Ultrasonography","volume":"44 5","pages":"380-388"},"PeriodicalIF":2.5000,"publicationDate":"2025-09-01","publicationTypes":"Journal Article","fieldsOfStudy":null,"isOpenAccess":false,"openAccessPdf":"https://www.ncbi.nlm.nih.gov/pmc/articles/PMC12457956/pdf/","citationCount":"0","resultStr":"{\"title\":\"Effect of breath control on hepatic shear wave elasticity and dispersion in pediatric patients.\",\"authors\":\"Chanyoung Rhee, Seunghyun Lee, Young Hun Choi, Jae-Yeon Hwang, Jung-Eun Cheon\",\"doi\":\"10.14366/usg.25037\",\"DOIUrl\":null,\"url\":null,\"abstract\":\"<p><strong>Purpose: </strong>This study aimed to evaluate the effect of breath control on the reliability of two-dimensional shear wave elastography (2D-SWE) and shear wave dispersion (SWD) measurements in pediatric patients.</p><p><strong>Methods: </strong>This study included a retrospective cohort of 163 children and a prospective cohort of 27 children (aged 8-17 years). All participants underwent 2D-SWE and SWD under both free-breathing and breath-hold conditions between September 2021 and February 2023. The prospective cohort also underwent magnetic resonance elastography (MRE). Liver stiffness and dispersion values were compared between respiratory conditions. Inter- and intra-rater agreements were assessed, and correlations with MRE were analyzed in the prospective cohort.</p><p><strong>Results: </strong>Liver stiffness and dispersion values were significantly higher during free-breathing compared to breath-hold (mean differences: 0.22 kPa and 0.39 m/s/kHz, respectively; both P<0.01). Breath-hold improved inter-rater agreement for 2D-SWE (intraclass correlation coefficient [ICC], 0.94 vs. 0.83; P=0.005) and SWD (ICC, 0.85 vs. 0.70; P=0.048). Intra-rater agreement for 2D-SWE (ICC, 0.88 vs. 0.88; P>0.99) and SWD (ICC, 0.70 vs. 0.74; P=0.396) remained moderate to good and did not differ significantly between conditions. The correlation between 2D-SWE and MRE was stronger under breath-hold than free-breathing (r=0.73 vs. r=0.56), although this difference was not statistically significant (P=0.299).</p><p><strong>Conclusion: </strong>Breath-holding increases the reliability of pediatric 2D-SWE and SWD by improving inter-rater agreement and correlation with MRE. However, free-breathing also demonstrates comparable reproducibility with minimal bias, supporting its clinical feasibility for use in uncooperative pediatric patients.</p>\",\"PeriodicalId\":54227,\"journal\":{\"name\":\"Ultrasonography\",\"volume\":\"44 5\",\"pages\":\"380-388\"},\"PeriodicalIF\":2.5000,\"publicationDate\":\"2025-09-01\",\"publicationTypes\":\"Journal Article\",\"fieldsOfStudy\":null,\"isOpenAccess\":false,\"openAccessPdf\":\"https://www.ncbi.nlm.nih.gov/pmc/articles/PMC12457956/pdf/\",\"citationCount\":\"0\",\"resultStr\":null,\"platform\":\"Semanticscholar\",\"paperid\":null,\"PeriodicalName\":\"Ultrasonography\",\"FirstCategoryId\":\"3\",\"ListUrlMain\":\"https://doi.org/10.14366/usg.25037\",\"RegionNum\":3,\"RegionCategory\":\"医学\",\"ArticlePicture\":[],\"TitleCN\":null,\"AbstractTextCN\":null,\"PMCID\":null,\"EPubDate\":\"2025/8/28 0:00:00\",\"PubModel\":\"Epub\",\"JCR\":\"Q2\",\"JCRName\":\"RADIOLOGY, NUCLEAR MEDICINE & MEDICAL IMAGING\",\"Score\":null,\"Total\":0}","platform":"Semanticscholar","paperid":null,"PeriodicalName":"Ultrasonography","FirstCategoryId":"3","ListUrlMain":"https://doi.org/10.14366/usg.25037","RegionNum":3,"RegionCategory":"医学","ArticlePicture":[],"TitleCN":null,"AbstractTextCN":null,"PMCID":null,"EPubDate":"2025/8/28 0:00:00","PubModel":"Epub","JCR":"Q2","JCRName":"RADIOLOGY, NUCLEAR MEDICINE & MEDICAL IMAGING","Score":null,"Total":0}
引用次数: 0

摘要

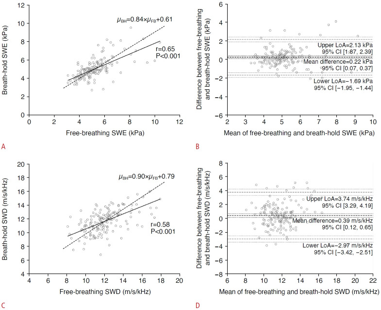
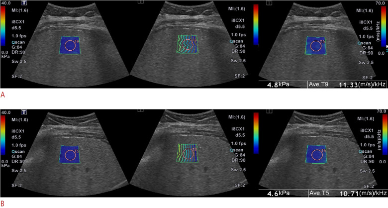
目的:本研究旨在评估呼吸控制对儿科患者二维横波弹性成像(2D-SWE)和横波弥散(SWD)测量可靠性的影响。方法:本研究包括163名儿童的回顾性队列和27名儿童的前瞻性队列(8-17岁)。在2021年9月至2023年2月期间,所有参与者都在自由呼吸和屏气条件下进行了2D-SWE和SWD。前瞻性队列还接受了磁共振弹性成像(MRE)。比较不同呼吸条件下肝脏硬度和弥散值。评估了评分者之间和评分者内部的一致性,并在前瞻性队列中分析了与MRE的相关性。结果:与屏气相比,自由呼吸时肝脏僵硬度和弥散度值明显更高(平均差异分别为0.22 kPa和0.39 m/s/kHz;均为P0.99), SWD (ICC, 0.70 vs. 0.74; P=0.396)保持中等至良好,在不同条件下无显著差异。屏气状态下2D-SWE与MRE的相关性强于自由呼吸状态(r=0.73 vs r=0.56),但差异无统计学意义(P=0.299)。结论:屏气可提高儿童2D-SWE和SWD的可靠性,提高了评分间的一致性以及与MRE的相关性。然而,自由呼吸法在最小偏倚的情况下也显示出可比性,支持其在不合作儿科患者中的临床可行性。
本文章由计算机程序翻译,如有差异,请以英文原文为准。

Effect of breath control on hepatic shear wave elasticity and dispersion in pediatric patients.

Effect of breath control on hepatic shear wave elasticity and dispersion in pediatric patients.

Effect of breath control on hepatic shear wave elasticity and dispersion in pediatric patients.

Effect of breath control on hepatic shear wave elasticity and dispersion in pediatric patients.

Purpose: This study aimed to evaluate the effect of breath control on the reliability of two-dimensional shear wave elastography (2D-SWE) and shear wave dispersion (SWD) measurements in pediatric patients.

Methods: This study included a retrospective cohort of 163 children and a prospective cohort of 27 children (aged 8-17 years). All participants underwent 2D-SWE and SWD under both free-breathing and breath-hold conditions between September 2021 and February 2023. The prospective cohort also underwent magnetic resonance elastography (MRE). Liver stiffness and dispersion values were compared between respiratory conditions. Inter- and intra-rater agreements were assessed, and correlations with MRE were analyzed in the prospective cohort.

Results: Liver stiffness and dispersion values were significantly higher during free-breathing compared to breath-hold (mean differences: 0.22 kPa and 0.39 m/s/kHz, respectively; both P<0.01). Breath-hold improved inter-rater agreement for 2D-SWE (intraclass correlation coefficient [ICC], 0.94 vs. 0.83; P=0.005) and SWD (ICC, 0.85 vs. 0.70; P=0.048). Intra-rater agreement for 2D-SWE (ICC, 0.88 vs. 0.88; P>0.99) and SWD (ICC, 0.70 vs. 0.74; P=0.396) remained moderate to good and did not differ significantly between conditions. The correlation between 2D-SWE and MRE was stronger under breath-hold than free-breathing (r=0.73 vs. r=0.56), although this difference was not statistically significant (P=0.299).

Conclusion: Breath-holding increases the reliability of pediatric 2D-SWE and SWD by improving inter-rater agreement and correlation with MRE. However, free-breathing also demonstrates comparable reproducibility with minimal bias, supporting its clinical feasibility for use in uncooperative pediatric patients.

求助全文
通过发布文献求助,成功后即可免费获取论文全文。 去求助
来源期刊
Ultrasonography
Ultrasonography Medicine-Radiology, Nuclear Medicine and Imaging
CiteScore
5.10
自引率
6.50%
发文量
78
审稿时长
15 weeks
期刊介绍: Ultrasonography, the official English-language journal of the Korean Society of Ultrasound in Medicine (KSUM), is an international peer-reviewed academic journal dedicated to practice, research, technology, and education dealing with medical ultrasound. It is renamed from the Journal of Korean Society of Ultrasound in Medicine in January 2014, and published four times per year: January 1, April 1, July 1, and October 1. Original articles, technical notes, topical reviews, perspectives, pictorial essays, and timely editorial materials are published in Ultrasonography covering state-of-the-art content. Ultrasonography aims to provide updated information on new diagnostic concepts and technical developments, including experimental animal studies using new equipment in addition to well-designed reviews of contemporary issues in patient care. Along with running KSUM Open, the annual international congress of KSUM, Ultrasonography also serves as a medium for cooperation among physicians and specialists from around the world who are focusing on various ultrasound technology and disease problems and relevant basic science.
×
引用
GB/T 7714-2015
复制
MLA
复制
APA
复制
导出至
BibTeX EndNote RefMan NoteFirst NoteExpress
×
提示
您的信息不完整,为了账户安全,请先补充。
现在去补充
×
提示
您因"违规操作"
具体请查看互助需知
我知道了
×
提示
确定
请完成安全验证×
copy
已复制链接
快去分享给好友吧!
我知道了
右上角分享
点击右上角分享
0
联系我们:info@booksci.cn Book学术提供免费学术资源搜索服务,方便国内外学者检索中英文文献。致力于提供最便捷和优质的服务体验。 Copyright © 2023 布克学术 All rights reserved.
京ICP备2023020795号-1
ghs 京公网安备 11010802042870号
Book学术文献互助
Book学术文献互助群
群 号:604180095
Book学术官方微信