青少年特发性脊柱侧凸手术后加速康复方案(PARIS):可行性研究。

IF 3.1 Q1 ORTHOPEDICS
Jodie Walters, Gareth Stephens, Adrian Gardner
{"title":"青少年特发性脊柱侧凸手术后加速康复方案(PARIS):可行性研究。","authors":"Jodie Walters, Gareth Stephens, Adrian Gardner","doi":"10.1302/2633-1462.69.BJO-2025-0012.R1","DOIUrl":null,"url":null,"abstract":"<p><strong>Aims: </strong>Almost 50% of adolescents who undergo surgery for adolescent idiopathic scoliosis (AIS) do not return to their preoperative levels of physical activity. Considering the potential long-term impacts of surgery, testing postoperative physiotherapy interventions should be a priority in this group. This study aimed to evaluate the feasibility of a future randomized controlled trial (RCT), which compares the effectiveness of an accelerated physiotherapist-led rehabilitation protocol to standard care for patients following surgical correction of AIS.</p><p><strong>Methods: </strong>A total of 23 participants with AIS were recruited from surgical waiting lists at a single elective orthopaedic hospital. Participants were randomly allocated postoperatively to either a physiotherapist-led intervention of 12 sessions or standard care. Patient-reported outcome measures (PROMs), including Scoliosis Research Society 22-point revised questionnaire, were collected at baseline, six months, and 12 months. Recruitment rate, retention rate, response rate to PROMs, treatment adherence, and safety of the intervention via adverse events were also measured.</p><p><strong>Results: </strong>Overall, 62% of eligible individuals were consented and there were three withdrawals (surgical delay, unable to travel to appointments). A total of 20 participants remained (intervention n = 9, standard care n = 11). The retention rate was 70% at six months and 65% at 12 months. Overall, treatment adherence was 76%. There were no adverse events related to the intervention.</p><p><strong>Conclusion: </strong>This feasibility study has indicated that an accelerated physiotherapist-led rehabilitation protocol following surgery for AIS is safe and that patients can be successfully identified, recruited, and randomized to a future RCT. The next iteration of this intervention protocol needs to be developed with relevant stakeholders, including patients and the public, to improve retention rates and treatment adherence.</p>","PeriodicalId":34103,"journal":{"name":"Bone & Joint Open","volume":"6 9","pages":"1101-1108"},"PeriodicalIF":3.1000,"publicationDate":"2025-09-12","publicationTypes":"Journal Article","fieldsOfStudy":null,"isOpenAccess":false,"openAccessPdf":"https://www.ncbi.nlm.nih.gov/pmc/articles/PMC12425603/pdf/","citationCount":"0","resultStr":"{\"title\":\"A Protocol of Accelerated Rehabilitation following surgery for adolescent Idiopathic Scoliosis (PARIS) : a feasibility study.\",\"authors\":\"Jodie Walters, Gareth Stephens, Adrian Gardner\",\"doi\":\"10.1302/2633-1462.69.BJO-2025-0012.R1\",\"DOIUrl\":null,\"url\":null,\"abstract\":\"<p><strong>Aims: </strong>Almost 50% of adolescents who undergo surgery for adolescent idiopathic scoliosis (AIS) do not return to their preoperative levels of physical activity. Considering the potential long-term impacts of surgery, testing postoperative physiotherapy interventions should be a priority in this group. This study aimed to evaluate the feasibility of a future randomized controlled trial (RCT), which compares the effectiveness of an accelerated physiotherapist-led rehabilitation protocol to standard care for patients following surgical correction of AIS.</p><p><strong>Methods: </strong>A total of 23 participants with AIS were recruited from surgical waiting lists at a single elective orthopaedic hospital. Participants were randomly allocated postoperatively to either a physiotherapist-led intervention of 12 sessions or standard care. Patient-reported outcome measures (PROMs), including Scoliosis Research Society 22-point revised questionnaire, were collected at baseline, six months, and 12 months. Recruitment rate, retention rate, response rate to PROMs, treatment adherence, and safety of the intervention via adverse events were also measured.</p><p><strong>Results: </strong>Overall, 62% of eligible individuals were consented and there were three withdrawals (surgical delay, unable to travel to appointments). A total of 20 participants remained (intervention n = 9, standard care n = 11). The retention rate was 70% at six months and 65% at 12 months. Overall, treatment adherence was 76%. There were no adverse events related to the intervention.</p><p><strong>Conclusion: </strong>This feasibility study has indicated that an accelerated physiotherapist-led rehabilitation protocol following surgery for AIS is safe and that patients can be successfully identified, recruited, and randomized to a future RCT. The next iteration of this intervention protocol needs to be developed with relevant stakeholders, including patients and the public, to improve retention rates and treatment adherence.</p>\",\"PeriodicalId\":34103,\"journal\":{\"name\":\"Bone & Joint Open\",\"volume\":\"6 9\",\"pages\":\"1101-1108\"},\"PeriodicalIF\":3.1000,\"publicationDate\":\"2025-09-12\",\"publicationTypes\":\"Journal Article\",\"fieldsOfStudy\":null,\"isOpenAccess\":false,\"openAccessPdf\":\"https://www.ncbi.nlm.nih.gov/pmc/articles/PMC12425603/pdf/\",\"citationCount\":\"0\",\"resultStr\":null,\"platform\":\"Semanticscholar\",\"paperid\":null,\"PeriodicalName\":\"Bone & Joint Open\",\"FirstCategoryId\":\"1085\",\"ListUrlMain\":\"https://doi.org/10.1302/2633-1462.69.BJO-2025-0012.R1\",\"RegionNum\":0,\"RegionCategory\":null,\"ArticlePicture\":[],\"TitleCN\":null,\"AbstractTextCN\":null,\"PMCID\":null,\"EPubDate\":\"\",\"PubModel\":\"\",\"JCR\":\"Q1\",\"JCRName\":\"ORTHOPEDICS\",\"Score\":null,\"Total\":0}","platform":"Semanticscholar","paperid":null,"PeriodicalName":"Bone & Joint Open","FirstCategoryId":"1085","ListUrlMain":"https://doi.org/10.1302/2633-1462.69.BJO-2025-0012.R1","RegionNum":0,"RegionCategory":null,"ArticlePicture":[],"TitleCN":null,"AbstractTextCN":null,"PMCID":null,"EPubDate":"","PubModel":"","JCR":"Q1","JCRName":"ORTHOPEDICS","Score":null,"Total":0}
引用次数: 0

摘要

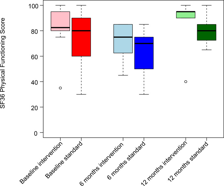
目的:近50%接受青少年特发性脊柱侧凸(AIS)手术的青少年不能恢复到术前的身体活动水平。考虑到手术的潜在长期影响,测试术后物理治疗干预措施应该是该组的优先事项。本研究旨在评估未来随机对照试验(RCT)的可行性,该试验比较了AIS手术矫正后患者加速物理治疗师主导的康复方案与标准护理的有效性。方法:从一家骨科择期医院的手术候诊名单中招募了23名AIS患者。术后,参与者被随机分配到物理治疗师主导的12次干预或标准治疗中。在基线、6个月和12个月收集患者报告的结果测量(PROMs),包括脊柱侧凸研究协会22点修订问卷。招募率,保留率,对PROMs的反应率,治疗依从性和通过不良事件进行干预的安全性也进行了测量。结果:总体而言,62%的符合条件的个体同意,有三次退出(手术延误,无法前往预约)。总共剩下20名受试者(干预n = 9,标准治疗n = 11)。6个月留存率为70%,12个月留存率为65%。总体而言,治疗依从性为76%。没有与干预相关的不良事件。结论:这项可行性研究表明,AIS术后由物理治疗师主导的加速康复方案是安全的,患者可以成功识别、招募并随机分配到未来的随机对照试验中。这一干预方案的下一次迭代需要与包括患者和公众在内的相关利益攸关方共同制定,以提高保留率和治疗依从性。
本文章由计算机程序翻译,如有差异,请以英文原文为准。

A Protocol of Accelerated Rehabilitation following surgery for adolescent Idiopathic Scoliosis (PARIS) : a feasibility study.

A Protocol of Accelerated Rehabilitation following surgery for adolescent Idiopathic Scoliosis (PARIS) : a feasibility study.

A Protocol of Accelerated Rehabilitation following surgery for adolescent Idiopathic Scoliosis (PARIS) : a feasibility study.

A Protocol of Accelerated Rehabilitation following surgery for adolescent Idiopathic Scoliosis (PARIS) : a feasibility study.

Aims: Almost 50% of adolescents who undergo surgery for adolescent idiopathic scoliosis (AIS) do not return to their preoperative levels of physical activity. Considering the potential long-term impacts of surgery, testing postoperative physiotherapy interventions should be a priority in this group. This study aimed to evaluate the feasibility of a future randomized controlled trial (RCT), which compares the effectiveness of an accelerated physiotherapist-led rehabilitation protocol to standard care for patients following surgical correction of AIS.

Methods: A total of 23 participants with AIS were recruited from surgical waiting lists at a single elective orthopaedic hospital. Participants were randomly allocated postoperatively to either a physiotherapist-led intervention of 12 sessions or standard care. Patient-reported outcome measures (PROMs), including Scoliosis Research Society 22-point revised questionnaire, were collected at baseline, six months, and 12 months. Recruitment rate, retention rate, response rate to PROMs, treatment adherence, and safety of the intervention via adverse events were also measured.

Results: Overall, 62% of eligible individuals were consented and there were three withdrawals (surgical delay, unable to travel to appointments). A total of 20 participants remained (intervention n = 9, standard care n = 11). The retention rate was 70% at six months and 65% at 12 months. Overall, treatment adherence was 76%. There were no adverse events related to the intervention.

Conclusion: This feasibility study has indicated that an accelerated physiotherapist-led rehabilitation protocol following surgery for AIS is safe and that patients can be successfully identified, recruited, and randomized to a future RCT. The next iteration of this intervention protocol needs to be developed with relevant stakeholders, including patients and the public, to improve retention rates and treatment adherence.

求助全文
通过发布文献求助,成功后即可免费获取论文全文。 去求助
来源期刊
Bone & Joint Open
Bone & Joint Open ORTHOPEDICS-
CiteScore
5.10
自引率
0.00%
发文量
0
审稿时长
8 weeks
×
引用
GB/T 7714-2015
复制
MLA
复制
APA
复制
导出至
BibTeX EndNote RefMan NoteFirst NoteExpress
×
提示
您的信息不完整,为了账户安全,请先补充。
现在去补充
×
提示
您因"违规操作"
具体请查看互助需知
我知道了
×
提示
确定
请完成安全验证×
copy
已复制链接
快去分享给好友吧!
我知道了
右上角分享
点击右上角分享
0
联系我们:info@booksci.cn Book学术提供免费学术资源搜索服务,方便国内外学者检索中英文文献。致力于提供最便捷和优质的服务体验。 Copyright © 2023 布克学术 All rights reserved.
京ICP备2023020795号-1
ghs 京公网安备 11010802042870号
Book学术文献互助
Book学术文献互助群
群 号:604180095
Book学术官方微信