维妥乐联合阿扎胞苷治疗老年复发性急性髓性白血病疗效观察。

IF 1.5 4区 医学 Q3 HEMATOLOGY
Mengni Yan, Gang Wang, Jiaheng Wang, Linjuan Xu
{"title":"维妥乐联合阿扎胞苷治疗老年复发性急性髓性白血病疗效观察。","authors":"Mengni Yan, Gang Wang, Jiaheng Wang, Linjuan Xu","doi":"10.4084/MJHID.2025.058","DOIUrl":null,"url":null,"abstract":"<p><strong>Background: </strong>Elderly patients with relapsed acute myeloid leukemia (AML) have limited treatment options and a poor prognosis. Venetoclax combined with azacitidine has shown promising activity in newly diagnosed or relapsed/refractory AML, but real-world data on older populations remain scarce. This study aimed to evaluate the efficacy, safety, and prognostic factors - including select blood biomarkers - of venetoclax plus azacitidine in elderly patients with relapsed AML.</p><p><strong>Methods: </strong>We conducted a single-center retrospective review of patients aged ≥65 years diagnosed with relapsed AML who received venetoclax plus azacitidine between January 2018 and December 2022. Patient demographics, baseline disease characteristics, and treatment details were collected. Blood biomarkers, such as lactate dehydrogenase (LDH), C-reactive protein (CRP), and selected molecular markers (including FLT3-ITD and NPM1 mutations), were also assessed at baseline to evaluate their prognostic value. The primary endpoint was the overall response rate (ORR), defined as the sum of complete Remission (CR) and CR with incomplete hematologic recovery (CRi). Secondary endpoints included overall survival (OS), event-free survival (EFS), and safety. Prognostic factors were identified through univariate and multivariate analyses using Cox proportional hazards models. Survival curves were constructed via the Kaplan-Meier method.</p><p><strong>Results: </strong>A total of 50 patients (median age, 72 years; range, 65-82) met the inclusion criteria. The ORR was 60% (40% CR and 20% CRi). The median OS was 9.2 months (95% CI: 6.8-11.5), and the median EFS was 6.0 months (95% CI: 4.2-8.3). Common Grade 3-4 adverse events included neutropenia (46%) and thrombocytopenia (32%). The 30-day treatment-related mortality rate was 4%. Elevated baseline LDH (≥ the upper limit of normal) was associated with reduced OS (p=0.03). Patients with high CRP levels and/or adverse molecular markers, such as FLT3-ITD positivity, also showed a trend toward poorer survival, which, however, did not reach statistical significance in the multivariate model. Multivariate analysis confirmed poor Eastern Cooperative Oncology Group (ECOG) performance status, baseline LDH level, and adverse cytogenetics as independent predictors of reduced OS.</p><p><strong>Conclusion: </strong>Venetoclax combined with azacitidine demonstrated encouraging efficacy and manageable toxicity in this retrospective analysis of elderly patients with relapsed AML. Elevated LDH and adverse molecular/cytogenetic profiles were associated with worse outcomes. These findings highlight the importance of integrating blood biomarker assessment into routine evaluation and suggest venetoclax-based regimens may be a viable therapeutic option in older, relapsed AML populations. Prospective multicenter studies are warranted to confirm these results and refine patient selection.</p>","PeriodicalId":18498,"journal":{"name":"Mediterranean Journal of Hematology and Infectious Diseases","volume":"17 1","pages":"e2025058"},"PeriodicalIF":1.5000,"publicationDate":"2025-09-01","publicationTypes":"Journal Article","fieldsOfStudy":null,"isOpenAccess":false,"openAccessPdf":"https://www.ncbi.nlm.nih.gov/pmc/articles/PMC12422247/pdf/","citationCount":"0","resultStr":"{\"title\":\"Efficacy of Venetoclax Combined with Azacitidine in Elderly Patients with Relapsed Acute Myeloid Leukemia.\",\"authors\":\"Mengni Yan, Gang Wang, Jiaheng Wang, Linjuan Xu\",\"doi\":\"10.4084/MJHID.2025.058\",\"DOIUrl\":null,\"url\":null,\"abstract\":\"<p><strong>Background: </strong>Elderly patients with relapsed acute myeloid leukemia (AML) have limited treatment options and a poor prognosis. Venetoclax combined with azacitidine has shown promising activity in newly diagnosed or relapsed/refractory AML, but real-world data on older populations remain scarce. This study aimed to evaluate the efficacy, safety, and prognostic factors - including select blood biomarkers - of venetoclax plus azacitidine in elderly patients with relapsed AML.</p><p><strong>Methods: </strong>We conducted a single-center retrospective review of patients aged ≥65 years diagnosed with relapsed AML who received venetoclax plus azacitidine between January 2018 and December 2022. Patient demographics, baseline disease characteristics, and treatment details were collected. Blood biomarkers, such as lactate dehydrogenase (LDH), C-reactive protein (CRP), and selected molecular markers (including FLT3-ITD and NPM1 mutations), were also assessed at baseline to evaluate their prognostic value. The primary endpoint was the overall response rate (ORR), defined as the sum of complete Remission (CR) and CR with incomplete hematologic recovery (CRi). Secondary endpoints included overall survival (OS), event-free survival (EFS), and safety. Prognostic factors were identified through univariate and multivariate analyses using Cox proportional hazards models. Survival curves were constructed via the Kaplan-Meier method.</p><p><strong>Results: </strong>A total of 50 patients (median age, 72 years; range, 65-82) met the inclusion criteria. The ORR was 60% (40% CR and 20% CRi). The median OS was 9.2 months (95% CI: 6.8-11.5), and the median EFS was 6.0 months (95% CI: 4.2-8.3). Common Grade 3-4 adverse events included neutropenia (46%) and thrombocytopenia (32%). The 30-day treatment-related mortality rate was 4%. Elevated baseline LDH (≥ the upper limit of normal) was associated with reduced OS (p=0.03). Patients with high CRP levels and/or adverse molecular markers, such as FLT3-ITD positivity, also showed a trend toward poorer survival, which, however, did not reach statistical significance in the multivariate model. Multivariate analysis confirmed poor Eastern Cooperative Oncology Group (ECOG) performance status, baseline LDH level, and adverse cytogenetics as independent predictors of reduced OS.</p><p><strong>Conclusion: </strong>Venetoclax combined with azacitidine demonstrated encouraging efficacy and manageable toxicity in this retrospective analysis of elderly patients with relapsed AML. Elevated LDH and adverse molecular/cytogenetic profiles were associated with worse outcomes. These findings highlight the importance of integrating blood biomarker assessment into routine evaluation and suggest venetoclax-based regimens may be a viable therapeutic option in older, relapsed AML populations. Prospective multicenter studies are warranted to confirm these results and refine patient selection.</p>\",\"PeriodicalId\":18498,\"journal\":{\"name\":\"Mediterranean Journal of Hematology and Infectious Diseases\",\"volume\":\"17 1\",\"pages\":\"e2025058\"},\"PeriodicalIF\":1.5000,\"publicationDate\":\"2025-09-01\",\"publicationTypes\":\"Journal Article\",\"fieldsOfStudy\":null,\"isOpenAccess\":false,\"openAccessPdf\":\"https://www.ncbi.nlm.nih.gov/pmc/articles/PMC12422247/pdf/\",\"citationCount\":\"0\",\"resultStr\":null,\"platform\":\"Semanticscholar\",\"paperid\":null,\"PeriodicalName\":\"Mediterranean Journal of Hematology and Infectious Diseases\",\"FirstCategoryId\":\"3\",\"ListUrlMain\":\"https://doi.org/10.4084/MJHID.2025.058\",\"RegionNum\":4,\"RegionCategory\":\"医学\",\"ArticlePicture\":[],\"TitleCN\":null,\"AbstractTextCN\":null,\"PMCID\":null,\"EPubDate\":\"2025/1/1 0:00:00\",\"PubModel\":\"eCollection\",\"JCR\":\"Q3\",\"JCRName\":\"HEMATOLOGY\",\"Score\":null,\"Total\":0}","platform":"Semanticscholar","paperid":null,"PeriodicalName":"Mediterranean Journal of Hematology and Infectious Diseases","FirstCategoryId":"3","ListUrlMain":"https://doi.org/10.4084/MJHID.2025.058","RegionNum":4,"RegionCategory":"医学","ArticlePicture":[],"TitleCN":null,"AbstractTextCN":null,"PMCID":null,"EPubDate":"2025/1/1 0:00:00","PubModel":"eCollection","JCR":"Q3","JCRName":"HEMATOLOGY","Score":null,"Total":0}
引用次数: 0

摘要

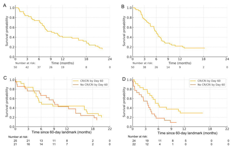
背景:老年复发性急性髓性白血病(AML)患者治疗选择有限,预后较差。Venetoclax联合阿扎胞苷在新诊断或复发/难治性AML中显示出有希望的活性,但在老年人群中的实际数据仍然很少。本研究旨在评估venetoclax联合阿扎胞苷治疗老年复发性急性髓性白血病患者的疗效、安全性和预后因素(包括选定的血液生物标志物)。方法:我们对2018年1月至2022年12月期间接受venetoclax +阿扎胞苷治疗的年龄≥65岁的复发性AML患者进行了单中心回顾性研究。收集患者人口统计资料、基线疾病特征和治疗细节。血液生物标志物,如乳酸脱氢酶(LDH)、c反应蛋白(CRP)和选定的分子标志物(包括FLT3-ITD和NPM1突变),也在基线时进行评估,以评估其预后价值。主要终点是总缓解率(ORR),定义为完全缓解(CR)和CR伴不完全血液学恢复(CRi)的总和。次要终点包括总生存期(OS)、无事件生存期(EFS)和安全性。使用Cox比例风险模型通过单因素和多因素分析确定预后因素。通过Kaplan-Meier法绘制生存曲线。结果:共有50例患者(中位年龄72岁,范围65-82岁)符合纳入标准。ORR为60% (40% CR和20% CRi)。中位OS为9.2个月(95% CI: 6.8-11.5),中位EFS为6.0个月(95% CI: 4.2-8.3)。常见的3-4级不良事件包括中性粒细胞减少症(46%)和血小板减少症(32%)。30天治疗相关死亡率为4%。基线LDH升高(≥正常上限)与OS降低相关(p=0.03)。高CRP水平和/或不良分子标志物如FLT3-ITD阳性的患者也有较差的生存趋势,但在多变量模型中没有达到统计学意义。多因素分析证实,较差的东部肿瘤合作组(ECOG)表现状态、基线LDH水平和不良细胞遗传学是OS降低的独立预测因素。结论:Venetoclax联合阿扎胞苷在老年AML复发患者的回顾性分析中显示出令人鼓舞的疗效和可控的毒性。LDH升高和不良的分子/细胞遗传学特征与较差的结果相关。这些发现强调了将血液生物标志物评估纳入常规评估的重要性,并提示基于venetoclax的方案可能是老年复发性AML人群的可行治疗选择。有必要进行前瞻性多中心研究来证实这些结果并改进患者选择。
本文章由计算机程序翻译,如有差异,请以英文原文为准。

Efficacy of Venetoclax Combined with Azacitidine in Elderly Patients with Relapsed Acute Myeloid Leukemia.

Efficacy of Venetoclax Combined with Azacitidine in Elderly Patients with Relapsed Acute Myeloid Leukemia.

Background: Elderly patients with relapsed acute myeloid leukemia (AML) have limited treatment options and a poor prognosis. Venetoclax combined with azacitidine has shown promising activity in newly diagnosed or relapsed/refractory AML, but real-world data on older populations remain scarce. This study aimed to evaluate the efficacy, safety, and prognostic factors - including select blood biomarkers - of venetoclax plus azacitidine in elderly patients with relapsed AML.

Methods: We conducted a single-center retrospective review of patients aged ≥65 years diagnosed with relapsed AML who received venetoclax plus azacitidine between January 2018 and December 2022. Patient demographics, baseline disease characteristics, and treatment details were collected. Blood biomarkers, such as lactate dehydrogenase (LDH), C-reactive protein (CRP), and selected molecular markers (including FLT3-ITD and NPM1 mutations), were also assessed at baseline to evaluate their prognostic value. The primary endpoint was the overall response rate (ORR), defined as the sum of complete Remission (CR) and CR with incomplete hematologic recovery (CRi). Secondary endpoints included overall survival (OS), event-free survival (EFS), and safety. Prognostic factors were identified through univariate and multivariate analyses using Cox proportional hazards models. Survival curves were constructed via the Kaplan-Meier method.

Results: A total of 50 patients (median age, 72 years; range, 65-82) met the inclusion criteria. The ORR was 60% (40% CR and 20% CRi). The median OS was 9.2 months (95% CI: 6.8-11.5), and the median EFS was 6.0 months (95% CI: 4.2-8.3). Common Grade 3-4 adverse events included neutropenia (46%) and thrombocytopenia (32%). The 30-day treatment-related mortality rate was 4%. Elevated baseline LDH (≥ the upper limit of normal) was associated with reduced OS (p=0.03). Patients with high CRP levels and/or adverse molecular markers, such as FLT3-ITD positivity, also showed a trend toward poorer survival, which, however, did not reach statistical significance in the multivariate model. Multivariate analysis confirmed poor Eastern Cooperative Oncology Group (ECOG) performance status, baseline LDH level, and adverse cytogenetics as independent predictors of reduced OS.

Conclusion: Venetoclax combined with azacitidine demonstrated encouraging efficacy and manageable toxicity in this retrospective analysis of elderly patients with relapsed AML. Elevated LDH and adverse molecular/cytogenetic profiles were associated with worse outcomes. These findings highlight the importance of integrating blood biomarker assessment into routine evaluation and suggest venetoclax-based regimens may be a viable therapeutic option in older, relapsed AML populations. Prospective multicenter studies are warranted to confirm these results and refine patient selection.

求助全文
通过发布文献求助,成功后即可免费获取论文全文。 去求助
来源期刊
CiteScore
4.20
自引率
6.20%
发文量
113
审稿时长
12 weeks
期刊介绍: Reciprocal interdependence between infectious and hematologic diseases (malignant and non-malignant) is well known. This relationship is particularly evident in Mediterranean countries. Parasitosis as Malaria, Leishmaniosis, B Hookworms, Teniasis, very common in the southeast Mediterranean area, infect about a billion people and manifest prevalently with anemia so that they are usually diagnosed mostly by experienced hematologist on blood or bone marrow smear. On the other hand, infections are also a significant problem in patients affected by hematological malignancies. The blood is the primary vector of HIV infection, which otherwise manifest with symptoms related to a reduction in T lymphocytes. In turn, infections can favor the insurgency of hematological malignancies. The causative relationship between Epstein-Barr virus infection, Helicobacter pylori, hepatitis C virus, HIV and lymphoproliferative diseases is well known.
×
引用
GB/T 7714-2015
复制
MLA
复制
APA
复制
导出至
BibTeX EndNote RefMan NoteFirst NoteExpress
×
提示
您的信息不完整,为了账户安全,请先补充。
现在去补充
×
提示
您因"违规操作"
具体请查看互助需知
我知道了
×
提示
确定
请完成安全验证×
copy
已复制链接
快去分享给好友吧!
我知道了
右上角分享
点击右上角分享
0
联系我们:info@booksci.cn Book学术提供免费学术资源搜索服务,方便国内外学者检索中英文文献。致力于提供最便捷和优质的服务体验。 Copyright © 2023 布克学术 All rights reserved.
京ICP备2023020795号-1
ghs 京公网安备 11010802042870号
Book学术文献互助
Book学术文献互助群
群 号:604180095
Book学术官方微信