小型底板采暖系统通道内换热特性研究

IF 0.7 4区 物理与天体物理 Q4 PHYSICS, APPLIED
Yu. M. Grishin, N. A. Khandramay
{"title":"小型底板采暖系统通道内换热特性研究","authors":"Yu. M. Grishin,&nbsp;N. A. Khandramay","doi":"10.1134/S1063784225600225","DOIUrl":null,"url":null,"abstract":"<p>The results of numerical 3D modeling of free-convective heat-transfer processes in a small-sized “warm baseboard”-type heating systems are reported. The thermal and hydrodynamic parameters of the heated air flow are calculated for the vertical channel of the baseboard system, which is formed by two horizontal hot tubes with transverse ribs. The criterion dependences of the effective coefficient of heat transfer from the main structural and mode parameters of the system to air being heated are obtained. It is shown that due to the presence of tubes in the channel between the ribs, the heat-transfer coefficient that can be calculated using the found correcting factor decreases. The optimal values of the gap between the ribs and heating tube diameter, which ensure the maximal specific (per unit length) heat flux from the surrounding medium, are determined. Comparison of the calculated data with experimental results shows their satisfactory coincidence. The obtained results can serve as the basis for developing the methods for designing such heat-exchange heating systems. It is shown that the proposed optimal geometrical parameters of the baseboard system ensure a considerable increase in the heat power as regards the maximal values (by 30–40%) and in the possible range of variation of the specific heat power of baseboard system as compared to the known variants of such systems.</p>","PeriodicalId":783,"journal":{"name":"Technical Physics","volume":"70 5","pages":"151 - 157"},"PeriodicalIF":0.7000,"publicationDate":"2025-07-30","publicationTypes":"Journal Article","fieldsOfStudy":null,"isOpenAccess":false,"openAccessPdf":"","citationCount":"0","resultStr":"{\"title\":\"On Peculiarities of Heat Exchange in Channels of a Small-Sized Baseboard Heating System\",\"authors\":\"Yu. M. Grishin,&nbsp;N. A. Khandramay\",\"doi\":\"10.1134/S1063784225600225\",\"DOIUrl\":null,\"url\":null,\"abstract\":\"<p>The results of numerical 3D modeling of free-convective heat-transfer processes in a small-sized “warm baseboard”-type heating systems are reported. The thermal and hydrodynamic parameters of the heated air flow are calculated for the vertical channel of the baseboard system, which is formed by two horizontal hot tubes with transverse ribs. The criterion dependences of the effective coefficient of heat transfer from the main structural and mode parameters of the system to air being heated are obtained. It is shown that due to the presence of tubes in the channel between the ribs, the heat-transfer coefficient that can be calculated using the found correcting factor decreases. The optimal values of the gap between the ribs and heating tube diameter, which ensure the maximal specific (per unit length) heat flux from the surrounding medium, are determined. Comparison of the calculated data with experimental results shows their satisfactory coincidence. The obtained results can serve as the basis for developing the methods for designing such heat-exchange heating systems. It is shown that the proposed optimal geometrical parameters of the baseboard system ensure a considerable increase in the heat power as regards the maximal values (by 30–40%) and in the possible range of variation of the specific heat power of baseboard system as compared to the known variants of such systems.</p>\",\"PeriodicalId\":783,\"journal\":{\"name\":\"Technical Physics\",\"volume\":\"70 5\",\"pages\":\"151 - 157\"},\"PeriodicalIF\":0.7000,\"publicationDate\":\"2025-07-30\",\"publicationTypes\":\"Journal Article\",\"fieldsOfStudy\":null,\"isOpenAccess\":false,\"openAccessPdf\":\"\",\"citationCount\":\"0\",\"resultStr\":null,\"platform\":\"Semanticscholar\",\"paperid\":null,\"PeriodicalName\":\"Technical Physics\",\"FirstCategoryId\":\"101\",\"ListUrlMain\":\"https://link.springer.com/article/10.1134/S1063784225600225\",\"RegionNum\":4,\"RegionCategory\":\"物理与天体物理\",\"ArticlePicture\":[],\"TitleCN\":null,\"AbstractTextCN\":null,\"PMCID\":null,\"EPubDate\":\"\",\"PubModel\":\"\",\"JCR\":\"Q4\",\"JCRName\":\"PHYSICS, APPLIED\",\"Score\":null,\"Total\":0}","platform":"Semanticscholar","paperid":null,"PeriodicalName":"Technical Physics","FirstCategoryId":"101","ListUrlMain":"https://link.springer.com/article/10.1134/S1063784225600225","RegionNum":4,"RegionCategory":"物理与天体物理","ArticlePicture":[],"TitleCN":null,"AbstractTextCN":null,"PMCID":null,"EPubDate":"","PubModel":"","JCR":"Q4","JCRName":"PHYSICS, APPLIED","Score":null,"Total":0}
引用次数: 0

摘要

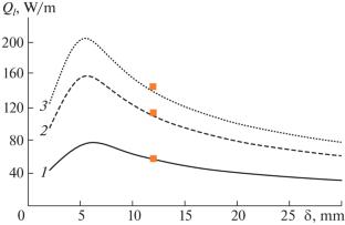
报道了小型“暖踢脚板”式加热系统中自由对流换热过程的三维数值模拟结果。计算了由两根带横肋的水平热管组成的踢脚板系统的垂直通道的热空气流的热学和水动力参数。得到了系统主要结构参数和模态参数与被加热空气的有效传热系数的判据关系。结果表明,由于肋间通道中存在管,用修正系数计算的换热系数减小。确定了肋板间隙和热管直径的最佳值,以确保最大的单位长度比热流从周围介质。计算数据与实验结果的比较表明,两者吻合较好。所得结果可作为开发此类换热系统设计方法的基础。结果表明,与已知的基板系统变体相比,所提出的基板系统的最优几何参数确保了基板系统比热功率的最大值(30-40%)和可能的变化范围内的热功率的相当大的增加。
本文章由计算机程序翻译,如有差异,请以英文原文为准。

On Peculiarities of Heat Exchange in Channels of a Small-Sized Baseboard Heating System

On Peculiarities of Heat Exchange in Channels of a Small-Sized Baseboard Heating System

On Peculiarities of Heat Exchange in Channels of a Small-Sized Baseboard Heating System

The results of numerical 3D modeling of free-convective heat-transfer processes in a small-sized “warm baseboard”-type heating systems are reported. The thermal and hydrodynamic parameters of the heated air flow are calculated for the vertical channel of the baseboard system, which is formed by two horizontal hot tubes with transverse ribs. The criterion dependences of the effective coefficient of heat transfer from the main structural and mode parameters of the system to air being heated are obtained. It is shown that due to the presence of tubes in the channel between the ribs, the heat-transfer coefficient that can be calculated using the found correcting factor decreases. The optimal values of the gap between the ribs and heating tube diameter, which ensure the maximal specific (per unit length) heat flux from the surrounding medium, are determined. Comparison of the calculated data with experimental results shows their satisfactory coincidence. The obtained results can serve as the basis for developing the methods for designing such heat-exchange heating systems. It is shown that the proposed optimal geometrical parameters of the baseboard system ensure a considerable increase in the heat power as regards the maximal values (by 30–40%) and in the possible range of variation of the specific heat power of baseboard system as compared to the known variants of such systems.

求助全文
通过发布文献求助,成功后即可免费获取论文全文。 去求助
来源期刊
Technical Physics
Technical Physics 物理-物理:应用
CiteScore
1.30
自引率
14.30%
发文量
139
审稿时长
3-6 weeks
期刊介绍: Technical Physics is a journal that contains practical information on all aspects of applied physics, especially instrumentation and measurement techniques. Particular emphasis is put on plasma physics and related fields such as studies of charged particles in electromagnetic fields, synchrotron radiation, electron and ion beams, gas lasers and discharges. Other journal topics are the properties of condensed matter, including semiconductors, superconductors, gases, liquids, and different materials.
×
引用
GB/T 7714-2015
复制
MLA
复制
APA
复制
导出至
BibTeX EndNote RefMan NoteFirst NoteExpress
×
提示
您的信息不完整,为了账户安全,请先补充。
现在去补充
×
提示
您因"违规操作"
具体请查看互助需知
我知道了
×
提示
确定
请完成安全验证×
copy
已复制链接
快去分享给好友吧!
我知道了
右上角分享
点击右上角分享
0
联系我们:info@booksci.cn Book学术提供免费学术资源搜索服务,方便国内外学者检索中英文文献。致力于提供最便捷和优质的服务体验。 Copyright © 2023 布克学术 All rights reserved.
京ICP备2023020795号-1
ghs 京公网安备 11010802042870号
Book学术文献互助
Book学术文献互助群
群 号:604180095
Book学术官方微信