阴燃型多发性骨髓瘤感染风险增加:来自筛选iStopMM研究的结果

IF 13.4 1区 医学 Q1 HEMATOLOGY
Lærke Sloth Andersen, Ricardo Berenguer Navarro, Sara Ekberg, Sæmundur Rögnvaldsson, Marína Rós Levy, Ingigerður Sólveig Sverrisdóttir, Brynjar Viðarsson, Páll Torfi Önundarson, Bjarni A. Agnarsson, Margrét Sigurðardóttir, Ingunn Þorsteinsdóttir, Ísleifur Ólafsson, Ásdís Rósa Þórðardóttir, Elías Eyþórsson, Ásbjörn Jónsson, Andri Ólafsson, Brian G. M. Durie, Stephen Harding, Ola Landgren, Thorvardur Jón Löve, Sigurður Yngvi Kristinsson, Sigrún Thorsteinsdóttir
{"title":"阴燃型多发性骨髓瘤感染风险增加:来自筛选iStopMM研究的结果","authors":"Lærke Sloth Andersen, Ricardo Berenguer Navarro, Sara Ekberg, Sæmundur Rögnvaldsson, Marína Rós Levy, Ingigerður Sólveig Sverrisdóttir, Brynjar Viðarsson, Páll Torfi Önundarson, Bjarni A. Agnarsson, Margrét Sigurðardóttir, Ingunn Þorsteinsdóttir, Ísleifur Ólafsson, Ásdís Rósa Þórðardóttir, Elías Eyþórsson, Ásbjörn Jónsson, Andri Ólafsson, Brian G. M. Durie, Stephen Harding, Ola Landgren, Thorvardur Jón Löve, Sigurður Yngvi Kristinsson, Sigrún Thorsteinsdóttir","doi":"10.1038/s41375-025-02762-9","DOIUrl":null,"url":null,"abstract":"<p>Infections are a major cause of morbidity and mortality in multiple myeloma (MM). While increased infection risk has been shown in monoclonal gammopathy of undetermined significance (MGUS), data are limited for smoldering multiple myeloma (SMM). We used data from the iStopMM study, which screened 75,422 Icelandic individuals aged ≥40 years for MM precursors. Individuals diagnosed with SMM were matched by age and sex with MGUS-free comparators (1:5 ratio) and with individuals with MGUS (1:1 ratio). Infection outcomes were derived from nationwide registries of ICD-10 diagnostic codes and antimicrobial prescriptions. Cox proportional hazards models estimated infection risk, adjusted for immunoparesis. 188 SMM individuals were matched to 188 MGUS individuals and 162 SMM individuals were matched to 810 comparators. Individuals with SMM had significantly more infections (HR 1.36, 95% CI 1.07–1.73) and antibacterial prescriptions (HR 1.24, 95% CI 1.01–1.52) than the comparators. Compared to MGUS, individuals with SMM also had more infections (HR 1.37, 95% CI 1.00–1.87). Adjusting for immunoparesis attenuated the associations, suggesting it may partially mediate infection risk. This first screened cohort of SMM shows a significantly increased infection risk, compared to both MGUS and to individuals without MM precursors, suggesting an underrecognized infection burden in SMM.</p>","PeriodicalId":18109,"journal":{"name":"Leukemia","volume":"66 1","pages":""},"PeriodicalIF":13.4000,"publicationDate":"2025-09-12","publicationTypes":"Journal Article","fieldsOfStudy":null,"isOpenAccess":false,"openAccessPdf":"","citationCount":"0","resultStr":"{\"title\":\"Increased risk of infections in smoldering multiple myeloma: results from the screened iStopMM study\",\"authors\":\"Lærke Sloth Andersen, Ricardo Berenguer Navarro, Sara Ekberg, Sæmundur Rögnvaldsson, Marína Rós Levy, Ingigerður Sólveig Sverrisdóttir, Brynjar Viðarsson, Páll Torfi Önundarson, Bjarni A. Agnarsson, Margrét Sigurðardóttir, Ingunn Þorsteinsdóttir, Ísleifur Ólafsson, Ásdís Rósa Þórðardóttir, Elías Eyþórsson, Ásbjörn Jónsson, Andri Ólafsson, Brian G. M. Durie, Stephen Harding, Ola Landgren, Thorvardur Jón Löve, Sigurður Yngvi Kristinsson, Sigrún Thorsteinsdóttir\",\"doi\":\"10.1038/s41375-025-02762-9\",\"DOIUrl\":null,\"url\":null,\"abstract\":\"<p>Infections are a major cause of morbidity and mortality in multiple myeloma (MM). While increased infection risk has been shown in monoclonal gammopathy of undetermined significance (MGUS), data are limited for smoldering multiple myeloma (SMM). We used data from the iStopMM study, which screened 75,422 Icelandic individuals aged ≥40 years for MM precursors. Individuals diagnosed with SMM were matched by age and sex with MGUS-free comparators (1:5 ratio) and with individuals with MGUS (1:1 ratio). Infection outcomes were derived from nationwide registries of ICD-10 diagnostic codes and antimicrobial prescriptions. Cox proportional hazards models estimated infection risk, adjusted for immunoparesis. 188 SMM individuals were matched to 188 MGUS individuals and 162 SMM individuals were matched to 810 comparators. Individuals with SMM had significantly more infections (HR 1.36, 95% CI 1.07–1.73) and antibacterial prescriptions (HR 1.24, 95% CI 1.01–1.52) than the comparators. Compared to MGUS, individuals with SMM also had more infections (HR 1.37, 95% CI 1.00–1.87). Adjusting for immunoparesis attenuated the associations, suggesting it may partially mediate infection risk. This first screened cohort of SMM shows a significantly increased infection risk, compared to both MGUS and to individuals without MM precursors, suggesting an underrecognized infection burden in SMM.</p>\",\"PeriodicalId\":18109,\"journal\":{\"name\":\"Leukemia\",\"volume\":\"66 1\",\"pages\":\"\"},\"PeriodicalIF\":13.4000,\"publicationDate\":\"2025-09-12\",\"publicationTypes\":\"Journal Article\",\"fieldsOfStudy\":null,\"isOpenAccess\":false,\"openAccessPdf\":\"\",\"citationCount\":\"0\",\"resultStr\":null,\"platform\":\"Semanticscholar\",\"paperid\":null,\"PeriodicalName\":\"Leukemia\",\"FirstCategoryId\":\"3\",\"ListUrlMain\":\"https://doi.org/10.1038/s41375-025-02762-9\",\"RegionNum\":1,\"RegionCategory\":\"医学\",\"ArticlePicture\":[],\"TitleCN\":null,\"AbstractTextCN\":null,\"PMCID\":null,\"EPubDate\":\"\",\"PubModel\":\"\",\"JCR\":\"Q1\",\"JCRName\":\"HEMATOLOGY\",\"Score\":null,\"Total\":0}","platform":"Semanticscholar","paperid":null,"PeriodicalName":"Leukemia","FirstCategoryId":"3","ListUrlMain":"https://doi.org/10.1038/s41375-025-02762-9","RegionNum":1,"RegionCategory":"医学","ArticlePicture":[],"TitleCN":null,"AbstractTextCN":null,"PMCID":null,"EPubDate":"","PubModel":"","JCR":"Q1","JCRName":"HEMATOLOGY","Score":null,"Total":0}
引用次数: 0

摘要

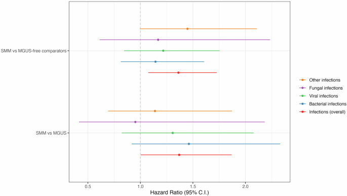
感染是多发性骨髓瘤(MM)发病和死亡的主要原因。虽然未确定意义的单克隆γ病(MGUS)显示感染风险增加,但阴燃型多发性骨髓瘤(SMM)的数据有限。我们使用来自iStopMM研究的数据,该研究筛选了75,422名年龄≥40岁的冰岛人的MM前体。诊断为SMM的个体按年龄和性别与无MGUS比较者(1:5)和患有MGUS的个体(1:1)匹配。感染结果来源于ICD-10诊断代码和抗菌药物处方的全国登记。Cox比例风险模型估计感染风险,调整免疫麻痹。188个SMM个体与188个MGUS个体相匹配,162个SMM个体与810个比较个体相匹配。SMM患者的感染(HR 1.36, 95% CI 1.07-1.73)和抗菌药物处方(HR 1.24, 95% CI 1.01-1.52)明显高于对照组。与MGUS相比,SMM个体也有更多的感染(HR 1.37, 95% CI 1.00-1.87)。调整免疫轻瘫减弱了这种关联,表明免疫轻瘫可能部分介导感染风险。与MGUS和没有MM前体的个体相比,首次筛选的SMM队列显示感染风险显着增加,这表明SMM的感染负担未被充分认识。
本文章由计算机程序翻译,如有差异,请以英文原文为准。

Increased risk of infections in smoldering multiple myeloma: results from the screened iStopMM study

Increased risk of infections in smoldering multiple myeloma: results from the screened iStopMM study

Infections are a major cause of morbidity and mortality in multiple myeloma (MM). While increased infection risk has been shown in monoclonal gammopathy of undetermined significance (MGUS), data are limited for smoldering multiple myeloma (SMM). We used data from the iStopMM study, which screened 75,422 Icelandic individuals aged ≥40 years for MM precursors. Individuals diagnosed with SMM were matched by age and sex with MGUS-free comparators (1:5 ratio) and with individuals with MGUS (1:1 ratio). Infection outcomes were derived from nationwide registries of ICD-10 diagnostic codes and antimicrobial prescriptions. Cox proportional hazards models estimated infection risk, adjusted for immunoparesis. 188 SMM individuals were matched to 188 MGUS individuals and 162 SMM individuals were matched to 810 comparators. Individuals with SMM had significantly more infections (HR 1.36, 95% CI 1.07–1.73) and antibacterial prescriptions (HR 1.24, 95% CI 1.01–1.52) than the comparators. Compared to MGUS, individuals with SMM also had more infections (HR 1.37, 95% CI 1.00–1.87). Adjusting for immunoparesis attenuated the associations, suggesting it may partially mediate infection risk. This first screened cohort of SMM shows a significantly increased infection risk, compared to both MGUS and to individuals without MM precursors, suggesting an underrecognized infection burden in SMM.

求助全文
通过发布文献求助,成功后即可免费获取论文全文。 去求助
来源期刊
Leukemia
Leukemia 医学-血液学
CiteScore
18.10
自引率
3.50%
发文量
270
审稿时长
3-6 weeks
期刊介绍: Title: Leukemia Journal Overview: Publishes high-quality, peer-reviewed research Covers all aspects of research and treatment of leukemia and allied diseases Includes studies of normal hemopoiesis due to comparative relevance Topics of Interest: Oncogenes Growth factors Stem cells Leukemia genomics Cell cycle Signal transduction Molecular targets for therapy And more Content Types: Original research articles Reviews Letters Correspondence Comments elaborating on significant advances and covering topical issues
×
引用
GB/T 7714-2015
复制
MLA
复制
APA
复制
导出至
BibTeX EndNote RefMan NoteFirst NoteExpress
×
提示
您的信息不完整,为了账户安全,请先补充。
现在去补充
×
提示
您因"违规操作"
具体请查看互助需知
我知道了
×
提示
确定
请完成安全验证×
copy
已复制链接
快去分享给好友吧!
我知道了
右上角分享
点击右上角分享
0
联系我们:info@booksci.cn Book学术提供免费学术资源搜索服务,方便国内外学者检索中英文文献。致力于提供最便捷和优质的服务体验。 Copyright © 2023 布克学术 All rights reserved.
京ICP备2023020795号-1
ghs 京公网安备 11010802042870号
Book学术文献互助
Book学术文献互助群
群 号:604180095
Book学术官方微信