平均气道压力——一个有用但被忽视的机械动力指标。

IF 2.7 Q4 Medicine
Critical care explorations Pub Date : 2025-09-05 eCollection Date: 2025-09-01 DOI:10.1097/CCE.0000000000001305
Michael G Michalik, Philip S Crooke, John J Marini
{"title":"平均气道压力——一个有用但被忽视的机械动力指标。","authors":"Michael G Michalik, Philip S Crooke, John J Marini","doi":"10.1097/CCE.0000000000001305","DOIUrl":null,"url":null,"abstract":"<p><p>Mean airway pressure, a monitored variable continuously available on the modern ventilator, is the pressure measured at the airway opening averaged over the time needed to complete the entire respiratory cycle. Mean airway pressure is well recognized to connect three key physiologic processes in mechanical ventilation: physical stretch, cardiovascular dynamics, and pulmonary gas exchange. Although other parameters currently employed in adults to determine \"safe\" ventilation are undoubtedly valuable for daily practice, all have limitations for continuous monitoring of ventilation hazard. The purpose of this communication is to explore the often-underappreciated link between mean airway pressure and the mechanical power (cumulative inflation energy/min) that helps determine the adverse consequences of invasive ventilation (ventilator-induced lung injury).</p>","PeriodicalId":93957,"journal":{"name":"Critical care explorations","volume":"7 9","pages":"e1305"},"PeriodicalIF":2.7000,"publicationDate":"2025-09-05","publicationTypes":"Journal Article","fieldsOfStudy":null,"isOpenAccess":false,"openAccessPdf":"https://www.ncbi.nlm.nih.gov/pmc/articles/PMC12416999/pdf/","citationCount":"0","resultStr":"{\"title\":\"Mean Airway Pressure-An Informative but Overlooked Indicator of Mechanical Power.\",\"authors\":\"Michael G Michalik, Philip S Crooke, John J Marini\",\"doi\":\"10.1097/CCE.0000000000001305\",\"DOIUrl\":null,\"url\":null,\"abstract\":\"<p><p>Mean airway pressure, a monitored variable continuously available on the modern ventilator, is the pressure measured at the airway opening averaged over the time needed to complete the entire respiratory cycle. Mean airway pressure is well recognized to connect three key physiologic processes in mechanical ventilation: physical stretch, cardiovascular dynamics, and pulmonary gas exchange. Although other parameters currently employed in adults to determine \\\"safe\\\" ventilation are undoubtedly valuable for daily practice, all have limitations for continuous monitoring of ventilation hazard. The purpose of this communication is to explore the often-underappreciated link between mean airway pressure and the mechanical power (cumulative inflation energy/min) that helps determine the adverse consequences of invasive ventilation (ventilator-induced lung injury).</p>\",\"PeriodicalId\":93957,\"journal\":{\"name\":\"Critical care explorations\",\"volume\":\"7 9\",\"pages\":\"e1305\"},\"PeriodicalIF\":2.7000,\"publicationDate\":\"2025-09-05\",\"publicationTypes\":\"Journal Article\",\"fieldsOfStudy\":null,\"isOpenAccess\":false,\"openAccessPdf\":\"https://www.ncbi.nlm.nih.gov/pmc/articles/PMC12416999/pdf/\",\"citationCount\":\"0\",\"resultStr\":null,\"platform\":\"Semanticscholar\",\"paperid\":null,\"PeriodicalName\":\"Critical care explorations\",\"FirstCategoryId\":\"1085\",\"ListUrlMain\":\"https://doi.org/10.1097/CCE.0000000000001305\",\"RegionNum\":0,\"RegionCategory\":null,\"ArticlePicture\":[],\"TitleCN\":null,\"AbstractTextCN\":null,\"PMCID\":null,\"EPubDate\":\"2025/9/1 0:00:00\",\"PubModel\":\"eCollection\",\"JCR\":\"Q4\",\"JCRName\":\"Medicine\",\"Score\":null,\"Total\":0}","platform":"Semanticscholar","paperid":null,"PeriodicalName":"Critical care explorations","FirstCategoryId":"1085","ListUrlMain":"https://doi.org/10.1097/CCE.0000000000001305","RegionNum":0,"RegionCategory":null,"ArticlePicture":[],"TitleCN":null,"AbstractTextCN":null,"PMCID":null,"EPubDate":"2025/9/1 0:00:00","PubModel":"eCollection","JCR":"Q4","JCRName":"Medicine","Score":null,"Total":0}
引用次数: 0

摘要

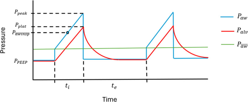
平均气道压力是在现代呼吸机上连续监测的变量,是在完成整个呼吸周期所需时间内,在气道开口处测量的平均压力。平均气道压力被公认为连接机械通气中的三个关键生理过程:物理拉伸、心血管动力学和肺气体交换。虽然目前用于成人确定“安全”通风的其他参数在日常实践中无疑是有价值的,但对于持续监测通风危害都有局限性。本文的目的是探讨平均气道压力和机械功率(累计充气能量/分钟)之间经常被低估的联系,这有助于确定有创通气的不良后果(呼吸机诱导的肺损伤)。
本文章由计算机程序翻译,如有差异,请以英文原文为准。

Mean Airway Pressure-An Informative but Overlooked Indicator of Mechanical Power.

Mean Airway Pressure-An Informative but Overlooked Indicator of Mechanical Power.

Mean airway pressure, a monitored variable continuously available on the modern ventilator, is the pressure measured at the airway opening averaged over the time needed to complete the entire respiratory cycle. Mean airway pressure is well recognized to connect three key physiologic processes in mechanical ventilation: physical stretch, cardiovascular dynamics, and pulmonary gas exchange. Although other parameters currently employed in adults to determine "safe" ventilation are undoubtedly valuable for daily practice, all have limitations for continuous monitoring of ventilation hazard. The purpose of this communication is to explore the often-underappreciated link between mean airway pressure and the mechanical power (cumulative inflation energy/min) that helps determine the adverse consequences of invasive ventilation (ventilator-induced lung injury).

求助全文
通过发布文献求助,成功后即可免费获取论文全文。 去求助
来源期刊
CiteScore
5.70
自引率
0.00%
发文量
0
审稿时长
8 weeks
×
引用
GB/T 7714-2015
复制
MLA
复制
APA
复制
导出至
BibTeX EndNote RefMan NoteFirst NoteExpress
×
提示
您的信息不完整,为了账户安全,请先补充。
现在去补充
×
提示
您因"违规操作"
具体请查看互助需知
我知道了
×
提示
确定
请完成安全验证×
copy
已复制链接
快去分享给好友吧!
我知道了
右上角分享
点击右上角分享
0
联系我们:info@booksci.cn Book学术提供免费学术资源搜索服务,方便国内外学者检索中英文文献。致力于提供最便捷和优质的服务体验。 Copyright © 2023 布克学术 All rights reserved.
京ICP备2023020795号-1
ghs 京公网安备 11010802042870号
Book学术文献互助
Book学术文献互助群
群 号:604180095
Book学术官方微信