房颤患者睡眠呼吸障碍和Cheyne-Stokes呼吸的患病率。

IF 1.3 4区 医学 Q3 CARDIAC & CARDIOVASCULAR SYSTEMS
Reviews in cardiovascular medicine Pub Date : 2025-08-29 eCollection Date: 2025-08-01 DOI:10.31083/RCM46143
Hiroki Matsumoto, Takatoshi Kasai, Akihiro Sato, Nanako Shiroshita, Sayaki Ishiwata, Shoichiro Yatsu, Jun Shitara, Takao Kato, Shoko Suda, Ryo Naito, Hidemori Hayashi, Tohru Minamino, Hiroyuki Daida
{"title":"房颤患者睡眠呼吸障碍和Cheyne-Stokes呼吸的患病率。","authors":"Hiroki Matsumoto, Takatoshi Kasai, Akihiro Sato, Nanako Shiroshita, Sayaki Ishiwata, Shoichiro Yatsu, Jun Shitara, Takao Kato, Shoko Suda, Ryo Naito, Hidemori Hayashi, Tohru Minamino, Hiroyuki Daida","doi":"10.31083/RCM46143","DOIUrl":null,"url":null,"abstract":"<p><strong>Background: </strong>Limited data are available regarding the prevalence of sleep-disordered breathing (SDB), particularly Cheyne-Stokes respiration (CSR), in patients with atrial fibrillation (AF) and left ventricular (LV) systolic dysfunction. Thus, this study aimed to investigate the prevalence of SDB and CSR, as well as the factors associated with these conditions, in patients with AF without LV systolic dysfunction.</p><p><strong>Methods: </strong>Patients with paroxysmal and non-paroxysmal AF underwent echocardiography and cardiorespiratory polygraphy. Multiple linear regression analysis was performed using the apnea-hypopnea index (AHI) and %CSR as the dependent variables.</p><p><strong>Results: </strong>A total of 462 patients were enrolled; 335 patients (72.5%) were diagnosed with SDB (AHI ≥5/h), with a median AHI of 10.3 events per hour (interquartile range, 4.7-20.8). CSR was observed in 107 patients (23.2%). Multiple linear regression analysis showed that age, sex, body mass index, and hypertension were independently correlated with AHI (<i>p</i> = 0.0188, 0.0002, <0.0001, and 0.0457, respectively). Conversely, age, diabetes mellitus (DM), and the plasma N-terminal prohormone of brain natriuretic peptide (NT-proBNP) level were independently correlated with %CSR (<i>p</i> < 0.0001, 0.0047, and 0.0095, respectively).</p><p><strong>Conclusion: </strong>SDB and CSR were common in patients with AF. CSR was observed in older patients with DM and high NT-proBNP levels.</p>","PeriodicalId":20989,"journal":{"name":"Reviews in cardiovascular medicine","volume":"26 8","pages":"46143"},"PeriodicalIF":1.3000,"publicationDate":"2025-08-29","publicationTypes":"Journal Article","fieldsOfStudy":null,"isOpenAccess":false,"openAccessPdf":"https://www.ncbi.nlm.nih.gov/pmc/articles/PMC12415733/pdf/","citationCount":"0","resultStr":"{\"title\":\"Prevalence of Sleep-Disordered Breathing and Cheyne-Stokes Respiration in Patients With Atrial Fibrillation.\",\"authors\":\"Hiroki Matsumoto, Takatoshi Kasai, Akihiro Sato, Nanako Shiroshita, Sayaki Ishiwata, Shoichiro Yatsu, Jun Shitara, Takao Kato, Shoko Suda, Ryo Naito, Hidemori Hayashi, Tohru Minamino, Hiroyuki Daida\",\"doi\":\"10.31083/RCM46143\",\"DOIUrl\":null,\"url\":null,\"abstract\":\"<p><strong>Background: </strong>Limited data are available regarding the prevalence of sleep-disordered breathing (SDB), particularly Cheyne-Stokes respiration (CSR), in patients with atrial fibrillation (AF) and left ventricular (LV) systolic dysfunction. Thus, this study aimed to investigate the prevalence of SDB and CSR, as well as the factors associated with these conditions, in patients with AF without LV systolic dysfunction.</p><p><strong>Methods: </strong>Patients with paroxysmal and non-paroxysmal AF underwent echocardiography and cardiorespiratory polygraphy. Multiple linear regression analysis was performed using the apnea-hypopnea index (AHI) and %CSR as the dependent variables.</p><p><strong>Results: </strong>A total of 462 patients were enrolled; 335 patients (72.5%) were diagnosed with SDB (AHI ≥5/h), with a median AHI of 10.3 events per hour (interquartile range, 4.7-20.8). CSR was observed in 107 patients (23.2%). Multiple linear regression analysis showed that age, sex, body mass index, and hypertension were independently correlated with AHI (<i>p</i> = 0.0188, 0.0002, <0.0001, and 0.0457, respectively). Conversely, age, diabetes mellitus (DM), and the plasma N-terminal prohormone of brain natriuretic peptide (NT-proBNP) level were independently correlated with %CSR (<i>p</i> < 0.0001, 0.0047, and 0.0095, respectively).</p><p><strong>Conclusion: </strong>SDB and CSR were common in patients with AF. CSR was observed in older patients with DM and high NT-proBNP levels.</p>\",\"PeriodicalId\":20989,\"journal\":{\"name\":\"Reviews in cardiovascular medicine\",\"volume\":\"26 8\",\"pages\":\"46143\"},\"PeriodicalIF\":1.3000,\"publicationDate\":\"2025-08-29\",\"publicationTypes\":\"Journal Article\",\"fieldsOfStudy\":null,\"isOpenAccess\":false,\"openAccessPdf\":\"https://www.ncbi.nlm.nih.gov/pmc/articles/PMC12415733/pdf/\",\"citationCount\":\"0\",\"resultStr\":null,\"platform\":\"Semanticscholar\",\"paperid\":null,\"PeriodicalName\":\"Reviews in cardiovascular medicine\",\"FirstCategoryId\":\"3\",\"ListUrlMain\":\"https://doi.org/10.31083/RCM46143\",\"RegionNum\":4,\"RegionCategory\":\"医学\",\"ArticlePicture\":[],\"TitleCN\":null,\"AbstractTextCN\":null,\"PMCID\":null,\"EPubDate\":\"2025/8/1 0:00:00\",\"PubModel\":\"eCollection\",\"JCR\":\"Q3\",\"JCRName\":\"CARDIAC & CARDIOVASCULAR SYSTEMS\",\"Score\":null,\"Total\":0}","platform":"Semanticscholar","paperid":null,"PeriodicalName":"Reviews in cardiovascular medicine","FirstCategoryId":"3","ListUrlMain":"https://doi.org/10.31083/RCM46143","RegionNum":4,"RegionCategory":"医学","ArticlePicture":[],"TitleCN":null,"AbstractTextCN":null,"PMCID":null,"EPubDate":"2025/8/1 0:00:00","PubModel":"eCollection","JCR":"Q3","JCRName":"CARDIAC & CARDIOVASCULAR SYSTEMS","Score":null,"Total":0}
引用次数: 0

摘要

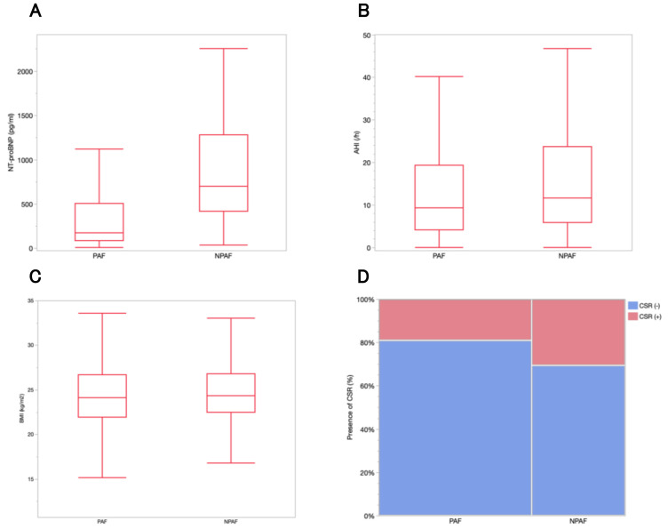
背景:关于房颤(AF)和左心室(LV)收缩功能障碍患者的睡眠呼吸障碍(SDB)患病率的数据有限,特别是Cheyne-Stokes呼吸(CSR)。因此,本研究旨在探讨无左室收缩功能障碍的房颤患者SDB和CSR的患病率,以及与这些情况相关的因素。方法:对阵发性和非阵发性房颤患者行超声心动图和心肺多导图检查。以呼吸暂停低通气指数(AHI)和%CSR为因变量进行多元线性回归分析。结果:共纳入462例患者;335例(72.5%)患者被诊断为SDB (AHI≥5/h),中位AHI为10.3事件/小时(四分位数范围为4.7-20.8)。107例(23.2%)患者出现CSR。多元线性回归分析显示,年龄、性别、体重指数、高血压与AHI独立相关(p分别为0.0188、0.0002、p < 0.0001、0.0047、0.0095)。结论:SDB和CSR在房颤患者中普遍存在,在老年DM、NT-proBNP水平高的患者中也存在CSR。
本文章由计算机程序翻译,如有差异,请以英文原文为准。

Prevalence of Sleep-Disordered Breathing and Cheyne-Stokes Respiration in Patients With Atrial Fibrillation.

Prevalence of Sleep-Disordered Breathing and Cheyne-Stokes Respiration in Patients With Atrial Fibrillation.

Prevalence of Sleep-Disordered Breathing and Cheyne-Stokes Respiration in Patients With Atrial Fibrillation.

Prevalence of Sleep-Disordered Breathing and Cheyne-Stokes Respiration in Patients With Atrial Fibrillation.

Background: Limited data are available regarding the prevalence of sleep-disordered breathing (SDB), particularly Cheyne-Stokes respiration (CSR), in patients with atrial fibrillation (AF) and left ventricular (LV) systolic dysfunction. Thus, this study aimed to investigate the prevalence of SDB and CSR, as well as the factors associated with these conditions, in patients with AF without LV systolic dysfunction.

Methods: Patients with paroxysmal and non-paroxysmal AF underwent echocardiography and cardiorespiratory polygraphy. Multiple linear regression analysis was performed using the apnea-hypopnea index (AHI) and %CSR as the dependent variables.

Results: A total of 462 patients were enrolled; 335 patients (72.5%) were diagnosed with SDB (AHI ≥5/h), with a median AHI of 10.3 events per hour (interquartile range, 4.7-20.8). CSR was observed in 107 patients (23.2%). Multiple linear regression analysis showed that age, sex, body mass index, and hypertension were independently correlated with AHI (p = 0.0188, 0.0002, <0.0001, and 0.0457, respectively). Conversely, age, diabetes mellitus (DM), and the plasma N-terminal prohormone of brain natriuretic peptide (NT-proBNP) level were independently correlated with %CSR (p < 0.0001, 0.0047, and 0.0095, respectively).

Conclusion: SDB and CSR were common in patients with AF. CSR was observed in older patients with DM and high NT-proBNP levels.

求助全文
通过发布文献求助,成功后即可免费获取论文全文。 去求助
来源期刊
Reviews in cardiovascular medicine
Reviews in cardiovascular medicine 医学-心血管系统
CiteScore
2.70
自引率
3.70%
发文量
377
审稿时长
1 months
期刊介绍: RCM is an international, peer-reviewed, open access journal. RCM publishes research articles, review papers and short communications on cardiovascular medicine as well as research on cardiovascular disease. We aim to provide a forum for publishing papers which explore the pathogenesis and promote the progression of cardiac and vascular diseases. We also seek to establish an interdisciplinary platform, focusing on translational issues, to facilitate the advancement of research, clinical treatment and diagnostic procedures. Heart surgery, cardiovascular imaging, risk factors and various clinical cardiac & vascular research will be considered.
×
引用
GB/T 7714-2015
复制
MLA
复制
APA
复制
导出至
BibTeX EndNote RefMan NoteFirst NoteExpress
×
提示
您的信息不完整,为了账户安全,请先补充。
现在去补充
×
提示
您因"违规操作"
具体请查看互助需知
我知道了
×
提示
确定
请完成安全验证×
copy
已复制链接
快去分享给好友吧!
我知道了
右上角分享
点击右上角分享
0
联系我们:info@booksci.cn Book学术提供免费学术资源搜索服务,方便国内外学者检索中英文文献。致力于提供最便捷和优质的服务体验。 Copyright © 2023 布克学术 All rights reserved.
京ICP备2023020795号-1
ghs 京公网安备 11010802042870号
Book学术文献互助
Book学术文献互助群
群 号:604180095
Book学术官方微信