中国人群经导管主动脉瓣置换术患者左心室逆向重构的性别差异

IF 1.3 4区 医学 Q3 CARDIAC & CARDIOVASCULAR SYSTEMS
Reviews in cardiovascular medicine Pub Date : 2025-08-28 eCollection Date: 2025-08-01 DOI:10.31083/RCM39581
Jiaqi Zhang, Chengwei Chi, Li Cha, Yuwei Wang, Yuxin Shao, Qingtao Meng, Shulong Zhang, Jihong Liu, Enze Jin
{"title":"中国人群经导管主动脉瓣置换术患者左心室逆向重构的性别差异","authors":"Jiaqi Zhang, Chengwei Chi, Li Cha, Yuwei Wang, Yuxin Shao, Qingtao Meng, Shulong Zhang, Jihong Liu, Enze Jin","doi":"10.31083/RCM39581","DOIUrl":null,"url":null,"abstract":"<p><strong>Background: </strong>Differences between female and male patients may influence the outcomes of transcatheter aortic valve replacement (TAVR). However, knowledge regarding known sex differences in TAVR procedures among Chinese people remains limited. Therefore, this study aimed to investigate the impact of sex-related differences on reverse left ventricular (LV) remodeling following TAVR in the Chinese population.</p><p><strong>Methods: </strong>Patients with severe symptomatic aortic stenosis (AS) who underwent TAVR at the Heart Center of the Affiliated Zhongshan Hospital of Dalian University were enrolled. A total of 136 patients who underwent implantation of a self-expandable Venus A valve between 2019 and 2024 were evaluated. We retrospectively compared the clinical outcomes and characteristics of all patients by sex.</p><p><strong>Results: </strong>In our study, females presented with a smaller body surface area (BSA) (1.68 ± 0.15 m<sup>2</sup> vs. 1.90 ± 0.14 m<sup>2</sup>, <i>p</i> < 0.001), aortic valve area (AVA) (0.64 ± 0.22 cm<sup>2</sup> vs. 0.77 ± 0.20 cm<sup>2</sup>, <i>p</i> = 0.003), left ventricular end-diastole diameter (LVEDD) (49.72 ± 7.37 mm vs. 53.33 ± 8.36 mm, <i>p</i> = 0.023), as well as interventricular septum in diastole (IVSD) (12.85 ± 2.19 mm vs. 13.88 ± 2.61 mm, <i>p</i> = 0.034) at baseline. Comparatively, males had larger aortic root structures at baseline and a larger size of valve implantation during the procedure (<i>p</i> < 0.05). However, the indexed AVA was not significantly different between the two groups at baseline. Sex-specific outcomes, particularly AVA, LVEDD, aortic root diameter (AO), and IVSD, were significantly different during each follow-up within the first six months (<i>p</i> < 0.05), indicating that females experienced greater improvements in these echocardiographic characteristics after TAVR. Left ventricular ejection fraction (LVEF) only improved significantly at 1-month follow-up in females compared to males (57.77 ± 7.87% vs. 54.40 ± 8.21%, <i>p</i> = 0.037). Multivariable linear-regression analysis showed that being a female patient (Beta: 10.200; 95% CI: 0.075-20.326; <i>p</i> = 0.048), as well as having a higher IVSD (Beta: 2.939; 95% CI: 1.110-4.769; <i>p</i> = 0.002), and higher baseline left ventricular mass index (LVMi) (Beta: 0.409; 95% CI: 0.298-0.521; <i>p</i> < 0.001) were independently associated with greater mid-term LVMi regression post-TAVR.</p><p><strong>Conclusions: </strong>Female patients with AS exhibited more favorable mid-term LV reverse remodeling post-TAVR compared to male patients in a Chinese population.</p>","PeriodicalId":20989,"journal":{"name":"Reviews in cardiovascular medicine","volume":"26 8","pages":"39581"},"PeriodicalIF":1.3000,"publicationDate":"2025-08-28","publicationTypes":"Journal Article","fieldsOfStudy":null,"isOpenAccess":false,"openAccessPdf":"https://www.ncbi.nlm.nih.gov/pmc/articles/PMC12415741/pdf/","citationCount":"0","resultStr":"{\"title\":\"Sex Differences in Reverse Left Ventricular Remodeling in Patients Who Underwent Transcatheter Aortic Valve Replacement in a Chinese Population.\",\"authors\":\"Jiaqi Zhang, Chengwei Chi, Li Cha, Yuwei Wang, Yuxin Shao, Qingtao Meng, Shulong Zhang, Jihong Liu, Enze Jin\",\"doi\":\"10.31083/RCM39581\",\"DOIUrl\":null,\"url\":null,\"abstract\":\"<p><strong>Background: </strong>Differences between female and male patients may influence the outcomes of transcatheter aortic valve replacement (TAVR). However, knowledge regarding known sex differences in TAVR procedures among Chinese people remains limited. Therefore, this study aimed to investigate the impact of sex-related differences on reverse left ventricular (LV) remodeling following TAVR in the Chinese population.</p><p><strong>Methods: </strong>Patients with severe symptomatic aortic stenosis (AS) who underwent TAVR at the Heart Center of the Affiliated Zhongshan Hospital of Dalian University were enrolled. A total of 136 patients who underwent implantation of a self-expandable Venus A valve between 2019 and 2024 were evaluated. We retrospectively compared the clinical outcomes and characteristics of all patients by sex.</p><p><strong>Results: </strong>In our study, females presented with a smaller body surface area (BSA) (1.68 ± 0.15 m<sup>2</sup> vs. 1.90 ± 0.14 m<sup>2</sup>, <i>p</i> < 0.001), aortic valve area (AVA) (0.64 ± 0.22 cm<sup>2</sup> vs. 0.77 ± 0.20 cm<sup>2</sup>, <i>p</i> = 0.003), left ventricular end-diastole diameter (LVEDD) (49.72 ± 7.37 mm vs. 53.33 ± 8.36 mm, <i>p</i> = 0.023), as well as interventricular septum in diastole (IVSD) (12.85 ± 2.19 mm vs. 13.88 ± 2.61 mm, <i>p</i> = 0.034) at baseline. Comparatively, males had larger aortic root structures at baseline and a larger size of valve implantation during the procedure (<i>p</i> < 0.05). However, the indexed AVA was not significantly different between the two groups at baseline. Sex-specific outcomes, particularly AVA, LVEDD, aortic root diameter (AO), and IVSD, were significantly different during each follow-up within the first six months (<i>p</i> < 0.05), indicating that females experienced greater improvements in these echocardiographic characteristics after TAVR. Left ventricular ejection fraction (LVEF) only improved significantly at 1-month follow-up in females compared to males (57.77 ± 7.87% vs. 54.40 ± 8.21%, <i>p</i> = 0.037). Multivariable linear-regression analysis showed that being a female patient (Beta: 10.200; 95% CI: 0.075-20.326; <i>p</i> = 0.048), as well as having a higher IVSD (Beta: 2.939; 95% CI: 1.110-4.769; <i>p</i> = 0.002), and higher baseline left ventricular mass index (LVMi) (Beta: 0.409; 95% CI: 0.298-0.521; <i>p</i> < 0.001) were independently associated with greater mid-term LVMi regression post-TAVR.</p><p><strong>Conclusions: </strong>Female patients with AS exhibited more favorable mid-term LV reverse remodeling post-TAVR compared to male patients in a Chinese population.</p>\",\"PeriodicalId\":20989,\"journal\":{\"name\":\"Reviews in cardiovascular medicine\",\"volume\":\"26 8\",\"pages\":\"39581\"},\"PeriodicalIF\":1.3000,\"publicationDate\":\"2025-08-28\",\"publicationTypes\":\"Journal Article\",\"fieldsOfStudy\":null,\"isOpenAccess\":false,\"openAccessPdf\":\"https://www.ncbi.nlm.nih.gov/pmc/articles/PMC12415741/pdf/\",\"citationCount\":\"0\",\"resultStr\":null,\"platform\":\"Semanticscholar\",\"paperid\":null,\"PeriodicalName\":\"Reviews in cardiovascular medicine\",\"FirstCategoryId\":\"3\",\"ListUrlMain\":\"https://doi.org/10.31083/RCM39581\",\"RegionNum\":4,\"RegionCategory\":\"医学\",\"ArticlePicture\":[],\"TitleCN\":null,\"AbstractTextCN\":null,\"PMCID\":null,\"EPubDate\":\"2025/8/1 0:00:00\",\"PubModel\":\"eCollection\",\"JCR\":\"Q3\",\"JCRName\":\"CARDIAC & CARDIOVASCULAR SYSTEMS\",\"Score\":null,\"Total\":0}","platform":"Semanticscholar","paperid":null,"PeriodicalName":"Reviews in cardiovascular medicine","FirstCategoryId":"3","ListUrlMain":"https://doi.org/10.31083/RCM39581","RegionNum":4,"RegionCategory":"医学","ArticlePicture":[],"TitleCN":null,"AbstractTextCN":null,"PMCID":null,"EPubDate":"2025/8/1 0:00:00","PubModel":"eCollection","JCR":"Q3","JCRName":"CARDIAC & CARDIOVASCULAR SYSTEMS","Score":null,"Total":0}
引用次数: 0

摘要

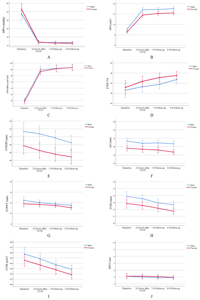
背景:女性和男性患者的差异可能会影响经导管主动脉瓣置换术(TAVR)的结果。然而,关于中国人TAVR手术中已知的性别差异的知识仍然有限。因此,本研究旨在探讨性别差异对中国人群TAVR后左室反向重构的影响。方法:选取大连大学附属中山医院心脏中心行TAVR术的严重症状性主动脉瓣狭窄(AS)患者。在2019年至2024年期间,共有136名患者接受了自膨胀金星A瓣膜植入手术。我们按性别对所有患者的临床结果和特征进行回顾性比较。结果:在我们的研究中,女性面对较小的身体表面积(BSA)(1.68±0.15平方米和1.90±0.14平方米,p < 0.001),主动脉瓣区(瓦)(0.64±0.22厘米2和0.77±0.20厘米2,p = 0.003),左心室end-diastole直径(LVEDD)(49.72±7.37毫米和53.33±8.36毫米,p = 0.023),以及在心脏舒张期室间隔(IVSD)(12.85±2.19毫米和13.88±2.61毫米,p = 0.034)。相比之下,男性在基线时主动脉根部结构更大,手术过程中瓣膜植入尺寸更大(p < 0.05)。然而,两组在基线时AVA指数无显著差异。在前六个月内的每次随访中,性别特异性结局,特别是AVA、LVEDD、主动脉根直径(AO)和IVSD均有显著差异(p < 0.05),表明女性在TAVR后这些超声心动图特征有更大的改善。女性左室射血分数(LVEF)仅在1个月随访时较男性显著改善(57.77±7.87%比54.40±8.21%,p = 0.037)。多变量线性回归分析显示,女性患者(Beta: 10.200, 95% CI: 0.075 ~ 20.326, p = 0.048)、较高的IVSD (Beta: 2.939, 95% CI: 1.110 ~ 4.769, p = 0.002)、较高的基线左室质量指数(LVMi) (Beta: 0.409, 95% CI: 0.298 ~ 0.521, p < 0.001)与tavr术后中期LVMi回归较高独立相关。结论:在中国人群中,与男性患者相比,女性AS患者在tavr后表现出更有利的中期左室反向重构。
本文章由计算机程序翻译,如有差异,请以英文原文为准。

Sex Differences in Reverse Left Ventricular Remodeling in Patients Who Underwent Transcatheter Aortic Valve Replacement in a Chinese Population.

Sex Differences in Reverse Left Ventricular Remodeling in Patients Who Underwent Transcatheter Aortic Valve Replacement in a Chinese Population.

Sex Differences in Reverse Left Ventricular Remodeling in Patients Who Underwent Transcatheter Aortic Valve Replacement in a Chinese Population.

Sex Differences in Reverse Left Ventricular Remodeling in Patients Who Underwent Transcatheter Aortic Valve Replacement in a Chinese Population.

Background: Differences between female and male patients may influence the outcomes of transcatheter aortic valve replacement (TAVR). However, knowledge regarding known sex differences in TAVR procedures among Chinese people remains limited. Therefore, this study aimed to investigate the impact of sex-related differences on reverse left ventricular (LV) remodeling following TAVR in the Chinese population.

Methods: Patients with severe symptomatic aortic stenosis (AS) who underwent TAVR at the Heart Center of the Affiliated Zhongshan Hospital of Dalian University were enrolled. A total of 136 patients who underwent implantation of a self-expandable Venus A valve between 2019 and 2024 were evaluated. We retrospectively compared the clinical outcomes and characteristics of all patients by sex.

Results: In our study, females presented with a smaller body surface area (BSA) (1.68 ± 0.15 m2 vs. 1.90 ± 0.14 m2, p < 0.001), aortic valve area (AVA) (0.64 ± 0.22 cm2 vs. 0.77 ± 0.20 cm2, p = 0.003), left ventricular end-diastole diameter (LVEDD) (49.72 ± 7.37 mm vs. 53.33 ± 8.36 mm, p = 0.023), as well as interventricular septum in diastole (IVSD) (12.85 ± 2.19 mm vs. 13.88 ± 2.61 mm, p = 0.034) at baseline. Comparatively, males had larger aortic root structures at baseline and a larger size of valve implantation during the procedure (p < 0.05). However, the indexed AVA was not significantly different between the two groups at baseline. Sex-specific outcomes, particularly AVA, LVEDD, aortic root diameter (AO), and IVSD, were significantly different during each follow-up within the first six months (p < 0.05), indicating that females experienced greater improvements in these echocardiographic characteristics after TAVR. Left ventricular ejection fraction (LVEF) only improved significantly at 1-month follow-up in females compared to males (57.77 ± 7.87% vs. 54.40 ± 8.21%, p = 0.037). Multivariable linear-regression analysis showed that being a female patient (Beta: 10.200; 95% CI: 0.075-20.326; p = 0.048), as well as having a higher IVSD (Beta: 2.939; 95% CI: 1.110-4.769; p = 0.002), and higher baseline left ventricular mass index (LVMi) (Beta: 0.409; 95% CI: 0.298-0.521; p < 0.001) were independently associated with greater mid-term LVMi regression post-TAVR.

Conclusions: Female patients with AS exhibited more favorable mid-term LV reverse remodeling post-TAVR compared to male patients in a Chinese population.

求助全文
通过发布文献求助,成功后即可免费获取论文全文。 去求助
来源期刊
Reviews in cardiovascular medicine
Reviews in cardiovascular medicine 医学-心血管系统
CiteScore
2.70
自引率
3.70%
发文量
377
审稿时长
1 months
期刊介绍: RCM is an international, peer-reviewed, open access journal. RCM publishes research articles, review papers and short communications on cardiovascular medicine as well as research on cardiovascular disease. We aim to provide a forum for publishing papers which explore the pathogenesis and promote the progression of cardiac and vascular diseases. We also seek to establish an interdisciplinary platform, focusing on translational issues, to facilitate the advancement of research, clinical treatment and diagnostic procedures. Heart surgery, cardiovascular imaging, risk factors and various clinical cardiac & vascular research will be considered.
×
引用
GB/T 7714-2015
复制
MLA
复制
APA
复制
导出至
BibTeX EndNote RefMan NoteFirst NoteExpress
×
提示
您的信息不完整,为了账户安全,请先补充。
现在去补充
×
提示
您因"违规操作"
具体请查看互助需知
我知道了
×
提示
确定
请完成安全验证×
copy
已复制链接
快去分享给好友吧!
我知道了
右上角分享
点击右上角分享
0
联系我们:info@booksci.cn Book学术提供免费学术资源搜索服务,方便国内外学者检索中英文文献。致力于提供最便捷和优质的服务体验。 Copyright © 2023 布克学术 All rights reserved.
京ICP备2023020795号-1
ghs 京公网安备 11010802042870号
Book学术文献互助
Book学术文献互助群
群 号:604180095
Book学术官方微信