大型医疗保健网络中跨性别者的癌症和癌前病变负担:回顾性队列研究

IF 2.7 Q2 ONCOLOGY
JMIR Cancer Pub Date : 2025-09-08 DOI:10.2196/73843
Shuang Yang, Yongqiu Li, Christopher W Wheldon, Jessica Y Islam, Mattia Prosperi, Thomas J George, Elizabeth A Shenkman, Fei Wang, Jiang Bian, Yi Guo
{"title":"大型医疗保健网络中跨性别者的癌症和癌前病变负担:回顾性队列研究","authors":"Shuang Yang, Yongqiu Li, Christopher W Wheldon, Jessica Y Islam, Mattia Prosperi, Thomas J George, Elizabeth A Shenkman, Fei Wang, Jiang Bian, Yi Guo","doi":"10.2196/73843","DOIUrl":null,"url":null,"abstract":"<p><strong>Background: </strong>Disparities in cancer burden between transgender and cisgender individuals remain an underexplored area of research.</p><p><strong>Objective: </strong>This study aimed to examine the cumulative incidence and associated risk factors for cancer and precancerous conditions among transgender individuals compared with matched cisgender individuals.</p><p><strong>Methods: </strong>We conducted a retrospective cohort study using patient-level electronic health record (EHR) data from the University of Florida Health Integrated Data Repository between 2012 and 2023. Transgender individuals were identified using a validated, computable phenotype algorithm that used structured data and clinical notes. They matched 1:10:10 by age and calendar year of index date with cisgender women and cisgender men. The index date was the first transgender-related record for transgender individuals and a matched diagnosis date for cisgender controls. Primary outcomes included new-onset cancers associated with human papillomavirus, human immunodeficiency virus, tobacco, alcohol, lung, breast, and colorectal sites. Secondary outcomes were precancerous conditions related to the same cancer types. We calculated cumulative incidence rates and conducted time-to-event analyses using the Fine-Gray method, treating all-cause death as a competing risk, to assess associations between gender identity and the presence of cancer or precancer, adjusting for demographic and clinical covariates. Interaction analyses evaluated if associations between cancer risk factors and precancer differed by gender identity.</p><p><strong>Results: </strong>We identified 2745 transgender individuals (mean age at index date 25.1, SD 14.0 years) and matched them with 27,450 cisgender women and 27,450 cisgender men from the same health care system. The cumulative incidence of cancer did not differ significantly between transgender and cisgender cohorts (transgender n=28, 1.0% vs cisgender women, n=358, 1.3%; P=.13 and cisgender men, n=314, 1.1%; P=.64). However, transgender individuals exhibited significantly higher risks for precancerous conditions compared to cisgender women (subdistribution hazard ratios [sHRs] 1.1, 95% CI 1.0-1.3) and cisgender men (sHR 1.3; 95% CI 1.2-1.5). Specifically, transgender individuals were more likely to develop colorectal precancer (sHR 1.2; 95% CI 1.1-1.4) compared to cisgender women, as well as human papillomavirus-related precancer (sHR 1.8; 95% CI 1.4-2.3) and colorectal precancer (sHR 1.4; 95% CI 1.2-1.6) compared to cisgender men. Subgroup analyses showed similar patterns in both female-to-male and male-to-female individuals compared with their matched cisgender counterparts. Interaction analyses revealed stronger protective effects of private insurance or Medicare against precancers in transgender individuals than in cisgender peers, while being non-Hispanic Black or having substantial comorbidities were stronger risk factors among transgender individuals.</p><p><strong>Conclusions: </strong>Transgender individuals showed a similar cancer incidence yet significantly higher precancer incidence compared with cisgender individuals, suggesting underdiagnosis or delayed detection. These findings highlight the need for tailored preventive care strategies, including targeted screenings and risk reduction interventions, to address cancer disparities in the transgender population.</p>","PeriodicalId":45538,"journal":{"name":"JMIR Cancer","volume":"11 ","pages":"e73843"},"PeriodicalIF":2.7000,"publicationDate":"2025-09-08","publicationTypes":"Journal Article","fieldsOfStudy":null,"isOpenAccess":false,"openAccessPdf":"https://www.ncbi.nlm.nih.gov/pmc/articles/PMC12416876/pdf/","citationCount":"0","resultStr":"{\"title\":\"The Burden of Cancer and Precancerous Conditions Among Transgender Individuals in a Large Health Care Network: Retrospective Cohort Study.\",\"authors\":\"Shuang Yang, Yongqiu Li, Christopher W Wheldon, Jessica Y Islam, Mattia Prosperi, Thomas J George, Elizabeth A Shenkman, Fei Wang, Jiang Bian, Yi Guo\",\"doi\":\"10.2196/73843\",\"DOIUrl\":null,\"url\":null,\"abstract\":\"<p><strong>Background: </strong>Disparities in cancer burden between transgender and cisgender individuals remain an underexplored area of research.</p><p><strong>Objective: </strong>This study aimed to examine the cumulative incidence and associated risk factors for cancer and precancerous conditions among transgender individuals compared with matched cisgender individuals.</p><p><strong>Methods: </strong>We conducted a retrospective cohort study using patient-level electronic health record (EHR) data from the University of Florida Health Integrated Data Repository between 2012 and 2023. Transgender individuals were identified using a validated, computable phenotype algorithm that used structured data and clinical notes. They matched 1:10:10 by age and calendar year of index date with cisgender women and cisgender men. The index date was the first transgender-related record for transgender individuals and a matched diagnosis date for cisgender controls. Primary outcomes included new-onset cancers associated with human papillomavirus, human immunodeficiency virus, tobacco, alcohol, lung, breast, and colorectal sites. Secondary outcomes were precancerous conditions related to the same cancer types. We calculated cumulative incidence rates and conducted time-to-event analyses using the Fine-Gray method, treating all-cause death as a competing risk, to assess associations between gender identity and the presence of cancer or precancer, adjusting for demographic and clinical covariates. Interaction analyses evaluated if associations between cancer risk factors and precancer differed by gender identity.</p><p><strong>Results: </strong>We identified 2745 transgender individuals (mean age at index date 25.1, SD 14.0 years) and matched them with 27,450 cisgender women and 27,450 cisgender men from the same health care system. The cumulative incidence of cancer did not differ significantly between transgender and cisgender cohorts (transgender n=28, 1.0% vs cisgender women, n=358, 1.3%; P=.13 and cisgender men, n=314, 1.1%; P=.64). However, transgender individuals exhibited significantly higher risks for precancerous conditions compared to cisgender women (subdistribution hazard ratios [sHRs] 1.1, 95% CI 1.0-1.3) and cisgender men (sHR 1.3; 95% CI 1.2-1.5). Specifically, transgender individuals were more likely to develop colorectal precancer (sHR 1.2; 95% CI 1.1-1.4) compared to cisgender women, as well as human papillomavirus-related precancer (sHR 1.8; 95% CI 1.4-2.3) and colorectal precancer (sHR 1.4; 95% CI 1.2-1.6) compared to cisgender men. Subgroup analyses showed similar patterns in both female-to-male and male-to-female individuals compared with their matched cisgender counterparts. Interaction analyses revealed stronger protective effects of private insurance or Medicare against precancers in transgender individuals than in cisgender peers, while being non-Hispanic Black or having substantial comorbidities were stronger risk factors among transgender individuals.</p><p><strong>Conclusions: </strong>Transgender individuals showed a similar cancer incidence yet significantly higher precancer incidence compared with cisgender individuals, suggesting underdiagnosis or delayed detection. These findings highlight the need for tailored preventive care strategies, including targeted screenings and risk reduction interventions, to address cancer disparities in the transgender population.</p>\",\"PeriodicalId\":45538,\"journal\":{\"name\":\"JMIR Cancer\",\"volume\":\"11 \",\"pages\":\"e73843\"},\"PeriodicalIF\":2.7000,\"publicationDate\":\"2025-09-08\",\"publicationTypes\":\"Journal Article\",\"fieldsOfStudy\":null,\"isOpenAccess\":false,\"openAccessPdf\":\"https://www.ncbi.nlm.nih.gov/pmc/articles/PMC12416876/pdf/\",\"citationCount\":\"0\",\"resultStr\":null,\"platform\":\"Semanticscholar\",\"paperid\":null,\"PeriodicalName\":\"JMIR Cancer\",\"FirstCategoryId\":\"1085\",\"ListUrlMain\":\"https://doi.org/10.2196/73843\",\"RegionNum\":0,\"RegionCategory\":null,\"ArticlePicture\":[],\"TitleCN\":null,\"AbstractTextCN\":null,\"PMCID\":null,\"EPubDate\":\"\",\"PubModel\":\"\",\"JCR\":\"Q2\",\"JCRName\":\"ONCOLOGY\",\"Score\":null,\"Total\":0}","platform":"Semanticscholar","paperid":null,"PeriodicalName":"JMIR Cancer","FirstCategoryId":"1085","ListUrlMain":"https://doi.org/10.2196/73843","RegionNum":0,"RegionCategory":null,"ArticlePicture":[],"TitleCN":null,"AbstractTextCN":null,"PMCID":null,"EPubDate":"","PubModel":"","JCR":"Q2","JCRName":"ONCOLOGY","Score":null,"Total":0}
引用次数: 0

摘要

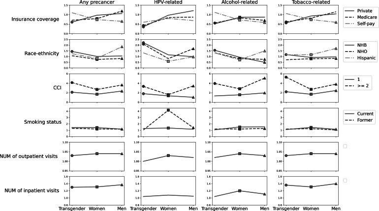
背景:变性人和顺性人之间癌症负担的差异仍然是一个未被充分探索的研究领域。目的:本研究旨在研究跨性别个体与匹配的顺性别个体相比,癌症和癌前病变的累积发病率及相关危险因素。方法:我们利用2012年至2023年佛罗里达大学健康综合数据库的患者级电子健康记录(EHR)数据进行了一项回顾性队列研究。变性人是通过使用结构化数据和临床记录的有效的、可计算的表现型算法来识别的。他们将顺性女性和顺性男性按年龄和日历年进行1:10:10的匹配。索引日期是跨性别个体的第一个与跨性别相关的记录,也是与顺性别对照相匹配的诊断日期。主要结局包括与人类乳头瘤病毒、人类免疫缺陷病毒、烟草、酒精、肺、乳腺和结直肠部位相关的新发癌症。次要结果是与相同癌症类型相关的癌前状况。我们计算了累积发病率,并使用Fine-Gray方法进行了时间-事件分析,将全因死亡视为竞争风险,评估性别认同与癌症或癌前病变存在之间的关系,调整了人口统计学和临床协变量。相互作用分析评估癌症风险因素和癌前病变之间的关联是否因性别认同而异。结果:我们确定了2745名变性人(索引日期平均年龄25.1岁,标准差14.0岁),并将他们与来自同一医疗保健系统的27,450名顺性女性和27,450名顺性男性相匹配。变性人和顺性人群的累积癌症发病率无显著差异(变性人n=28, 1.0% vs顺性女性n=358, 1.3%; P= 0.13;顺性男性n=314, 1.1%; P= 0.64)。然而,与顺性女性(亚分布风险比[sHR] 1.1, 95% CI 1.0-1.3)和顺性男性(sHR 1.3, 95% CI 1.2-1.5)相比,变性人患癌前病变的风险明显更高。具体而言,与顺性女性相比,跨性别者更容易发生结直肠癌前病变(sHR 1.2; 95% CI 1.1-1.4),与顺性男性相比,人乳头瘤病毒相关的癌前病变(sHR 1.8; 95% CI 1.4-2.3)和结直肠癌前病变(sHR 1.4; 95% CI 1.2-1.6)。亚组分析显示,女性对男性和男性对女性个体的模式与匹配的顺性别个体相似。相互作用分析显示,与顺性同龄人相比,私人保险或医疗保险对变性人的癌前病变的保护作用更强,而非西班牙裔黑人或有大量合并症是变性人更强的危险因素。结论:与顺性人群相比,跨性别人群的癌症发病率相似,但癌前病变发生率明显高于顺性人群,这可能提示诊断不足或发现延迟。这些发现突出表明,需要制定量身定制的预防保健策略,包括有针对性的筛查和降低风险的干预措施,以解决跨性别人群中的癌症差异。
本文章由计算机程序翻译,如有差异,请以英文原文为准。

The Burden of Cancer and Precancerous Conditions Among Transgender Individuals in a Large Health Care Network: Retrospective Cohort Study.

The Burden of Cancer and Precancerous Conditions Among Transgender Individuals in a Large Health Care Network: Retrospective Cohort Study.

The Burden of Cancer and Precancerous Conditions Among Transgender Individuals in a Large Health Care Network: Retrospective Cohort Study.

The Burden of Cancer and Precancerous Conditions Among Transgender Individuals in a Large Health Care Network: Retrospective Cohort Study.

Background: Disparities in cancer burden between transgender and cisgender individuals remain an underexplored area of research.

Objective: This study aimed to examine the cumulative incidence and associated risk factors for cancer and precancerous conditions among transgender individuals compared with matched cisgender individuals.

Methods: We conducted a retrospective cohort study using patient-level electronic health record (EHR) data from the University of Florida Health Integrated Data Repository between 2012 and 2023. Transgender individuals were identified using a validated, computable phenotype algorithm that used structured data and clinical notes. They matched 1:10:10 by age and calendar year of index date with cisgender women and cisgender men. The index date was the first transgender-related record for transgender individuals and a matched diagnosis date for cisgender controls. Primary outcomes included new-onset cancers associated with human papillomavirus, human immunodeficiency virus, tobacco, alcohol, lung, breast, and colorectal sites. Secondary outcomes were precancerous conditions related to the same cancer types. We calculated cumulative incidence rates and conducted time-to-event analyses using the Fine-Gray method, treating all-cause death as a competing risk, to assess associations between gender identity and the presence of cancer or precancer, adjusting for demographic and clinical covariates. Interaction analyses evaluated if associations between cancer risk factors and precancer differed by gender identity.

Results: We identified 2745 transgender individuals (mean age at index date 25.1, SD 14.0 years) and matched them with 27,450 cisgender women and 27,450 cisgender men from the same health care system. The cumulative incidence of cancer did not differ significantly between transgender and cisgender cohorts (transgender n=28, 1.0% vs cisgender women, n=358, 1.3%; P=.13 and cisgender men, n=314, 1.1%; P=.64). However, transgender individuals exhibited significantly higher risks for precancerous conditions compared to cisgender women (subdistribution hazard ratios [sHRs] 1.1, 95% CI 1.0-1.3) and cisgender men (sHR 1.3; 95% CI 1.2-1.5). Specifically, transgender individuals were more likely to develop colorectal precancer (sHR 1.2; 95% CI 1.1-1.4) compared to cisgender women, as well as human papillomavirus-related precancer (sHR 1.8; 95% CI 1.4-2.3) and colorectal precancer (sHR 1.4; 95% CI 1.2-1.6) compared to cisgender men. Subgroup analyses showed similar patterns in both female-to-male and male-to-female individuals compared with their matched cisgender counterparts. Interaction analyses revealed stronger protective effects of private insurance or Medicare against precancers in transgender individuals than in cisgender peers, while being non-Hispanic Black or having substantial comorbidities were stronger risk factors among transgender individuals.

Conclusions: Transgender individuals showed a similar cancer incidence yet significantly higher precancer incidence compared with cisgender individuals, suggesting underdiagnosis or delayed detection. These findings highlight the need for tailored preventive care strategies, including targeted screenings and risk reduction interventions, to address cancer disparities in the transgender population.

求助全文
通过发布文献求助,成功后即可免费获取论文全文。 去求助
来源期刊
JMIR Cancer
JMIR Cancer ONCOLOGY-
CiteScore
4.10
自引率
0.00%
发文量
64
审稿时长
12 weeks
×
引用
GB/T 7714-2015
复制
MLA
复制
APA
复制
导出至
BibTeX EndNote RefMan NoteFirst NoteExpress
×
提示
您的信息不完整,为了账户安全,请先补充。
现在去补充
×
提示
您因"违规操作"
具体请查看互助需知
我知道了
×
提示
确定
请完成安全验证×
copy
已复制链接
快去分享给好友吧!
我知道了
右上角分享
点击右上角分享
0
联系我们:info@booksci.cn Book学术提供免费学术资源搜索服务,方便国内外学者检索中英文文献。致力于提供最便捷和优质的服务体验。 Copyright © 2023 布克学术 All rights reserved.
京ICP备2023020795号-1
ghs 京公网安备 11010802042870号
Book学术文献互助
Book学术文献互助群
群 号:604180095
Book学术官方微信