儿科人群中的Bertolotti综合征:文献综述和管理算法。

IF 2.1 Q2 ORTHOPEDICS
Daniel C Gabriel, David S Liu, Bryan Ang, Kristen E Hines, Anjali M Prabhat, Grant D Hogue
{"title":"儿科人群中的Bertolotti综合征:文献综述和管理算法。","authors":"Daniel C Gabriel, David S Liu, Bryan Ang, Kristen E Hines, Anjali M Prabhat, Grant D Hogue","doi":"10.5435/JAAOSGlobal-D-25-00069","DOIUrl":null,"url":null,"abstract":"<p><strong>Purpose: </strong>The purpose of this study was to develop a comprehensive step-wise management algorithm for Bertolotti syndrome in the pediatric population by conducting a systematic review of the current literature regarding the diagnostic evaluation, nonsurgical and surgical treatment, and outcomes.</p><p><strong>Methods: </strong>A systematic review of the literature was conducted using PubMed to identify studies focused on the management of Bertolotti syndrome in the pediatric population. Data extraction of clinical presentation, management strategies, imaging, and outcomes was completed.</p><p><strong>Results: </strong>Thirteen studies reported on 17 patients younger than 18 years with confirmed diagnosis of Bertolotti syndrome were identified. Lower back pain was the most common presenting symptom and was described in all 13 studies. Radicular pain was described in six of 13 studies. Diagnostic, intraoperative, and postoperative assessments included preoperative radiographs, CT, MRI, along with targeted injections. Treatment options ranged from nonsurgical to surgical measures. Conservative options included physical therapy, nonsteroidal anti-inflammatory medications, bracing treatment, and targeted injections. Surgical modalities included open surgical resection and posterior spinal fusion. All patients in the 13 studies demonstrated partial or complete resolution of their presenting symptoms.</p><p><strong>Conclusions: </strong>This study provides a proposed systemic algorithm for the management of Bertolotti syndrome in the pediatric population. Based on our review of the current literature, we recommend a stepwise approach to the management of Bertolotti syndrome starting from conservative options and progressing toward surgical treatment if symptoms persist.</p>","PeriodicalId":45062,"journal":{"name":"Journal of the American Academy of Orthopaedic Surgeons Global Research and Reviews","volume":"9 9","pages":""},"PeriodicalIF":2.1000,"publicationDate":"2025-09-03","publicationTypes":"Journal Article","fieldsOfStudy":null,"isOpenAccess":false,"openAccessPdf":"https://www.ncbi.nlm.nih.gov/pmc/articles/PMC12410315/pdf/","citationCount":"0","resultStr":"{\"title\":\"Bertolotti Syndrome in the Pediatric Population: A Literature Review and Management Algorithm.\",\"authors\":\"Daniel C Gabriel, David S Liu, Bryan Ang, Kristen E Hines, Anjali M Prabhat, Grant D Hogue\",\"doi\":\"10.5435/JAAOSGlobal-D-25-00069\",\"DOIUrl\":null,\"url\":null,\"abstract\":\"<p><strong>Purpose: </strong>The purpose of this study was to develop a comprehensive step-wise management algorithm for Bertolotti syndrome in the pediatric population by conducting a systematic review of the current literature regarding the diagnostic evaluation, nonsurgical and surgical treatment, and outcomes.</p><p><strong>Methods: </strong>A systematic review of the literature was conducted using PubMed to identify studies focused on the management of Bertolotti syndrome in the pediatric population. Data extraction of clinical presentation, management strategies, imaging, and outcomes was completed.</p><p><strong>Results: </strong>Thirteen studies reported on 17 patients younger than 18 years with confirmed diagnosis of Bertolotti syndrome were identified. Lower back pain was the most common presenting symptom and was described in all 13 studies. Radicular pain was described in six of 13 studies. Diagnostic, intraoperative, and postoperative assessments included preoperative radiographs, CT, MRI, along with targeted injections. Treatment options ranged from nonsurgical to surgical measures. Conservative options included physical therapy, nonsteroidal anti-inflammatory medications, bracing treatment, and targeted injections. Surgical modalities included open surgical resection and posterior spinal fusion. All patients in the 13 studies demonstrated partial or complete resolution of their presenting symptoms.</p><p><strong>Conclusions: </strong>This study provides a proposed systemic algorithm for the management of Bertolotti syndrome in the pediatric population. Based on our review of the current literature, we recommend a stepwise approach to the management of Bertolotti syndrome starting from conservative options and progressing toward surgical treatment if symptoms persist.</p>\",\"PeriodicalId\":45062,\"journal\":{\"name\":\"Journal of the American Academy of Orthopaedic Surgeons Global Research and Reviews\",\"volume\":\"9 9\",\"pages\":\"\"},\"PeriodicalIF\":2.1000,\"publicationDate\":\"2025-09-03\",\"publicationTypes\":\"Journal Article\",\"fieldsOfStudy\":null,\"isOpenAccess\":false,\"openAccessPdf\":\"https://www.ncbi.nlm.nih.gov/pmc/articles/PMC12410315/pdf/\",\"citationCount\":\"0\",\"resultStr\":null,\"platform\":\"Semanticscholar\",\"paperid\":null,\"PeriodicalName\":\"Journal of the American Academy of Orthopaedic Surgeons Global Research and Reviews\",\"FirstCategoryId\":\"1085\",\"ListUrlMain\":\"https://doi.org/10.5435/JAAOSGlobal-D-25-00069\",\"RegionNum\":0,\"RegionCategory\":null,\"ArticlePicture\":[],\"TitleCN\":null,\"AbstractTextCN\":null,\"PMCID\":null,\"EPubDate\":\"2025/9/1 0:00:00\",\"PubModel\":\"eCollection\",\"JCR\":\"Q2\",\"JCRName\":\"ORTHOPEDICS\",\"Score\":null,\"Total\":0}","platform":"Semanticscholar","paperid":null,"PeriodicalName":"Journal of the American Academy of Orthopaedic Surgeons Global Research and Reviews","FirstCategoryId":"1085","ListUrlMain":"https://doi.org/10.5435/JAAOSGlobal-D-25-00069","RegionNum":0,"RegionCategory":null,"ArticlePicture":[],"TitleCN":null,"AbstractTextCN":null,"PMCID":null,"EPubDate":"2025/9/1 0:00:00","PubModel":"eCollection","JCR":"Q2","JCRName":"ORTHOPEDICS","Score":null,"Total":0}
引用次数: 0

摘要

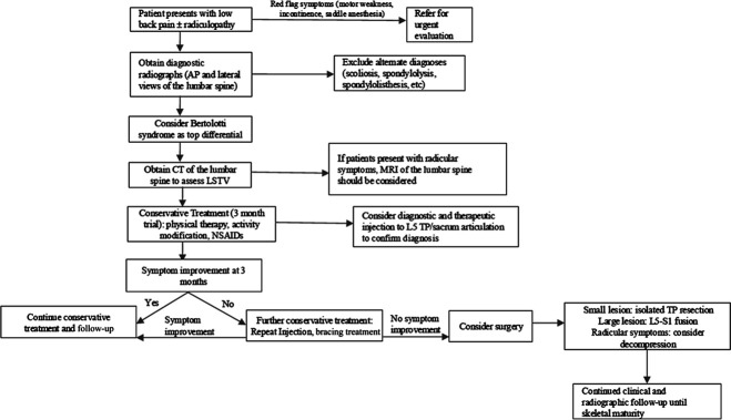
目的:本研究的目的是通过对目前有关Bertolotti综合征的诊断评估、非手术和手术治疗以及结果的文献进行系统回顾,为儿科人群开发一种全面的分步管理算法。方法:通过PubMed对文献进行系统回顾,以确定儿科人群Bertolotti综合征管理方面的研究。完成临床表现、治疗策略、影像学及转归的资料提取。结果:13项研究报告了17例年龄小于18岁确诊为Bertolotti综合征的患者。下背部疼痛是最常见的症状,在所有13项研究中都有描述。13项研究中有6项描述了神经根性疼痛。诊断、术中和术后评估包括术前x线片、CT、MRI以及靶向注射。治疗选择从非手术到手术。保守治疗方案包括物理治疗、非甾体抗炎药物、支具治疗和靶向注射。手术方式包括开放手术切除和后路脊柱融合术。13项研究中的所有患者均表现出其症状的部分或完全缓解。结论:本研究为儿科人群Bertolotti综合征的管理提供了一个系统的算法。基于我们对现有文献的回顾,我们建议采用循序渐进的方法来治疗Bertolotti综合征,从保守治疗开始,如果症状持续,则进行手术治疗。
本文章由计算机程序翻译,如有差异,请以英文原文为准。

Bertolotti Syndrome in the Pediatric Population: A Literature Review and Management Algorithm.

Bertolotti Syndrome in the Pediatric Population: A Literature Review and Management Algorithm.

Bertolotti Syndrome in the Pediatric Population: A Literature Review and Management Algorithm.

Bertolotti Syndrome in the Pediatric Population: A Literature Review and Management Algorithm.

Purpose: The purpose of this study was to develop a comprehensive step-wise management algorithm for Bertolotti syndrome in the pediatric population by conducting a systematic review of the current literature regarding the diagnostic evaluation, nonsurgical and surgical treatment, and outcomes.

Methods: A systematic review of the literature was conducted using PubMed to identify studies focused on the management of Bertolotti syndrome in the pediatric population. Data extraction of clinical presentation, management strategies, imaging, and outcomes was completed.

Results: Thirteen studies reported on 17 patients younger than 18 years with confirmed diagnosis of Bertolotti syndrome were identified. Lower back pain was the most common presenting symptom and was described in all 13 studies. Radicular pain was described in six of 13 studies. Diagnostic, intraoperative, and postoperative assessments included preoperative radiographs, CT, MRI, along with targeted injections. Treatment options ranged from nonsurgical to surgical measures. Conservative options included physical therapy, nonsteroidal anti-inflammatory medications, bracing treatment, and targeted injections. Surgical modalities included open surgical resection and posterior spinal fusion. All patients in the 13 studies demonstrated partial or complete resolution of their presenting symptoms.

Conclusions: This study provides a proposed systemic algorithm for the management of Bertolotti syndrome in the pediatric population. Based on our review of the current literature, we recommend a stepwise approach to the management of Bertolotti syndrome starting from conservative options and progressing toward surgical treatment if symptoms persist.

求助全文
通过发布文献求助,成功后即可免费获取论文全文。 去求助
来源期刊
CiteScore
2.60
自引率
6.70%
发文量
282
审稿时长
8 weeks
×
引用
GB/T 7714-2015
复制
MLA
复制
APA
复制
导出至
BibTeX EndNote RefMan NoteFirst NoteExpress
×
提示
您的信息不完整,为了账户安全,请先补充。
现在去补充
×
提示
您因"违规操作"
具体请查看互助需知
我知道了
×
提示
确定
请完成安全验证×
copy
已复制链接
快去分享给好友吧!
我知道了
右上角分享
点击右上角分享
0
联系我们:info@booksci.cn Book学术提供免费学术资源搜索服务,方便国内外学者检索中英文文献。致力于提供最便捷和优质的服务体验。 Copyright © 2023 布克学术 All rights reserved.
京ICP备2023020795号-1
ghs 京公网安备 11010802042870号
Book学术文献互助
Book学术文献互助群
群 号:604180095
Book学术官方微信