对当代全外显子组测序捕获试剂盒进行系统分析,以优化CCDS区域的高覆盖率捕获。

IF 2.8 Q1 GENETICS & HEREDITY
Fernando Vázquez López, James J Ashton, Guo Cheng, Sarah Ennis
{"title":"对当代全外显子组测序捕获试剂盒进行系统分析,以优化CCDS区域的高覆盖率捕获。","authors":"Fernando Vázquez López, James J Ashton, Guo Cheng, Sarah Ennis","doi":"10.1093/nargab/lqaf115","DOIUrl":null,"url":null,"abstract":"<p><p>Whole exome sequencing (WES) is a well-established tool for clinical diagnostics, is more cost-effective and faster to analyse than whole genome sequencing and has been implemented to uplift diagnostic rates in human disease. However, challenges remain to achieve comprehensive and uniform coverage of targets, and high sensitivity and specificity. Differences in genomic target regions and exome capture mechanism between kits may lead to differences in overall coverage uniformity and capture efficiency. Here, we analyse the efficiency of a range of off-the-shelf exome sequencing (ES) kits in capturing their reported targets and the consensus coding sequence (CCDS) regions. Our results show Twist Custom Exome, Twist Human Comprehensive Exome, and Roche KAPA HyperExome V1 perform particularly well at capturing their target regions at 10X and 20X coverage and achieve the highest capture efficiency of CCDS regions upon read downsampling. This was the case despite both Twist kits targeting less than 37Mb in the genome. Our analysis highlights the impact of kit target design on capture efficiency in WES, with kit target size and uniformity of coverage impacting the capture efficiency of CCDS regions. This benchmark will help researchers to make an informed decision based on their needs.</p>","PeriodicalId":33994,"journal":{"name":"NAR Genomics and Bioinformatics","volume":"7 3","pages":"lqaf115"},"PeriodicalIF":2.8000,"publicationDate":"2025-09-01","publicationTypes":"Journal Article","fieldsOfStudy":null,"isOpenAccess":false,"openAccessPdf":"https://www.ncbi.nlm.nih.gov/pmc/articles/PMC12408908/pdf/","citationCount":"0","resultStr":"{\"title\":\"A systematic analysis of contemporary whole exome sequencing capture kits to optimise high-coverage capture of CCDS regions.\",\"authors\":\"Fernando Vázquez López, James J Ashton, Guo Cheng, Sarah Ennis\",\"doi\":\"10.1093/nargab/lqaf115\",\"DOIUrl\":null,\"url\":null,\"abstract\":\"<p><p>Whole exome sequencing (WES) is a well-established tool for clinical diagnostics, is more cost-effective and faster to analyse than whole genome sequencing and has been implemented to uplift diagnostic rates in human disease. However, challenges remain to achieve comprehensive and uniform coverage of targets, and high sensitivity and specificity. Differences in genomic target regions and exome capture mechanism between kits may lead to differences in overall coverage uniformity and capture efficiency. Here, we analyse the efficiency of a range of off-the-shelf exome sequencing (ES) kits in capturing their reported targets and the consensus coding sequence (CCDS) regions. Our results show Twist Custom Exome, Twist Human Comprehensive Exome, and Roche KAPA HyperExome V1 perform particularly well at capturing their target regions at 10X and 20X coverage and achieve the highest capture efficiency of CCDS regions upon read downsampling. This was the case despite both Twist kits targeting less than 37Mb in the genome. Our analysis highlights the impact of kit target design on capture efficiency in WES, with kit target size and uniformity of coverage impacting the capture efficiency of CCDS regions. This benchmark will help researchers to make an informed decision based on their needs.</p>\",\"PeriodicalId\":33994,\"journal\":{\"name\":\"NAR Genomics and Bioinformatics\",\"volume\":\"7 3\",\"pages\":\"lqaf115\"},\"PeriodicalIF\":2.8000,\"publicationDate\":\"2025-09-01\",\"publicationTypes\":\"Journal Article\",\"fieldsOfStudy\":null,\"isOpenAccess\":false,\"openAccessPdf\":\"https://www.ncbi.nlm.nih.gov/pmc/articles/PMC12408908/pdf/\",\"citationCount\":\"0\",\"resultStr\":null,\"platform\":\"Semanticscholar\",\"paperid\":null,\"PeriodicalName\":\"NAR Genomics and Bioinformatics\",\"FirstCategoryId\":\"1085\",\"ListUrlMain\":\"https://doi.org/10.1093/nargab/lqaf115\",\"RegionNum\":0,\"RegionCategory\":null,\"ArticlePicture\":[],\"TitleCN\":null,\"AbstractTextCN\":null,\"PMCID\":null,\"EPubDate\":\"\",\"PubModel\":\"\",\"JCR\":\"Q1\",\"JCRName\":\"GENETICS & HEREDITY\",\"Score\":null,\"Total\":0}","platform":"Semanticscholar","paperid":null,"PeriodicalName":"NAR Genomics and Bioinformatics","FirstCategoryId":"1085","ListUrlMain":"https://doi.org/10.1093/nargab/lqaf115","RegionNum":0,"RegionCategory":null,"ArticlePicture":[],"TitleCN":null,"AbstractTextCN":null,"PMCID":null,"EPubDate":"","PubModel":"","JCR":"Q1","JCRName":"GENETICS & HEREDITY","Score":null,"Total":0}
引用次数: 0

摘要

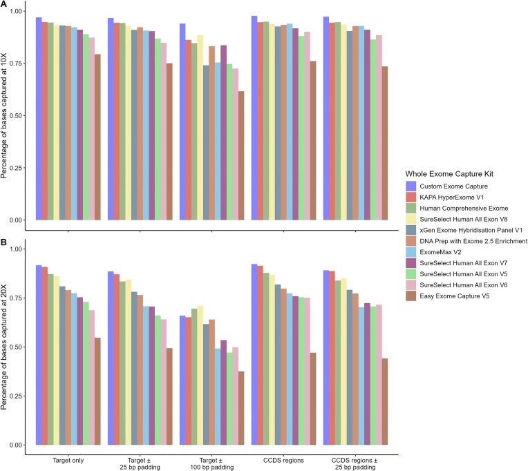
全外显子组测序(WES)是一种完善的临床诊断工具,比全基因组测序更具成本效益,分析速度更快,并已用于提高人类疾病的诊断率。然而,如何实现对目标的全面和统一覆盖,以及高灵敏度和特异性仍然存在挑战。试剂盒间基因组靶区和外显子组捕获机制的差异可能导致整体覆盖均匀性和捕获效率的差异。在这里,我们分析了一系列现成的外显子组测序(ES)试剂盒在捕获其报道的靶标和共识编码序列(CCDS)区域方面的效率。我们的研究结果表明,Twist Custom Exome、Twist Human Comprehensive Exome和Roche KAPA HyperExome V1在10倍和20倍覆盖率下捕获其目标区域表现特别好,并且在读取下采样时达到最高的CCDS区域捕获效率。尽管两种Twist试剂盒的目标基因组都小于37Mb,但情况仍然如此。我们的分析强调了试剂盒靶设计对WES捕获效率的影响,试剂盒靶尺寸和覆盖均匀性影响CCDS区域的捕获效率。这一基准将帮助研究人员根据他们的需求做出明智的决定。
本文章由计算机程序翻译,如有差异,请以英文原文为准。

A systematic analysis of contemporary whole exome sequencing capture kits to optimise high-coverage capture of CCDS regions.

A systematic analysis of contemporary whole exome sequencing capture kits to optimise high-coverage capture of CCDS regions.

Whole exome sequencing (WES) is a well-established tool for clinical diagnostics, is more cost-effective and faster to analyse than whole genome sequencing and has been implemented to uplift diagnostic rates in human disease. However, challenges remain to achieve comprehensive and uniform coverage of targets, and high sensitivity and specificity. Differences in genomic target regions and exome capture mechanism between kits may lead to differences in overall coverage uniformity and capture efficiency. Here, we analyse the efficiency of a range of off-the-shelf exome sequencing (ES) kits in capturing their reported targets and the consensus coding sequence (CCDS) regions. Our results show Twist Custom Exome, Twist Human Comprehensive Exome, and Roche KAPA HyperExome V1 perform particularly well at capturing their target regions at 10X and 20X coverage and achieve the highest capture efficiency of CCDS regions upon read downsampling. This was the case despite both Twist kits targeting less than 37Mb in the genome. Our analysis highlights the impact of kit target design on capture efficiency in WES, with kit target size and uniformity of coverage impacting the capture efficiency of CCDS regions. This benchmark will help researchers to make an informed decision based on their needs.

求助全文
通过发布文献求助,成功后即可免费获取论文全文。 去求助
来源期刊
CiteScore
8.00
自引率
2.20%
发文量
95
审稿时长
15 weeks
×
引用
GB/T 7714-2015
复制
MLA
复制
APA
复制
导出至
BibTeX EndNote RefMan NoteFirst NoteExpress
×
提示
您的信息不完整,为了账户安全,请先补充。
现在去补充
×
提示
您因"违规操作"
具体请查看互助需知
我知道了
×
提示
确定
请完成安全验证×
copy
已复制链接
快去分享给好友吧!
我知道了
右上角分享
点击右上角分享
0
联系我们:info@booksci.cn Book学术提供免费学术资源搜索服务,方便国内外学者检索中英文文献。致力于提供最便捷和优质的服务体验。 Copyright © 2023 布克学术 All rights reserved.
京ICP备2023020795号-1
ghs 京公网安备 11010802042870号
Book学术文献互助
Book学术文献互助群
群 号:604180095
Book学术官方微信