炎症生物标志物、高尿酸血症与慢性肾脏疾病的关系:NHANES 2015-2020分析

IF 3 3区 医学 Q1 UROLOGY & NEPHROLOGY
Renal Failure Pub Date : 2025-12-01 Epub Date: 2025-09-07 DOI:10.1080/0886022X.2025.2553808
Huimin Li, Jingda Huang, Mindan Sun
{"title":"炎症生物标志物、高尿酸血症与慢性肾脏疾病的关系:NHANES 2015-2020分析","authors":"Huimin Li, Jingda Huang, Mindan Sun","doi":"10.1080/0886022X.2025.2553808","DOIUrl":null,"url":null,"abstract":"<p><strong>Background: </strong>Inflammation and hyperuricemia are closely associated with chronic kidney disease (CKD). The systemic inflammation response index (SIRI), systemic immune-inflammation index (SII), monocyte-to-lymphocyte ratio (MLR), neutrophil-to-lymphocyte ratio (NLR), and platelet-to-lymphocyte ratio (PLR) are emerging as novel biomarkers. While, the synergistic effects of these biomarkers with hyperuricemia on CKD remain unclear.</p><p><strong>Method: </strong>We analyzed 10,226 participants from 2015-2020 National Health and Nutrition Examination Survey (NHANES). The relationships among inflammatory biomarkers (SIRI, SII, MLR, NLR, and PLR), hyperuricemia and CKD were assessed by multivariate logistic regression models. Restricted cubic splines (RCS) and segmented regression models were used to evaluate the nonlinear relationships. The diagnostic performance was evaluated using receiver operating characteristic (ROC) curve, and incremental predictive value was further calculated by Net Reclassification Improvement (NRI) and Integrated Discrimination Improvement (IDI). The interaction analysis was performed to explore the combined effects.</p><p><strong>Results: </strong>SIRI, SII, MLR, and NLR were significantly linked with CKD. MLR exhibited a threshold effect at 0.22 (<i>p</i>-non-linear < 0.05), with significantly stronger association with CKD above this cutoff. SIRI demonstrated the best diagnostic accuracy among these biomarkers. Significant interactions were observed between hyperuricemia and inflammatory biomarkers (SIRI, SII, MLR, NLR), indicating that the association between inflammatory biomarkers and CKD is more pronounced in the presence of hyperuricemia.</p><p><strong>Conclusion: </strong>There were significant associations between inflammatory biomarkers (SII, SIRI, NLR, MLR) and CKD, with particularly stronger correlations observed in patients with hyperuricemia.</p>","PeriodicalId":20839,"journal":{"name":"Renal Failure","volume":"47 1","pages":"2553808"},"PeriodicalIF":3.0000,"publicationDate":"2025-12-01","publicationTypes":"Journal Article","fieldsOfStudy":null,"isOpenAccess":false,"openAccessPdf":"https://www.ncbi.nlm.nih.gov/pmc/articles/PMC12416012/pdf/","citationCount":"0","resultStr":"{\"title\":\"The relationship among inflammatory biomarkers, hyperuricemia and chronic kidney disease: analysis of the NHANES 2015-2020.\",\"authors\":\"Huimin Li, Jingda Huang, Mindan Sun\",\"doi\":\"10.1080/0886022X.2025.2553808\",\"DOIUrl\":null,\"url\":null,\"abstract\":\"<p><strong>Background: </strong>Inflammation and hyperuricemia are closely associated with chronic kidney disease (CKD). The systemic inflammation response index (SIRI), systemic immune-inflammation index (SII), monocyte-to-lymphocyte ratio (MLR), neutrophil-to-lymphocyte ratio (NLR), and platelet-to-lymphocyte ratio (PLR) are emerging as novel biomarkers. While, the synergistic effects of these biomarkers with hyperuricemia on CKD remain unclear.</p><p><strong>Method: </strong>We analyzed 10,226 participants from 2015-2020 National Health and Nutrition Examination Survey (NHANES). The relationships among inflammatory biomarkers (SIRI, SII, MLR, NLR, and PLR), hyperuricemia and CKD were assessed by multivariate logistic regression models. Restricted cubic splines (RCS) and segmented regression models were used to evaluate the nonlinear relationships. The diagnostic performance was evaluated using receiver operating characteristic (ROC) curve, and incremental predictive value was further calculated by Net Reclassification Improvement (NRI) and Integrated Discrimination Improvement (IDI). The interaction analysis was performed to explore the combined effects.</p><p><strong>Results: </strong>SIRI, SII, MLR, and NLR were significantly linked with CKD. MLR exhibited a threshold effect at 0.22 (<i>p</i>-non-linear < 0.05), with significantly stronger association with CKD above this cutoff. SIRI demonstrated the best diagnostic accuracy among these biomarkers. Significant interactions were observed between hyperuricemia and inflammatory biomarkers (SIRI, SII, MLR, NLR), indicating that the association between inflammatory biomarkers and CKD is more pronounced in the presence of hyperuricemia.</p><p><strong>Conclusion: </strong>There were significant associations between inflammatory biomarkers (SII, SIRI, NLR, MLR) and CKD, with particularly stronger correlations observed in patients with hyperuricemia.</p>\",\"PeriodicalId\":20839,\"journal\":{\"name\":\"Renal Failure\",\"volume\":\"47 1\",\"pages\":\"2553808\"},\"PeriodicalIF\":3.0000,\"publicationDate\":\"2025-12-01\",\"publicationTypes\":\"Journal Article\",\"fieldsOfStudy\":null,\"isOpenAccess\":false,\"openAccessPdf\":\"https://www.ncbi.nlm.nih.gov/pmc/articles/PMC12416012/pdf/\",\"citationCount\":\"0\",\"resultStr\":null,\"platform\":\"Semanticscholar\",\"paperid\":null,\"PeriodicalName\":\"Renal Failure\",\"FirstCategoryId\":\"3\",\"ListUrlMain\":\"https://doi.org/10.1080/0886022X.2025.2553808\",\"RegionNum\":3,\"RegionCategory\":\"医学\",\"ArticlePicture\":[],\"TitleCN\":null,\"AbstractTextCN\":null,\"PMCID\":null,\"EPubDate\":\"2025/9/7 0:00:00\",\"PubModel\":\"Epub\",\"JCR\":\"Q1\",\"JCRName\":\"UROLOGY & NEPHROLOGY\",\"Score\":null,\"Total\":0}","platform":"Semanticscholar","paperid":null,"PeriodicalName":"Renal Failure","FirstCategoryId":"3","ListUrlMain":"https://doi.org/10.1080/0886022X.2025.2553808","RegionNum":3,"RegionCategory":"医学","ArticlePicture":[],"TitleCN":null,"AbstractTextCN":null,"PMCID":null,"EPubDate":"2025/9/7 0:00:00","PubModel":"Epub","JCR":"Q1","JCRName":"UROLOGY & NEPHROLOGY","Score":null,"Total":0}
引用次数: 0

摘要

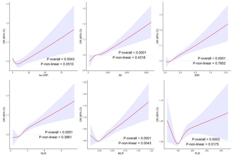
背景:炎症和高尿酸血症与慢性肾脏疾病(CKD)密切相关。全身炎症反应指数(SIRI)、全身免疫炎症指数(SII)、单核细胞与淋巴细胞比率(MLR)、中性粒细胞与淋巴细胞比率(NLR)和血小板与淋巴细胞比率(PLR)正在成为新的生物标志物。然而,这些生物标志物与高尿酸血症对CKD的协同作用尚不清楚。方法:对2015-2020年全国健康与营养调查(NHANES)的10226名参与者进行分析。炎症生物标志物(SIRI、SII、MLR、NLR和PLR)、高尿酸血症和CKD之间的关系通过多变量logistic回归模型进行评估。使用限制三次样条(RCS)和分段回归模型来评估非线性关系。采用受试者工作特征(ROC)曲线评价诊断效能,采用净重分类改善(NRI)和综合判别改善(IDI)进一步计算增量预测值。进行交互作用分析,探讨联合效应。结果:SIRI、SII、MLR、NLR与CKD有显著相关性。MLR的阈值效应为0.22 (p-非线性< 0.05),与CKD的相关性高于该临界值。在这些生物标记物中,SIRI显示出最好的诊断准确性。高尿酸血症与炎症生物标志物(SIRI, SII, MLR, NLR)之间观察到显著的相互作用,表明炎症生物标志物与CKD之间的关联在高尿酸血症存在时更为明显。结论:炎症生物标志物(SII, SIRI, NLR, MLR)与CKD之间存在显著相关性,在高尿酸血症患者中观察到的相关性尤其强。
本文章由计算机程序翻译,如有差异,请以英文原文为准。

The relationship among inflammatory biomarkers, hyperuricemia and chronic kidney disease: analysis of the NHANES 2015-2020.

The relationship among inflammatory biomarkers, hyperuricemia and chronic kidney disease: analysis of the NHANES 2015-2020.

The relationship among inflammatory biomarkers, hyperuricemia and chronic kidney disease: analysis of the NHANES 2015-2020.

The relationship among inflammatory biomarkers, hyperuricemia and chronic kidney disease: analysis of the NHANES 2015-2020.

Background: Inflammation and hyperuricemia are closely associated with chronic kidney disease (CKD). The systemic inflammation response index (SIRI), systemic immune-inflammation index (SII), monocyte-to-lymphocyte ratio (MLR), neutrophil-to-lymphocyte ratio (NLR), and platelet-to-lymphocyte ratio (PLR) are emerging as novel biomarkers. While, the synergistic effects of these biomarkers with hyperuricemia on CKD remain unclear.

Method: We analyzed 10,226 participants from 2015-2020 National Health and Nutrition Examination Survey (NHANES). The relationships among inflammatory biomarkers (SIRI, SII, MLR, NLR, and PLR), hyperuricemia and CKD were assessed by multivariate logistic regression models. Restricted cubic splines (RCS) and segmented regression models were used to evaluate the nonlinear relationships. The diagnostic performance was evaluated using receiver operating characteristic (ROC) curve, and incremental predictive value was further calculated by Net Reclassification Improvement (NRI) and Integrated Discrimination Improvement (IDI). The interaction analysis was performed to explore the combined effects.

Results: SIRI, SII, MLR, and NLR were significantly linked with CKD. MLR exhibited a threshold effect at 0.22 (p-non-linear < 0.05), with significantly stronger association with CKD above this cutoff. SIRI demonstrated the best diagnostic accuracy among these biomarkers. Significant interactions were observed between hyperuricemia and inflammatory biomarkers (SIRI, SII, MLR, NLR), indicating that the association between inflammatory biomarkers and CKD is more pronounced in the presence of hyperuricemia.

Conclusion: There were significant associations between inflammatory biomarkers (SII, SIRI, NLR, MLR) and CKD, with particularly stronger correlations observed in patients with hyperuricemia.

求助全文
通过发布文献求助,成功后即可免费获取论文全文。 去求助
来源期刊
Renal Failure
Renal Failure 医学-泌尿学与肾脏学
CiteScore
3.90
自引率
13.30%
发文量
374
审稿时长
1 months
期刊介绍: Renal Failure primarily concentrates on acute renal injury and its consequence, but also addresses advances in the fields of chronic renal failure, hypertension, and renal transplantation. Bringing together both clinical and experimental aspects of renal failure, this publication presents timely, practical information on pathology and pathophysiology of acute renal failure; nephrotoxicity of drugs and other substances; prevention, treatment, and therapy of renal failure; renal failure in association with transplantation, hypertension, and diabetes mellitus.
×
引用
GB/T 7714-2015
复制
MLA
复制
APA
复制
导出至
BibTeX EndNote RefMan NoteFirst NoteExpress
×
提示
您的信息不完整,为了账户安全,请先补充。
现在去补充
×
提示
您因"违规操作"
具体请查看互助需知
我知道了
×
提示
确定
请完成安全验证×
copy
已复制链接
快去分享给好友吧!
我知道了
右上角分享
点击右上角分享
0
联系我们:info@booksci.cn Book学术提供免费学术资源搜索服务,方便国内外学者检索中英文文献。致力于提供最便捷和优质的服务体验。 Copyright © 2023 布克学术 All rights reserved.
京ICP备2023020795号-1
ghs 京公网安备 11010802042870号
Book学术文献互助
Book学术文献互助群
群 号:604180095
Book学术官方微信