收集溶胶-凝胶技术衍生的prefeo3纳米颗粒的结构,穆斯堡尔和拉曼分析

IF 1.4 4区 化学 Q4 PHYSICS, ATOMIC, MOLECULAR & CHEMICAL
P. S. Patnaik, D. S. Kumar, M. Ramanaiah, B. Simhachalam
{"title":"收集溶胶-凝胶技术衍生的prefeo3纳米颗粒的结构,穆斯堡尔和拉曼分析","authors":"P. S. Patnaik,&nbsp;D. S. Kumar,&nbsp;M. Ramanaiah,&nbsp;B. Simhachalam","doi":"10.1134/S1990793125700630","DOIUrl":null,"url":null,"abstract":"<p>In this investigation a sol-gel technique by using tartaric acid as a chelating agent was used to prepare one of the rare earth orthoferrite PrFeO<sub>3</sub> nanoparticles. The prepared PrFeO<sub>3</sub> nanoparticles were characterized using different analytical techniques such as X-ray diffraction, scanning electron microscopy, Raman spectroscopy and UV-visible absorption spectroscopy. Thermo-gravimetric analysis data was employed for calcining the PrFeO<sub>3</sub> synthesis sample, and there was no weight loss (%) observed above 800°C. X-ray diffraction technique reviles the formation of single phase of PrFeO<sub>3</sub> with Orthorhombic crystal structure. Lattice parameters, dislocation density of the synthesized PrFeO<sub>3</sub> nanoparticle were also calculated using the X-ray diffraction data. The uniform spherical shaped particles were observed through scanning electron microscopy analysis and it average grain size was found to 350 nm. The calculated optical bandgap of PrFeO<sub>3</sub> nanoparticle was found to be 1.97 eV. X-ray photoluminescence spectra suggest that, the Pr is existing in +3 oxidation state and Fe is exist in mixed oxidation states (+2 and +3).</p>","PeriodicalId":768,"journal":{"name":"Russian Journal of Physical Chemistry B","volume":"19 4","pages":"973 - 981"},"PeriodicalIF":1.4000,"publicationDate":"2025-09-09","publicationTypes":"Journal Article","fieldsOfStudy":null,"isOpenAccess":false,"openAccessPdf":"","citationCount":"0","resultStr":"{\"title\":\"Collecting the Structural, Mossbauer, and Raman Analysis of PrFeO3 Nanoparticles Derived from the Sol-Gel Technique\",\"authors\":\"P. S. Patnaik,&nbsp;D. S. Kumar,&nbsp;M. Ramanaiah,&nbsp;B. Simhachalam\",\"doi\":\"10.1134/S1990793125700630\",\"DOIUrl\":null,\"url\":null,\"abstract\":\"<p>In this investigation a sol-gel technique by using tartaric acid as a chelating agent was used to prepare one of the rare earth orthoferrite PrFeO<sub>3</sub> nanoparticles. The prepared PrFeO<sub>3</sub> nanoparticles were characterized using different analytical techniques such as X-ray diffraction, scanning electron microscopy, Raman spectroscopy and UV-visible absorption spectroscopy. Thermo-gravimetric analysis data was employed for calcining the PrFeO<sub>3</sub> synthesis sample, and there was no weight loss (%) observed above 800°C. X-ray diffraction technique reviles the formation of single phase of PrFeO<sub>3</sub> with Orthorhombic crystal structure. Lattice parameters, dislocation density of the synthesized PrFeO<sub>3</sub> nanoparticle were also calculated using the X-ray diffraction data. The uniform spherical shaped particles were observed through scanning electron microscopy analysis and it average grain size was found to 350 nm. The calculated optical bandgap of PrFeO<sub>3</sub> nanoparticle was found to be 1.97 eV. X-ray photoluminescence spectra suggest that, the Pr is existing in +3 oxidation state and Fe is exist in mixed oxidation states (+2 and +3).</p>\",\"PeriodicalId\":768,\"journal\":{\"name\":\"Russian Journal of Physical Chemistry B\",\"volume\":\"19 4\",\"pages\":\"973 - 981\"},\"PeriodicalIF\":1.4000,\"publicationDate\":\"2025-09-09\",\"publicationTypes\":\"Journal Article\",\"fieldsOfStudy\":null,\"isOpenAccess\":false,\"openAccessPdf\":\"\",\"citationCount\":\"0\",\"resultStr\":null,\"platform\":\"Semanticscholar\",\"paperid\":null,\"PeriodicalName\":\"Russian Journal of Physical Chemistry B\",\"FirstCategoryId\":\"92\",\"ListUrlMain\":\"https://link.springer.com/article/10.1134/S1990793125700630\",\"RegionNum\":4,\"RegionCategory\":\"化学\",\"ArticlePicture\":[],\"TitleCN\":null,\"AbstractTextCN\":null,\"PMCID\":null,\"EPubDate\":\"\",\"PubModel\":\"\",\"JCR\":\"Q4\",\"JCRName\":\"PHYSICS, ATOMIC, MOLECULAR & CHEMICAL\",\"Score\":null,\"Total\":0}","platform":"Semanticscholar","paperid":null,"PeriodicalName":"Russian Journal of Physical Chemistry B","FirstCategoryId":"92","ListUrlMain":"https://link.springer.com/article/10.1134/S1990793125700630","RegionNum":4,"RegionCategory":"化学","ArticlePicture":[],"TitleCN":null,"AbstractTextCN":null,"PMCID":null,"EPubDate":"","PubModel":"","JCR":"Q4","JCRName":"PHYSICS, ATOMIC, MOLECULAR & CHEMICAL","Score":null,"Total":0}
引用次数: 0

摘要

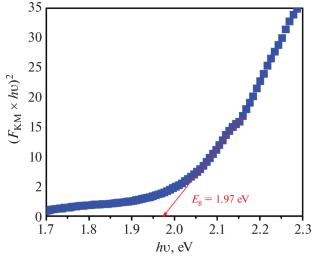
以酒石酸为螯合剂,采用溶胶-凝胶法制备了一种稀土正铁氧体PrFeO3纳米颗粒。利用x射线衍射、扫描电镜、拉曼光谱和紫外-可见吸收光谱等分析技术对制备的PrFeO3纳米颗粒进行了表征。采用热重分析数据煅烧合成的PrFeO3样品,在800℃以上没有失重(%)。x射线衍射技术揭示了具有正交晶型结构的PrFeO3的单相形成过程。利用x射线衍射数据计算了合成的PrFeO3纳米颗粒的晶格参数和位错密度。扫描电镜观察到均匀的球形颗粒,平均晶粒尺寸为350 nm。计算得到的prefeo3纳米粒子的光学带隙为1.97 eV。x射线光致发光光谱表明,Pr以+3氧化态存在,Fe以+2和+3混合氧化态存在。
本文章由计算机程序翻译,如有差异,请以英文原文为准。

Collecting the Structural, Mossbauer, and Raman Analysis of PrFeO3 Nanoparticles Derived from the Sol-Gel Technique

Collecting the Structural, Mossbauer, and Raman Analysis of PrFeO3 Nanoparticles Derived from the Sol-Gel Technique

Collecting the Structural, Mossbauer, and Raman Analysis of PrFeO3 Nanoparticles Derived from the Sol-Gel Technique

In this investigation a sol-gel technique by using tartaric acid as a chelating agent was used to prepare one of the rare earth orthoferrite PrFeO3 nanoparticles. The prepared PrFeO3 nanoparticles were characterized using different analytical techniques such as X-ray diffraction, scanning electron microscopy, Raman spectroscopy and UV-visible absorption spectroscopy. Thermo-gravimetric analysis data was employed for calcining the PrFeO3 synthesis sample, and there was no weight loss (%) observed above 800°C. X-ray diffraction technique reviles the formation of single phase of PrFeO3 with Orthorhombic crystal structure. Lattice parameters, dislocation density of the synthesized PrFeO3 nanoparticle were also calculated using the X-ray diffraction data. The uniform spherical shaped particles were observed through scanning electron microscopy analysis and it average grain size was found to 350 nm. The calculated optical bandgap of PrFeO3 nanoparticle was found to be 1.97 eV. X-ray photoluminescence spectra suggest that, the Pr is existing in +3 oxidation state and Fe is exist in mixed oxidation states (+2 and +3).

求助全文
通过发布文献求助,成功后即可免费获取论文全文。 去求助
来源期刊
Russian Journal of Physical Chemistry B
Russian Journal of Physical Chemistry B 化学-物理:原子、分子和化学物理
CiteScore
2.20
自引率
71.40%
发文量
106
审稿时长
4-8 weeks
期刊介绍: Russian Journal of Physical Chemistry B: Focus on Physics is a journal that publishes studies in the following areas: elementary physical and chemical processes; structure of chemical compounds, reactivity, effect of external field and environment on chemical transformations; molecular dynamics and molecular organization; dynamics and kinetics of photoand radiation-induced processes; mechanism of chemical reactions in gas and condensed phases and at interfaces; chain and thermal processes of ignition, combustion and detonation in gases, two-phase and condensed systems; shock waves; new physical methods of examining chemical reactions; and biological processes in chemical physics.
×
引用
GB/T 7714-2015
复制
MLA
复制
APA
复制
导出至
BibTeX EndNote RefMan NoteFirst NoteExpress
×
提示
您的信息不完整,为了账户安全,请先补充。
现在去补充
×
提示
您因"违规操作"
具体请查看互助需知
我知道了
×
提示
确定
请完成安全验证×
copy
已复制链接
快去分享给好友吧!
我知道了
右上角分享
点击右上角分享
0
联系我们:info@booksci.cn Book学术提供免费学术资源搜索服务,方便国内外学者检索中英文文献。致力于提供最便捷和优质的服务体验。 Copyright © 2023 布克学术 All rights reserved.
京ICP备2023020795号-1
ghs 京公网安备 11010802042870号
Book学术文献互助
Book学术文献互助群
群 号:604180095
Book学术官方微信