Dy/Tm掺杂与S补偿策略协同优化Mg3Sb2的热电输运性能

IF 5.5 3区 材料科学 Q2 CHEMISTRY, PHYSICAL
Jing-Xuan Liang, Lu Yu, Si-Tong Luo, Ling-Xi Dong, Zhi-Bo Wei, Tao Wang, Yun-Tian Jiang, Shu-Qi Zheng*, Wei-Yu Song and Hong-Chao Wang, 
{"title":"Dy/Tm掺杂与S补偿策略协同优化Mg3Sb2的热电输运性能","authors":"Jing-Xuan Liang,&nbsp;Lu Yu,&nbsp;Si-Tong Luo,&nbsp;Ling-Xi Dong,&nbsp;Zhi-Bo Wei,&nbsp;Tao Wang,&nbsp;Yun-Tian Jiang,&nbsp;Shu-Qi Zheng*,&nbsp;Wei-Yu Song and Hong-Chao Wang,&nbsp;","doi":"10.1021/acsaem.5c01839","DOIUrl":null,"url":null,"abstract":"<p >Mg<sub>3</sub>Sb<sub>2</sub>-based thermoelectric materials have attracted considerable attention for medium-temperature applications owing to their low cost and excellent charge carrier transport properties. In this work, a cooperative approach combining lanthanide doping (Dy and Tm) with trace sulfur compensation was employed to effectively modulate the electron–phonon structure of Mg<sub>3</sub>Sb<sub>2</sub>, thereby enhancing its thermoelectric performance. First-principles computational analyses demonstrate that the synergistic incorporation of S, Dy, and Tm effectively modulates the electronic band structure. The Fermi level is upshifted into the conduction band, while multiple flat bands form near the conduction band minimum. This dual modulation effect facilitates band convergence and narrows the bandgap, thereby improving n-type charge transport. Additionally, phonon transport simulations demonstrate that Dy and Tm effectively suppress phonon propagation, thereby reducing the lattice thermal conductivity. Through collaborative optimization, the Tm<sub>0.03</sub>Mg<sub>3.17</sub>Sb<sub>1.5</sub>Bi<sub>0.49</sub>S<sub>0.01</sub> composition reaches a maximum <i>ZT</i> of 1.4 at 723 K. Finite element simulations predict that thermoelectric modules based on this composition could reach a maximum energy conversion efficiency exceeding 9% in a single-leg configuration. These findings confirm that Dy and Tm act as highly effective n-type dopants, enabling concurrent optimization of both electron and phonon transport in Mg<sub>3</sub>Sb<sub>2</sub>, thus presenting substantial promise for practical applications in medium-temperature waste heat recovery.</p>","PeriodicalId":4,"journal":{"name":"ACS Applied Energy Materials","volume":"8 17","pages":"12760–12768"},"PeriodicalIF":5.5000,"publicationDate":"2025-08-21","publicationTypes":"Journal Article","fieldsOfStudy":null,"isOpenAccess":false,"openAccessPdf":"","citationCount":"0","resultStr":"{\"title\":\"Synergistic Optimization of the Thermoelectric Transport Properties of Mg3Sb2 through Dy/Tm Doping Combined with S Compensation Strategy\",\"authors\":\"Jing-Xuan Liang,&nbsp;Lu Yu,&nbsp;Si-Tong Luo,&nbsp;Ling-Xi Dong,&nbsp;Zhi-Bo Wei,&nbsp;Tao Wang,&nbsp;Yun-Tian Jiang,&nbsp;Shu-Qi Zheng*,&nbsp;Wei-Yu Song and Hong-Chao Wang,&nbsp;\",\"doi\":\"10.1021/acsaem.5c01839\",\"DOIUrl\":null,\"url\":null,\"abstract\":\"<p >Mg<sub>3</sub>Sb<sub>2</sub>-based thermoelectric materials have attracted considerable attention for medium-temperature applications owing to their low cost and excellent charge carrier transport properties. In this work, a cooperative approach combining lanthanide doping (Dy and Tm) with trace sulfur compensation was employed to effectively modulate the electron–phonon structure of Mg<sub>3</sub>Sb<sub>2</sub>, thereby enhancing its thermoelectric performance. First-principles computational analyses demonstrate that the synergistic incorporation of S, Dy, and Tm effectively modulates the electronic band structure. The Fermi level is upshifted into the conduction band, while multiple flat bands form near the conduction band minimum. This dual modulation effect facilitates band convergence and narrows the bandgap, thereby improving n-type charge transport. Additionally, phonon transport simulations demonstrate that Dy and Tm effectively suppress phonon propagation, thereby reducing the lattice thermal conductivity. Through collaborative optimization, the Tm<sub>0.03</sub>Mg<sub>3.17</sub>Sb<sub>1.5</sub>Bi<sub>0.49</sub>S<sub>0.01</sub> composition reaches a maximum <i>ZT</i> of 1.4 at 723 K. Finite element simulations predict that thermoelectric modules based on this composition could reach a maximum energy conversion efficiency exceeding 9% in a single-leg configuration. These findings confirm that Dy and Tm act as highly effective n-type dopants, enabling concurrent optimization of both electron and phonon transport in Mg<sub>3</sub>Sb<sub>2</sub>, thus presenting substantial promise for practical applications in medium-temperature waste heat recovery.</p>\",\"PeriodicalId\":4,\"journal\":{\"name\":\"ACS Applied Energy Materials\",\"volume\":\"8 17\",\"pages\":\"12760–12768\"},\"PeriodicalIF\":5.5000,\"publicationDate\":\"2025-08-21\",\"publicationTypes\":\"Journal Article\",\"fieldsOfStudy\":null,\"isOpenAccess\":false,\"openAccessPdf\":\"\",\"citationCount\":\"0\",\"resultStr\":null,\"platform\":\"Semanticscholar\",\"paperid\":null,\"PeriodicalName\":\"ACS Applied Energy Materials\",\"FirstCategoryId\":\"88\",\"ListUrlMain\":\"https://pubs.acs.org/doi/10.1021/acsaem.5c01839\",\"RegionNum\":3,\"RegionCategory\":\"材料科学\",\"ArticlePicture\":[],\"TitleCN\":null,\"AbstractTextCN\":null,\"PMCID\":null,\"EPubDate\":\"\",\"PubModel\":\"\",\"JCR\":\"Q2\",\"JCRName\":\"CHEMISTRY, PHYSICAL\",\"Score\":null,\"Total\":0}","platform":"Semanticscholar","paperid":null,"PeriodicalName":"ACS Applied Energy Materials","FirstCategoryId":"88","ListUrlMain":"https://pubs.acs.org/doi/10.1021/acsaem.5c01839","RegionNum":3,"RegionCategory":"材料科学","ArticlePicture":[],"TitleCN":null,"AbstractTextCN":null,"PMCID":null,"EPubDate":"","PubModel":"","JCR":"Q2","JCRName":"CHEMISTRY, PHYSICAL","Score":null,"Total":0}
引用次数: 0

摘要

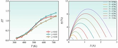
mg3sb2基热电材料由于其低廉的成本和优异的载流子输运性能,在中温应用领域受到了广泛的关注。本文采用镧系掺杂(Dy和Tm)与微量硫补偿相结合的协同方法,有效地调节了Mg3Sb2的电子-声子结构,从而提高了其热电性能。第一性原理计算分析表明,S、Dy和Tm的协同结合有效地调节了电子能带结构。费米能级上移到导带,而在导带最小值附近形成多个平坦带。这种双调制效应促进了带收敛,缩小了带隙,从而改善了n型电荷输运。此外,声子输运模拟表明,Dy和Tm有效抑制声子传播,从而降低晶格导热系数。通过协同优化,Tm0.03Mg3.17Sb1.5Bi0.49S0.01组合物在723 K时ZT最大值为1.4。有限元模拟预测,基于这种成分的热电模块在单腿配置下可以达到超过9%的最大能量转换效率。这些发现证实,Dy和Tm作为高效的n型掺杂剂,能够同时优化Mg3Sb2中的电子和声子输运,因此在中温余热回收的实际应用中具有很大的前景。
本文章由计算机程序翻译,如有差异,请以英文原文为准。

Synergistic Optimization of the Thermoelectric Transport Properties of Mg3Sb2 through Dy/Tm Doping Combined with S Compensation Strategy

Synergistic Optimization of the Thermoelectric Transport Properties of Mg3Sb2 through Dy/Tm Doping Combined with S Compensation Strategy

Mg3Sb2-based thermoelectric materials have attracted considerable attention for medium-temperature applications owing to their low cost and excellent charge carrier transport properties. In this work, a cooperative approach combining lanthanide doping (Dy and Tm) with trace sulfur compensation was employed to effectively modulate the electron–phonon structure of Mg3Sb2, thereby enhancing its thermoelectric performance. First-principles computational analyses demonstrate that the synergistic incorporation of S, Dy, and Tm effectively modulates the electronic band structure. The Fermi level is upshifted into the conduction band, while multiple flat bands form near the conduction band minimum. This dual modulation effect facilitates band convergence and narrows the bandgap, thereby improving n-type charge transport. Additionally, phonon transport simulations demonstrate that Dy and Tm effectively suppress phonon propagation, thereby reducing the lattice thermal conductivity. Through collaborative optimization, the Tm0.03Mg3.17Sb1.5Bi0.49S0.01 composition reaches a maximum ZT of 1.4 at 723 K. Finite element simulations predict that thermoelectric modules based on this composition could reach a maximum energy conversion efficiency exceeding 9% in a single-leg configuration. These findings confirm that Dy and Tm act as highly effective n-type dopants, enabling concurrent optimization of both electron and phonon transport in Mg3Sb2, thus presenting substantial promise for practical applications in medium-temperature waste heat recovery.

求助全文
通过发布文献求助,成功后即可免费获取论文全文。 去求助
来源期刊
ACS Applied Energy Materials
ACS Applied Energy Materials Materials Science-Materials Chemistry
CiteScore
10.30
自引率
6.20%
发文量
1368
期刊介绍: ACS Applied Energy Materials is an interdisciplinary journal publishing original research covering all aspects of materials, engineering, chemistry, physics and biology relevant to energy conversion and storage. The journal is devoted to reports of new and original experimental and theoretical research of an applied nature that integrate knowledge in the areas of materials, engineering, physics, bioscience, and chemistry into important energy applications.
×
引用
GB/T 7714-2015
复制
MLA
复制
APA
复制
导出至
BibTeX EndNote RefMan NoteFirst NoteExpress
×
提示
您的信息不完整,为了账户安全,请先补充。
现在去补充
×
提示
您因"违规操作"
具体请查看互助需知
我知道了
×
提示
确定
请完成安全验证×
copy
已复制链接
快去分享给好友吧!
我知道了
右上角分享
点击右上角分享
0
联系我们:info@booksci.cn Book学术提供免费学术资源搜索服务,方便国内外学者检索中英文文献。致力于提供最便捷和优质的服务体验。 Copyright © 2023 布克学术 All rights reserved.
京ICP备2023020795号-1
ghs 京公网安备 11010802042870号
Book学术文献互助
Book学术文献互助群
群 号:604180095
Book学术官方微信