医疗补助初级保健利用和地区层面的社会脆弱性。

IF 11.3 Q1 HEALTH CARE SCIENCES & SERVICES
Jordan Herring, Yoon Hong Park, Qian Luo, Anushree Vichare, Clese Erikson, Patricia Pittman
{"title":"医疗补助初级保健利用和地区层面的社会脆弱性。","authors":"Jordan Herring, Yoon Hong Park, Qian Luo, Anushree Vichare, Clese Erikson, Patricia Pittman","doi":"10.1001/jamahealthforum.2025.3020","DOIUrl":null,"url":null,"abstract":"<p><strong>Importance: </strong>The concentration of poverty and multidimensional disadvantage has been shown to limit access to health care in these communities. There is a growing interest in using area-level socioeconomic indexes to address the unequal geographic distribution of health care resources. However, the association of area-level socioeconomic indexes with access to primary care-a key area in health policy-has not been determined.</p><p><strong>Objective: </strong>To investigate the association of Medicaid primary care utilization with the concentration of poverty and multidimensional disadvantage at the zip code level.</p><p><strong>Design, settings, and participants: </strong>This cross-sectional study used the 2019 Transformed-Medicaid Statistical Information System to identify variations in primary care utilization among Medicaid and the Children's Health Insurance Program beneficiaries (age <65 years) by poverty and multidimensional disadvantage levels of their area of residence. Included beneficiaries were enrolled in Medicaid from January 1 to December 31, 2019, and were not dually eligible for Medicare. The zip code-level Social Vulnerability Index (SVI) was used to assess the likelihood of a beneficiary having an annual primary care visit, while controlling for individual beneficiary demographic and health characteristics. An activity-based approach was adopted to classify clinicians billing Medicaid for primary care and to identify primary care visits at federally qualified health centers (FQHCs). SVI results were compared with results using income-based poverty rates alone. Data analysis was performed from May 1, 2023, through February 28, 2025.</p><p><strong>Exposure: </strong>Zip code-level deciles of the SVI and poverty rates.</p><p><strong>Main outcomes and measures: </strong>Regression analysis was performed at the beneficiary level, using a binary indicator for having a primary care visit on a set of dummy variables for SVI deciles, controlling for age and sex interactions, disability status, and indicators for having been diagnosed with behavioral health or chronic physical health conditions.</p><p><strong>Results: </strong>The total population analyzed comprised 34 890 932 Medicaid beneficiaries (<65 years old; 54.2% female and 45.8% male), more than half of whom resided in the top 20% of socially vulnerable zip codes; approximately 33%, in the top 10%; and another 20%, in the ninth decile. Of the total, 68.1% had at least 1 primary care visit in 2019, at either a non-FQHC practice (61.1%) or a FQHC (12.7%). The probability of having a primary care visit was highest for children (age <18 years) but varied substantially by age. Compared to those residing in the first decile of the SVI (least socially vulnerable), beneficiaries in the tenth decile (most socially vulnerable) were 8.9 (95% CI, -9.9 to -7.9) percentage points (pp) less likely to have a primary care visit when not counting FQHC visits, but this increased to 4.7 (95% CI, -5.5 to -3.8) pp less likely when including FQHC visits. Beneficiaries in the tenth decile were 5.9 (95% CI, 4.9 to 6.8) pp more likely to have a FQHC visit than beneficiaries in the first decile. The SVI results identified more beneficiaries with disparities compared to the area-level poverty rate alone.</p><p><strong>Conclusions and relevance: </strong>The findings of this cross-sectional study suggest that Medicaid policy should focus on addressing geography-based disparities in access to care using new measures to target resources. The multidimensional SVI is likely a useful tool to identify small geographic areas with barriers to accessing adequate health care. The FQHC findings suggest that substantially increasing investments and support for FQHCs would address geographic inequities in access to health care.</p>","PeriodicalId":53180,"journal":{"name":"JAMA Health Forum","volume":"6 9","pages":"e253020"},"PeriodicalIF":11.3000,"publicationDate":"2025-09-05","publicationTypes":"Journal Article","fieldsOfStudy":null,"isOpenAccess":false,"openAccessPdf":"https://www.ncbi.nlm.nih.gov/pmc/articles/PMC12413652/pdf/","citationCount":"0","resultStr":"{\"title\":\"Medicaid Primary Care Utilization and Area-Level Social Vulnerability.\",\"authors\":\"Jordan Herring, Yoon Hong Park, Qian Luo, Anushree Vichare, Clese Erikson, Patricia Pittman\",\"doi\":\"10.1001/jamahealthforum.2025.3020\",\"DOIUrl\":null,\"url\":null,\"abstract\":\"<p><strong>Importance: </strong>The concentration of poverty and multidimensional disadvantage has been shown to limit access to health care in these communities. There is a growing interest in using area-level socioeconomic indexes to address the unequal geographic distribution of health care resources. However, the association of area-level socioeconomic indexes with access to primary care-a key area in health policy-has not been determined.</p><p><strong>Objective: </strong>To investigate the association of Medicaid primary care utilization with the concentration of poverty and multidimensional disadvantage at the zip code level.</p><p><strong>Design, settings, and participants: </strong>This cross-sectional study used the 2019 Transformed-Medicaid Statistical Information System to identify variations in primary care utilization among Medicaid and the Children's Health Insurance Program beneficiaries (age <65 years) by poverty and multidimensional disadvantage levels of their area of residence. Included beneficiaries were enrolled in Medicaid from January 1 to December 31, 2019, and were not dually eligible for Medicare. The zip code-level Social Vulnerability Index (SVI) was used to assess the likelihood of a beneficiary having an annual primary care visit, while controlling for individual beneficiary demographic and health characteristics. An activity-based approach was adopted to classify clinicians billing Medicaid for primary care and to identify primary care visits at federally qualified health centers (FQHCs). SVI results were compared with results using income-based poverty rates alone. Data analysis was performed from May 1, 2023, through February 28, 2025.</p><p><strong>Exposure: </strong>Zip code-level deciles of the SVI and poverty rates.</p><p><strong>Main outcomes and measures: </strong>Regression analysis was performed at the beneficiary level, using a binary indicator for having a primary care visit on a set of dummy variables for SVI deciles, controlling for age and sex interactions, disability status, and indicators for having been diagnosed with behavioral health or chronic physical health conditions.</p><p><strong>Results: </strong>The total population analyzed comprised 34 890 932 Medicaid beneficiaries (<65 years old; 54.2% female and 45.8% male), more than half of whom resided in the top 20% of socially vulnerable zip codes; approximately 33%, in the top 10%; and another 20%, in the ninth decile. Of the total, 68.1% had at least 1 primary care visit in 2019, at either a non-FQHC practice (61.1%) or a FQHC (12.7%). The probability of having a primary care visit was highest for children (age <18 years) but varied substantially by age. Compared to those residing in the first decile of the SVI (least socially vulnerable), beneficiaries in the tenth decile (most socially vulnerable) were 8.9 (95% CI, -9.9 to -7.9) percentage points (pp) less likely to have a primary care visit when not counting FQHC visits, but this increased to 4.7 (95% CI, -5.5 to -3.8) pp less likely when including FQHC visits. Beneficiaries in the tenth decile were 5.9 (95% CI, 4.9 to 6.8) pp more likely to have a FQHC visit than beneficiaries in the first decile. The SVI results identified more beneficiaries with disparities compared to the area-level poverty rate alone.</p><p><strong>Conclusions and relevance: </strong>The findings of this cross-sectional study suggest that Medicaid policy should focus on addressing geography-based disparities in access to care using new measures to target resources. The multidimensional SVI is likely a useful tool to identify small geographic areas with barriers to accessing adequate health care. The FQHC findings suggest that substantially increasing investments and support for FQHCs would address geographic inequities in access to health care.</p>\",\"PeriodicalId\":53180,\"journal\":{\"name\":\"JAMA Health Forum\",\"volume\":\"6 9\",\"pages\":\"e253020\"},\"PeriodicalIF\":11.3000,\"publicationDate\":\"2025-09-05\",\"publicationTypes\":\"Journal Article\",\"fieldsOfStudy\":null,\"isOpenAccess\":false,\"openAccessPdf\":\"https://www.ncbi.nlm.nih.gov/pmc/articles/PMC12413652/pdf/\",\"citationCount\":\"0\",\"resultStr\":null,\"platform\":\"Semanticscholar\",\"paperid\":null,\"PeriodicalName\":\"JAMA Health Forum\",\"FirstCategoryId\":\"1085\",\"ListUrlMain\":\"https://doi.org/10.1001/jamahealthforum.2025.3020\",\"RegionNum\":0,\"RegionCategory\":null,\"ArticlePicture\":[],\"TitleCN\":null,\"AbstractTextCN\":null,\"PMCID\":null,\"EPubDate\":\"\",\"PubModel\":\"\",\"JCR\":\"Q1\",\"JCRName\":\"HEALTH CARE SCIENCES & SERVICES\",\"Score\":null,\"Total\":0}","platform":"Semanticscholar","paperid":null,"PeriodicalName":"JAMA Health Forum","FirstCategoryId":"1085","ListUrlMain":"https://doi.org/10.1001/jamahealthforum.2025.3020","RegionNum":0,"RegionCategory":null,"ArticlePicture":[],"TitleCN":null,"AbstractTextCN":null,"PMCID":null,"EPubDate":"","PubModel":"","JCR":"Q1","JCRName":"HEALTH CARE SCIENCES & SERVICES","Score":null,"Total":0}
引用次数: 0

摘要

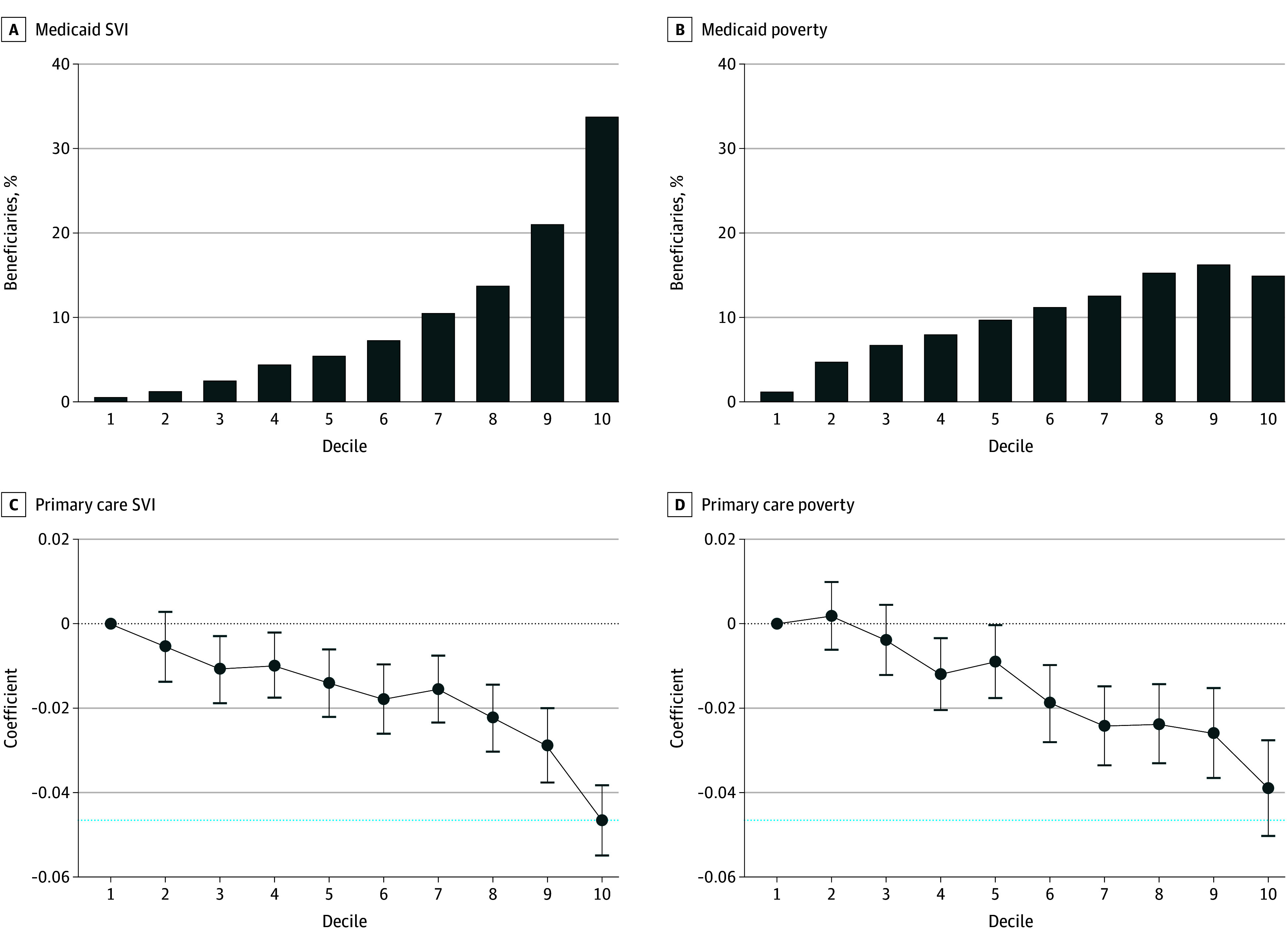
重要性:事实证明,贫困和多方面不利因素的集中限制了这些社区获得保健服务的机会。人们越来越有兴趣利用地区一级的社会经济指数来解决卫生保健资源地理分布不平等的问题。然而,地区一级社会经济指标与获得初级保健(卫生政策的关键领域)之间的关系尚未确定。目的:探讨医疗补助初级保健利用与邮政编码水平贫困集中度和多维劣势的关系。设计、设置和参与者:本横断面研究使用2019年改造后的医疗补助统计信息系统来确定医疗补助和儿童健康保险计划受益人之间初级保健利用的变化(年龄暴露:SVI的邮政编码水平十分位数和贫困率)。主要结果和措施:在受益人层面进行回归分析,使用一组SVI十分位数的虚拟变量进行初级保健访问的二元指标,控制年龄和性别相互作用,残疾状况以及被诊断患有行为健康或慢性身体健康状况的指标。结果:分析的总人口包括34 890 932名医疗补助受益人(结论和相关性:本横断面研究的结果表明,医疗补助政策应侧重于解决基于地理的医疗服务获取差异,采用新的措施来定位资源。多维SVI很可能是一种有用的工具,用于确定难以获得充分保健的小地理区域。FQHC的调查结果表明,大幅增加对FQHC的投资和支持将解决在获得卫生保健方面的地域不平等问题。
本文章由计算机程序翻译,如有差异,请以英文原文为准。

Medicaid Primary Care Utilization and Area-Level Social Vulnerability.

Medicaid Primary Care Utilization and Area-Level Social Vulnerability.

Medicaid Primary Care Utilization and Area-Level Social Vulnerability.

Medicaid Primary Care Utilization and Area-Level Social Vulnerability.

Importance: The concentration of poverty and multidimensional disadvantage has been shown to limit access to health care in these communities. There is a growing interest in using area-level socioeconomic indexes to address the unequal geographic distribution of health care resources. However, the association of area-level socioeconomic indexes with access to primary care-a key area in health policy-has not been determined.

Objective: To investigate the association of Medicaid primary care utilization with the concentration of poverty and multidimensional disadvantage at the zip code level.

Design, settings, and participants: This cross-sectional study used the 2019 Transformed-Medicaid Statistical Information System to identify variations in primary care utilization among Medicaid and the Children's Health Insurance Program beneficiaries (age <65 years) by poverty and multidimensional disadvantage levels of their area of residence. Included beneficiaries were enrolled in Medicaid from January 1 to December 31, 2019, and were not dually eligible for Medicare. The zip code-level Social Vulnerability Index (SVI) was used to assess the likelihood of a beneficiary having an annual primary care visit, while controlling for individual beneficiary demographic and health characteristics. An activity-based approach was adopted to classify clinicians billing Medicaid for primary care and to identify primary care visits at federally qualified health centers (FQHCs). SVI results were compared with results using income-based poverty rates alone. Data analysis was performed from May 1, 2023, through February 28, 2025.

Exposure: Zip code-level deciles of the SVI and poverty rates.

Main outcomes and measures: Regression analysis was performed at the beneficiary level, using a binary indicator for having a primary care visit on a set of dummy variables for SVI deciles, controlling for age and sex interactions, disability status, and indicators for having been diagnosed with behavioral health or chronic physical health conditions.

Results: The total population analyzed comprised 34 890 932 Medicaid beneficiaries (<65 years old; 54.2% female and 45.8% male), more than half of whom resided in the top 20% of socially vulnerable zip codes; approximately 33%, in the top 10%; and another 20%, in the ninth decile. Of the total, 68.1% had at least 1 primary care visit in 2019, at either a non-FQHC practice (61.1%) or a FQHC (12.7%). The probability of having a primary care visit was highest for children (age <18 years) but varied substantially by age. Compared to those residing in the first decile of the SVI (least socially vulnerable), beneficiaries in the tenth decile (most socially vulnerable) were 8.9 (95% CI, -9.9 to -7.9) percentage points (pp) less likely to have a primary care visit when not counting FQHC visits, but this increased to 4.7 (95% CI, -5.5 to -3.8) pp less likely when including FQHC visits. Beneficiaries in the tenth decile were 5.9 (95% CI, 4.9 to 6.8) pp more likely to have a FQHC visit than beneficiaries in the first decile. The SVI results identified more beneficiaries with disparities compared to the area-level poverty rate alone.

Conclusions and relevance: The findings of this cross-sectional study suggest that Medicaid policy should focus on addressing geography-based disparities in access to care using new measures to target resources. The multidimensional SVI is likely a useful tool to identify small geographic areas with barriers to accessing adequate health care. The FQHC findings suggest that substantially increasing investments and support for FQHCs would address geographic inequities in access to health care.

求助全文
通过发布文献求助,成功后即可免费获取论文全文。 去求助
来源期刊
CiteScore
4.00
自引率
7.80%
发文量
0
期刊介绍: JAMA Health Forum is an international, peer-reviewed, online, open access journal that addresses health policy and strategies affecting medicine, health, and health care. The journal publishes original research, evidence-based reports, and opinion about national and global health policy. It covers innovative approaches to health care delivery and health care economics, access, quality, safety, equity, and reform. In addition to publishing articles, JAMA Health Forum also features commentary from health policy leaders on the JAMA Forum. It covers news briefs on major reports released by government agencies, foundations, health policy think tanks, and other policy-focused organizations. JAMA Health Forum is a member of the JAMA Network, which is a consortium of peer-reviewed, general medical and specialty publications. The journal presents curated health policy content from across the JAMA Network, including journals such as JAMA and JAMA Internal Medicine.
×
引用
GB/T 7714-2015
复制
MLA
复制
APA
复制
导出至
BibTeX EndNote RefMan NoteFirst NoteExpress
×
提示
您的信息不完整,为了账户安全,请先补充。
现在去补充
×
提示
您因"违规操作"
具体请查看互助需知
我知道了
×
提示
确定
请完成安全验证×
copy
已复制链接
快去分享给好友吧!
我知道了
右上角分享
点击右上角分享
0
联系我们:info@booksci.cn Book学术提供免费学术资源搜索服务,方便国内外学者检索中英文文献。致力于提供最便捷和优质的服务体验。 Copyright © 2023 布克学术 All rights reserved.
京ICP备2023020795号-1
ghs 京公网安备 11010802042870号
Book学术文献互助
Book学术文献互助群
群 号:604180095
Book学术官方微信