使用世界卫生组织生长参考的10-19岁儿童急性和慢性营养不良的预测因素:来自印度中部的横断面研究。

IF 5.8 Q3 PUBLIC, ENVIRONMENTAL & OCCUPATIONAL HEALTH
Nepal Journal of Epidemiology Pub Date : 2025-07-27 eCollection Date: 2024-01-01 DOI:10.3126/nje.v14i3.55824
Surya Bali, Revadi Gouroumourty
{"title":"使用世界卫生组织生长参考的10-19岁儿童急性和慢性营养不良的预测因素:来自印度中部的横断面研究。","authors":"Surya Bali, Revadi Gouroumourty","doi":"10.3126/nje.v14i3.55824","DOIUrl":null,"url":null,"abstract":"<p><strong>Background: </strong>Adolescence, a period of rapid growth and development with biological and physiological changes, is influenced by socioeconomic, cultural, and behavioural factors. There is a dearth of data regarding undernutrition in 10-19 year olds in India. The study's objective was to estimate the prevalence of thinness and stunting in adolescents using World Health Organization (WHO) references and its determinants.</p><p><strong>Methods: </strong>This cross-sectional study represents the baseline of an adolescent health survey (November 2017 to March 2018) of 3,213 adolescents. Participants were selected using a multi-stage stratified random sampling technique from six districts of Madhya Pradesh. Data were collected by field investigators through a paperless real-time method and analyzed using R and the WHO anthro plus analyzer.</p><p><strong>Results: </strong>The prevalence of thinness and stunting were 17.1% and 23.3% respectively. Thinness was profound in early adolescents and stunting in late adolescents. While adolescent boys showed a higher prevalence of thinness, girls showed a higher stunting burden. Negative binomial mixed model regression revealed that early adolescents and boys were more likely to develop thinness. Similarly, the likelihood of stunting was higher among late adolescents, girls, and adolescents belonging to categories other than general. Fathers' education was protective against stunting irrespective of whether they were above or below primary education.</p><p><strong>Conclusion: </strong>Screening of all adolescents may be undertaken using WHO references in the national surveys for planning interventions targeted to malnourished adolescents to prevent micronutrient deficiencies and intergenerational consequences.</p>","PeriodicalId":43600,"journal":{"name":"Nepal Journal of Epidemiology","volume":"14 3","pages":"1346-1358"},"PeriodicalIF":5.8000,"publicationDate":"2025-07-27","publicationTypes":"Journal Article","fieldsOfStudy":null,"isOpenAccess":false,"openAccessPdf":"https://www.ncbi.nlm.nih.gov/pmc/articles/PMC12401568/pdf/","citationCount":"0","resultStr":"{\"title\":\"Predictors of Acute and Chronic Undernutrition among 10-19 Year Olds using World Health Organization Growth References: A Cross-sectional Study from Central India.\",\"authors\":\"Surya Bali, Revadi Gouroumourty\",\"doi\":\"10.3126/nje.v14i3.55824\",\"DOIUrl\":null,\"url\":null,\"abstract\":\"<p><strong>Background: </strong>Adolescence, a period of rapid growth and development with biological and physiological changes, is influenced by socioeconomic, cultural, and behavioural factors. There is a dearth of data regarding undernutrition in 10-19 year olds in India. The study's objective was to estimate the prevalence of thinness and stunting in adolescents using World Health Organization (WHO) references and its determinants.</p><p><strong>Methods: </strong>This cross-sectional study represents the baseline of an adolescent health survey (November 2017 to March 2018) of 3,213 adolescents. Participants were selected using a multi-stage stratified random sampling technique from six districts of Madhya Pradesh. Data were collected by field investigators through a paperless real-time method and analyzed using R and the WHO anthro plus analyzer.</p><p><strong>Results: </strong>The prevalence of thinness and stunting were 17.1% and 23.3% respectively. Thinness was profound in early adolescents and stunting in late adolescents. While adolescent boys showed a higher prevalence of thinness, girls showed a higher stunting burden. Negative binomial mixed model regression revealed that early adolescents and boys were more likely to develop thinness. Similarly, the likelihood of stunting was higher among late adolescents, girls, and adolescents belonging to categories other than general. Fathers' education was protective against stunting irrespective of whether they were above or below primary education.</p><p><strong>Conclusion: </strong>Screening of all adolescents may be undertaken using WHO references in the national surveys for planning interventions targeted to malnourished adolescents to prevent micronutrient deficiencies and intergenerational consequences.</p>\",\"PeriodicalId\":43600,\"journal\":{\"name\":\"Nepal Journal of Epidemiology\",\"volume\":\"14 3\",\"pages\":\"1346-1358\"},\"PeriodicalIF\":5.8000,\"publicationDate\":\"2025-07-27\",\"publicationTypes\":\"Journal Article\",\"fieldsOfStudy\":null,\"isOpenAccess\":false,\"openAccessPdf\":\"https://www.ncbi.nlm.nih.gov/pmc/articles/PMC12401568/pdf/\",\"citationCount\":\"0\",\"resultStr\":null,\"platform\":\"Semanticscholar\",\"paperid\":null,\"PeriodicalName\":\"Nepal Journal of Epidemiology\",\"FirstCategoryId\":\"1085\",\"ListUrlMain\":\"https://doi.org/10.3126/nje.v14i3.55824\",\"RegionNum\":0,\"RegionCategory\":null,\"ArticlePicture\":[],\"TitleCN\":null,\"AbstractTextCN\":null,\"PMCID\":null,\"EPubDate\":\"2024/1/1 0:00:00\",\"PubModel\":\"eCollection\",\"JCR\":\"Q3\",\"JCRName\":\"PUBLIC, ENVIRONMENTAL & OCCUPATIONAL HEALTH\",\"Score\":null,\"Total\":0}","platform":"Semanticscholar","paperid":null,"PeriodicalName":"Nepal Journal of Epidemiology","FirstCategoryId":"1085","ListUrlMain":"https://doi.org/10.3126/nje.v14i3.55824","RegionNum":0,"RegionCategory":null,"ArticlePicture":[],"TitleCN":null,"AbstractTextCN":null,"PMCID":null,"EPubDate":"2024/1/1 0:00:00","PubModel":"eCollection","JCR":"Q3","JCRName":"PUBLIC, ENVIRONMENTAL & OCCUPATIONAL HEALTH","Score":null,"Total":0}
引用次数: 0

摘要

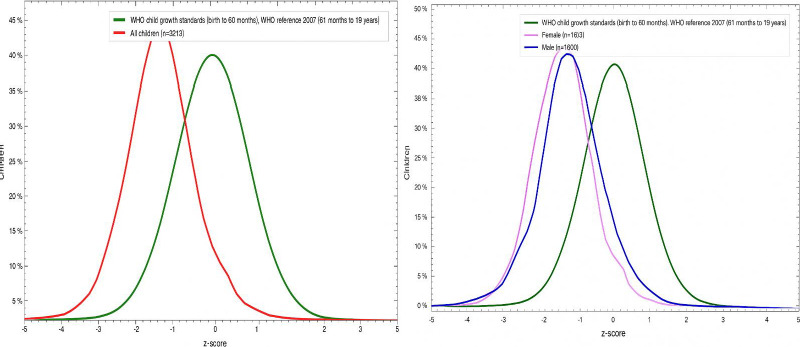
背景:青春期是一个具有生物和生理变化的快速生长发育时期,受社会经济、文化和行为因素的影响。印度缺乏关于10-19岁青少年营养不良的数据。该研究的目的是利用世界卫生组织(WHO)的参考资料及其决定因素,估计青少年中消瘦和发育迟缓的患病率。方法:本横断面研究代表了3213名青少年健康调查(2017年11月至2018年3月)的基线。参与者采用多阶段分层随机抽样技术从中央邦的六个地区选择。现场调查人员通过无纸化实时方法收集数据,并使用R和世卫组织人类附加分析仪进行分析。结果:儿童消瘦率为17.1%,发育迟缓率为23.3%。青少年早期明显消瘦,青少年晚期发育迟缓。青春期男孩更容易消瘦,而女孩则更容易发育迟缓。负二项混合模型回归显示,早期青少年和男孩更容易出现消瘦。同样,发育迟缓的可能性在青少年晚期、女孩和属于非一般类别的青少年中更高。父亲所受的教育对发育迟缓具有保护作用,无论他们是否受过小学教育。结论:在针对营养不良青少年制定干预措施以预防微量营养素缺乏和代际后果的国家调查中,可利用世卫组织的参考资料对所有青少年进行筛查。
本文章由计算机程序翻译,如有差异,请以英文原文为准。

Predictors of Acute and Chronic Undernutrition among 10-19 Year Olds using World Health Organization Growth References: A Cross-sectional Study from Central India.

Predictors of Acute and Chronic Undernutrition among 10-19 Year Olds using World Health Organization Growth References: A Cross-sectional Study from Central India.

Predictors of Acute and Chronic Undernutrition among 10-19 Year Olds using World Health Organization Growth References: A Cross-sectional Study from Central India.

Background: Adolescence, a period of rapid growth and development with biological and physiological changes, is influenced by socioeconomic, cultural, and behavioural factors. There is a dearth of data regarding undernutrition in 10-19 year olds in India. The study's objective was to estimate the prevalence of thinness and stunting in adolescents using World Health Organization (WHO) references and its determinants.

Methods: This cross-sectional study represents the baseline of an adolescent health survey (November 2017 to March 2018) of 3,213 adolescents. Participants were selected using a multi-stage stratified random sampling technique from six districts of Madhya Pradesh. Data were collected by field investigators through a paperless real-time method and analyzed using R and the WHO anthro plus analyzer.

Results: The prevalence of thinness and stunting were 17.1% and 23.3% respectively. Thinness was profound in early adolescents and stunting in late adolescents. While adolescent boys showed a higher prevalence of thinness, girls showed a higher stunting burden. Negative binomial mixed model regression revealed that early adolescents and boys were more likely to develop thinness. Similarly, the likelihood of stunting was higher among late adolescents, girls, and adolescents belonging to categories other than general. Fathers' education was protective against stunting irrespective of whether they were above or below primary education.

Conclusion: Screening of all adolescents may be undertaken using WHO references in the national surveys for planning interventions targeted to malnourished adolescents to prevent micronutrient deficiencies and intergenerational consequences.

求助全文
通过发布文献求助,成功后即可免费获取论文全文。 去求助
来源期刊
Nepal Journal of Epidemiology
Nepal Journal of Epidemiology PUBLIC, ENVIRONMENTAL & OCCUPATIONAL HEALTH-
自引率
10.30%
发文量
13
期刊介绍: The Nepal Journal of Epidemiology is a international journal that encompasses all aspects of epidemiology. The journal encourages communication among those engaged in the research, teaching, and application of epidemiology of both communicable and non-communicable disease, including research into health services and medical care. Also covered are new methods, epidemiological and statistical, for the analysis of data used by those who practise social and preventive medicine. It provides the most up-to-date, original, well designed, well interpreted and significant information source in the multidisciplinary field of epidemiology. We publish manuscripts based on the following sections: 1.Short communications 2.Current research trends 3.Original research 4.Case reports 5.Review articles 6.Letter to editor
×
引用
GB/T 7714-2015
复制
MLA
复制
APA
复制
导出至
BibTeX EndNote RefMan NoteFirst NoteExpress
×
提示
您的信息不完整,为了账户安全,请先补充。
现在去补充
×
提示
您因"违规操作"
具体请查看互助需知
我知道了
×
提示
确定
请完成安全验证×
copy
已复制链接
快去分享给好友吧!
我知道了
右上角分享
点击右上角分享
0
联系我们:info@booksci.cn Book学术提供免费学术资源搜索服务,方便国内外学者检索中英文文献。致力于提供最便捷和优质的服务体验。 Copyright © 2023 布克学术 All rights reserved.
京ICP备2023020795号-1
ghs 京公网安备 11010802042870号
Book学术文献互助
Book学术文献互助群
群 号:604180095
Book学术官方微信