纵向研究:COVID-19爆发期和缓解期护士工作环境的差异

IF 2.3 4区 医学 Q2 NURSING
Nursing Open Pub Date : 2025-09-01 DOI:10.1002/nop2.70294
Ru-Wen Liao, Chu-Hsuan Cheng, I-Shiang Tzeng
{"title":"纵向研究:COVID-19爆发期和缓解期护士工作环境的差异","authors":"Ru-Wen Liao, Chu-Hsuan Cheng, I-Shiang Tzeng","doi":"10.1002/nop2.70294","DOIUrl":null,"url":null,"abstract":"<p><strong>Aim: </strong>The coronavirus disease 2019 (COVID-19) outbreak led to a massive influx of patients into hospitals, thus prompting the implementation of various response mechanisms to manage the surge in number of patients. During the mitigation period, hospital response mechanisms ceased and ensued a return to normal settings. However, changing hospital settings can affect nurses' work environments. Therefore, the primary objectives of this study were to investigate the impact of changes during disease outbreaks and the mitigation period on nurses' work environments, and to analyse the relationship between nurses' background variables and work environments.</p><p><strong>Study design: </strong>A longitudinal research design is employed herein.</p><p><strong>Methods: </strong>Two surveys were conducted in a hospital: the first during the COVID-19 outbreak period, when the hospital implemented response mechanisms, and the second during the COVID-19 mitigation period, when the hospital returned to normalcy. The questionnaire covered the nurses' background variables and work environment.</p><p><strong>Results: </strong>When the COVID-19 outbreak transitioned to the mitigation period, satisfaction with managerial (p < 0.05) and unit support (p < 0.05) in the workplace decreased. Regarding the relationship between nurses' backgrounds and work environment satisfaction, we found that nurses working in COVID-19 dedicated units reported higher satisfaction with manager support (p < 0.001), peer support (p < 0.001), unit support (p < 0.05) and intent to stay (p < 0.05) than those in non-COVID-19 dedicated units. Additionally, factors such as age, nursing experience, sex, education, clinical teaching/mentoring roles, perceived COVID-19 infection risk, work shifts, housing problems during the outbreak and experience of discrimination influenced work environment satisfaction.</p><p><strong>Patient or public contribution: </strong>Hospitals need to adjust the transformational steps of their COVID-19 or emerging infectious disease response mechanisms, or provide sufficient support to these nurses to mitigate the impact on their work environment.</p>","PeriodicalId":48570,"journal":{"name":"Nursing Open","volume":"12 9","pages":"e70294"},"PeriodicalIF":2.3000,"publicationDate":"2025-09-01","publicationTypes":"Journal Article","fieldsOfStudy":null,"isOpenAccess":false,"openAccessPdf":"https://www.ncbi.nlm.nih.gov/pmc/articles/PMC12408606/pdf/","citationCount":"0","resultStr":"{\"title\":\"Longitudinal Research: Differences in Nurse Work Environment Between the COVID-19 Outbreak and Mitigation Periods.\",\"authors\":\"Ru-Wen Liao, Chu-Hsuan Cheng, I-Shiang Tzeng\",\"doi\":\"10.1002/nop2.70294\",\"DOIUrl\":null,\"url\":null,\"abstract\":\"<p><strong>Aim: </strong>The coronavirus disease 2019 (COVID-19) outbreak led to a massive influx of patients into hospitals, thus prompting the implementation of various response mechanisms to manage the surge in number of patients. During the mitigation period, hospital response mechanisms ceased and ensued a return to normal settings. However, changing hospital settings can affect nurses' work environments. Therefore, the primary objectives of this study were to investigate the impact of changes during disease outbreaks and the mitigation period on nurses' work environments, and to analyse the relationship between nurses' background variables and work environments.</p><p><strong>Study design: </strong>A longitudinal research design is employed herein.</p><p><strong>Methods: </strong>Two surveys were conducted in a hospital: the first during the COVID-19 outbreak period, when the hospital implemented response mechanisms, and the second during the COVID-19 mitigation period, when the hospital returned to normalcy. The questionnaire covered the nurses' background variables and work environment.</p><p><strong>Results: </strong>When the COVID-19 outbreak transitioned to the mitigation period, satisfaction with managerial (p < 0.05) and unit support (p < 0.05) in the workplace decreased. Regarding the relationship between nurses' backgrounds and work environment satisfaction, we found that nurses working in COVID-19 dedicated units reported higher satisfaction with manager support (p < 0.001), peer support (p < 0.001), unit support (p < 0.05) and intent to stay (p < 0.05) than those in non-COVID-19 dedicated units. Additionally, factors such as age, nursing experience, sex, education, clinical teaching/mentoring roles, perceived COVID-19 infection risk, work shifts, housing problems during the outbreak and experience of discrimination influenced work environment satisfaction.</p><p><strong>Patient or public contribution: </strong>Hospitals need to adjust the transformational steps of their COVID-19 or emerging infectious disease response mechanisms, or provide sufficient support to these nurses to mitigate the impact on their work environment.</p>\",\"PeriodicalId\":48570,\"journal\":{\"name\":\"Nursing Open\",\"volume\":\"12 9\",\"pages\":\"e70294\"},\"PeriodicalIF\":2.3000,\"publicationDate\":\"2025-09-01\",\"publicationTypes\":\"Journal Article\",\"fieldsOfStudy\":null,\"isOpenAccess\":false,\"openAccessPdf\":\"https://www.ncbi.nlm.nih.gov/pmc/articles/PMC12408606/pdf/\",\"citationCount\":\"0\",\"resultStr\":null,\"platform\":\"Semanticscholar\",\"paperid\":null,\"PeriodicalName\":\"Nursing Open\",\"FirstCategoryId\":\"3\",\"ListUrlMain\":\"https://doi.org/10.1002/nop2.70294\",\"RegionNum\":4,\"RegionCategory\":\"医学\",\"ArticlePicture\":[],\"TitleCN\":null,\"AbstractTextCN\":null,\"PMCID\":null,\"EPubDate\":\"\",\"PubModel\":\"\",\"JCR\":\"Q2\",\"JCRName\":\"NURSING\",\"Score\":null,\"Total\":0}","platform":"Semanticscholar","paperid":null,"PeriodicalName":"Nursing Open","FirstCategoryId":"3","ListUrlMain":"https://doi.org/10.1002/nop2.70294","RegionNum":4,"RegionCategory":"医学","ArticlePicture":[],"TitleCN":null,"AbstractTextCN":null,"PMCID":null,"EPubDate":"","PubModel":"","JCR":"Q2","JCRName":"NURSING","Score":null,"Total":0}
引用次数: 0

摘要

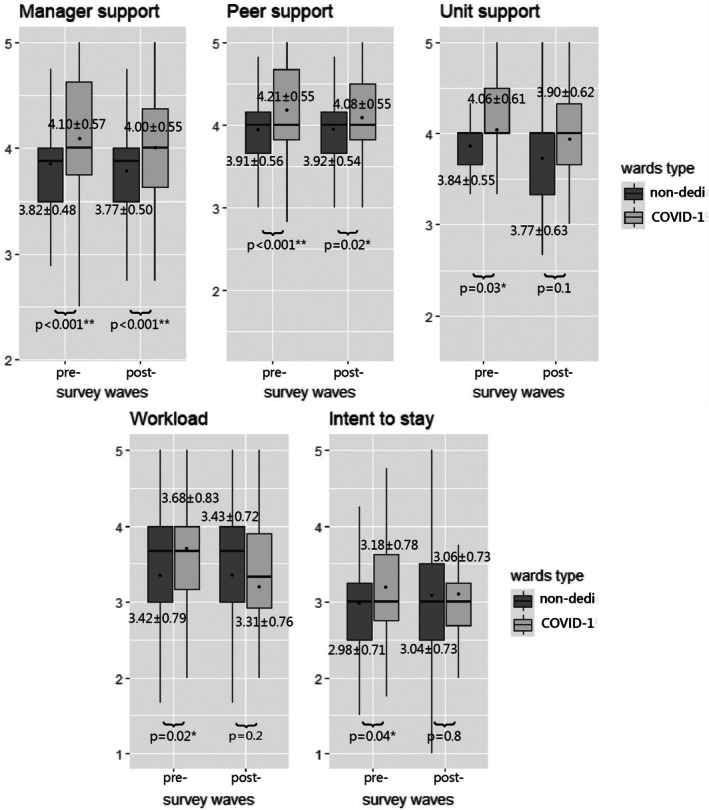
目的:2019冠状病毒病(COVID-19)疫情导致患者大量涌入医院,促使各种应对机制的实施来管理患者数量的激增。在缓解期间,医院的反应机制停止,随后恢复正常。然而,改变医院环境会影响护士的工作环境。因此,本研究的主要目的是调查疾病暴发和缓解期的变化对护士工作环境的影响,并分析护士背景变量与工作环境的关系。研究设计:采用纵向研究设计。方法:在某医院进行两次调查,第一次是在新冠肺炎疫情暴发期间,医院实施了应对机制,第二次是在新冠肺炎缓解期间,医院恢复正常。问卷内容包括护士的背景变量和工作环境。结果:当新冠肺炎疫情进入缓解期时,医院需要调整新冠肺炎或新发传染病应对机制的转型步骤,或为这些护士提供足够的支持,以减轻对其工作环境的影响。
本文章由计算机程序翻译,如有差异,请以英文原文为准。

Longitudinal Research: Differences in Nurse Work Environment Between the COVID-19 Outbreak and Mitigation Periods.

Longitudinal Research: Differences in Nurse Work Environment Between the COVID-19 Outbreak and Mitigation Periods.

Longitudinal Research: Differences in Nurse Work Environment Between the COVID-19 Outbreak and Mitigation Periods.

Aim: The coronavirus disease 2019 (COVID-19) outbreak led to a massive influx of patients into hospitals, thus prompting the implementation of various response mechanisms to manage the surge in number of patients. During the mitigation period, hospital response mechanisms ceased and ensued a return to normal settings. However, changing hospital settings can affect nurses' work environments. Therefore, the primary objectives of this study were to investigate the impact of changes during disease outbreaks and the mitigation period on nurses' work environments, and to analyse the relationship between nurses' background variables and work environments.

Study design: A longitudinal research design is employed herein.

Methods: Two surveys were conducted in a hospital: the first during the COVID-19 outbreak period, when the hospital implemented response mechanisms, and the second during the COVID-19 mitigation period, when the hospital returned to normalcy. The questionnaire covered the nurses' background variables and work environment.

Results: When the COVID-19 outbreak transitioned to the mitigation period, satisfaction with managerial (p < 0.05) and unit support (p < 0.05) in the workplace decreased. Regarding the relationship between nurses' backgrounds and work environment satisfaction, we found that nurses working in COVID-19 dedicated units reported higher satisfaction with manager support (p < 0.001), peer support (p < 0.001), unit support (p < 0.05) and intent to stay (p < 0.05) than those in non-COVID-19 dedicated units. Additionally, factors such as age, nursing experience, sex, education, clinical teaching/mentoring roles, perceived COVID-19 infection risk, work shifts, housing problems during the outbreak and experience of discrimination influenced work environment satisfaction.

Patient or public contribution: Hospitals need to adjust the transformational steps of their COVID-19 or emerging infectious disease response mechanisms, or provide sufficient support to these nurses to mitigate the impact on their work environment.

求助全文
通过发布文献求助,成功后即可免费获取论文全文。 去求助
来源期刊
Nursing Open
Nursing Open Nursing-General Nursing
CiteScore
3.60
自引率
4.30%
发文量
298
审稿时长
17 weeks
期刊介绍: Nursing Open is a peer reviewed open access journal that welcomes articles on all aspects of nursing and midwifery practice, research, education and policy. We aim to publish articles that contribute to the art and science of nursing and which have a positive impact on health either locally, nationally, regionally or globally
×
引用
GB/T 7714-2015
复制
MLA
复制
APA
复制
导出至
BibTeX EndNote RefMan NoteFirst NoteExpress
×
提示
您的信息不完整,为了账户安全,请先补充。
现在去补充
×
提示
您因"违规操作"
具体请查看互助需知
我知道了
×
提示
确定
请完成安全验证×
copy
已复制链接
快去分享给好友吧!
我知道了
右上角分享
点击右上角分享
0
联系我们:info@booksci.cn Book学术提供免费学术资源搜索服务,方便国内外学者检索中英文文献。致力于提供最便捷和优质的服务体验。 Copyright © 2023 布克学术 All rights reserved.
京ICP备2023020795号-1
ghs 京公网安备 11010802042870号
Book学术文献互助
Book学术文献互助群
群 号:604180095
Book学术官方微信