平地行走时截肢水平和拱度对加载参数的影响

Q3 Medicine
Canadian Prosthetics Orthotics Journal Pub Date : 2025-03-07 eCollection Date: 2025-01-01 DOI:10.33137/cpoj.v8i1.44416
E Pröbsting, T Schmalz, M Bellmann
{"title":"平地行走时截肢水平和拱度对加载参数的影响","authors":"E Pröbsting, T Schmalz, M Bellmann","doi":"10.33137/cpoj.v8i1.44416","DOIUrl":null,"url":null,"abstract":"<p><strong>Background: </strong>Previous studies show that during level walking, the load on the contralateral side increases with more proximal amputation levels. Furthermore, a typical compensation mechanism, vaulting on the contralateral side, may also influence the load. However, no study has compared the load applied to the contralateral side across more than two different amputation levels.</p><p><strong>Objective: </strong>The objectives of this study were to analyze the biomechanical impact of different lower limb amputation levels and vaulting on the load applied to the locomotor system.</p><p><strong>Methodology: </strong>Gait data from 82 individuals with different amputation levels (44 transtibial (TT), 30 transfemoral (TF), and 8 hip disarticulation (HD)) were retrospectively analyzed in this study. Peak knee adduction, flexion and extension moments, vertical ground reaction force peaks, and force rates were statistically analyzed between different amputation levels and between two groups \"TF with vaulting\" and \"TF without vaulting\".</p><p><strong>Findings: </strong>As the level of amputation increases, walking speed decreases and asymmetry of stance duration increases. TF individuals with vaulting tend to walk faster than those without vaulting. The first peak of vertical ground reaction forces, the peak knee adduction and extension moments increase, and the peak knee flexion moments decrease with higher amputation level. The higher the amputation level, the curve of the vertical ground reaction force becomes significantly steeper during the first 5% of the gait cycle (GC). The first peak of ground reaction forces, the knee flexion, extension and adduction moments tend to be higher in TF individuals with vaulting.</p><p><strong>Conclusion: </strong>In summary, a higher lower limb amputation level can increase loading on the contralateral limb and contribute to a higher incidence of vaulting during gait. The effect of vaulting as a compensation pattern leads to an additional increase in contralateral limb loading.</p>","PeriodicalId":32763,"journal":{"name":"Canadian Prosthetics Orthotics Journal","volume":"8 1","pages":"44416"},"PeriodicalIF":0.0000,"publicationDate":"2025-03-07","publicationTypes":"Journal Article","fieldsOfStudy":null,"isOpenAccess":false,"openAccessPdf":"https://www.ncbi.nlm.nih.gov/pmc/articles/PMC12404353/pdf/","citationCount":"0","resultStr":"{\"title\":\"Impact of amputation level and vaulting on loading parameters during level ground walking.\",\"authors\":\"E Pröbsting, T Schmalz, M Bellmann\",\"doi\":\"10.33137/cpoj.v8i1.44416\",\"DOIUrl\":null,\"url\":null,\"abstract\":\"<p><strong>Background: </strong>Previous studies show that during level walking, the load on the contralateral side increases with more proximal amputation levels. Furthermore, a typical compensation mechanism, vaulting on the contralateral side, may also influence the load. However, no study has compared the load applied to the contralateral side across more than two different amputation levels.</p><p><strong>Objective: </strong>The objectives of this study were to analyze the biomechanical impact of different lower limb amputation levels and vaulting on the load applied to the locomotor system.</p><p><strong>Methodology: </strong>Gait data from 82 individuals with different amputation levels (44 transtibial (TT), 30 transfemoral (TF), and 8 hip disarticulation (HD)) were retrospectively analyzed in this study. Peak knee adduction, flexion and extension moments, vertical ground reaction force peaks, and force rates were statistically analyzed between different amputation levels and between two groups \\\"TF with vaulting\\\" and \\\"TF without vaulting\\\".</p><p><strong>Findings: </strong>As the level of amputation increases, walking speed decreases and asymmetry of stance duration increases. TF individuals with vaulting tend to walk faster than those without vaulting. The first peak of vertical ground reaction forces, the peak knee adduction and extension moments increase, and the peak knee flexion moments decrease with higher amputation level. The higher the amputation level, the curve of the vertical ground reaction force becomes significantly steeper during the first 5% of the gait cycle (GC). The first peak of ground reaction forces, the knee flexion, extension and adduction moments tend to be higher in TF individuals with vaulting.</p><p><strong>Conclusion: </strong>In summary, a higher lower limb amputation level can increase loading on the contralateral limb and contribute to a higher incidence of vaulting during gait. The effect of vaulting as a compensation pattern leads to an additional increase in contralateral limb loading.</p>\",\"PeriodicalId\":32763,\"journal\":{\"name\":\"Canadian Prosthetics Orthotics Journal\",\"volume\":\"8 1\",\"pages\":\"44416\"},\"PeriodicalIF\":0.0000,\"publicationDate\":\"2025-03-07\",\"publicationTypes\":\"Journal Article\",\"fieldsOfStudy\":null,\"isOpenAccess\":false,\"openAccessPdf\":\"https://www.ncbi.nlm.nih.gov/pmc/articles/PMC12404353/pdf/\",\"citationCount\":\"0\",\"resultStr\":null,\"platform\":\"Semanticscholar\",\"paperid\":null,\"PeriodicalName\":\"Canadian Prosthetics Orthotics Journal\",\"FirstCategoryId\":\"1085\",\"ListUrlMain\":\"https://doi.org/10.33137/cpoj.v8i1.44416\",\"RegionNum\":0,\"RegionCategory\":null,\"ArticlePicture\":[],\"TitleCN\":null,\"AbstractTextCN\":null,\"PMCID\":null,\"EPubDate\":\"2025/1/1 0:00:00\",\"PubModel\":\"eCollection\",\"JCR\":\"Q3\",\"JCRName\":\"Medicine\",\"Score\":null,\"Total\":0}","platform":"Semanticscholar","paperid":null,"PeriodicalName":"Canadian Prosthetics Orthotics Journal","FirstCategoryId":"1085","ListUrlMain":"https://doi.org/10.33137/cpoj.v8i1.44416","RegionNum":0,"RegionCategory":null,"ArticlePicture":[],"TitleCN":null,"AbstractTextCN":null,"PMCID":null,"EPubDate":"2025/1/1 0:00:00","PubModel":"eCollection","JCR":"Q3","JCRName":"Medicine","Score":null,"Total":0}
引用次数: 0

摘要

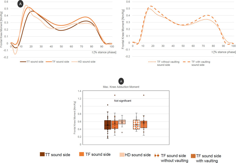
背景:先前的研究表明,在水平行走时,对侧的负荷随着近端截肢水平的增加而增加。此外,典型的补偿机制,对侧拱,也可能影响载荷。然而,没有研究比较了两种以上不同截肢水平对侧施加的负荷。目的:本研究的目的是分析不同下肢截肢水平和跳跃对运动系统负荷的生物力学影响。方法:本研究回顾性分析了82例不同截肢程度患者(44例经胫骨(TT), 30例经股骨(TF)和8例髋关节脱臼(HD))的步态数据。统计分析不同截肢水平之间以及有跳跃和无跳跃两组间膝关节内收峰值、屈伸力矩、垂直地面反力峰值和力率。结果:随着截肢程度的增加,行走速度降低,站立时间不对称性增加。有跳马能力的人往往比没有跳马能力的人走得快。随着截肢水平的提高,垂直地面反力第一峰值、膝关节内收、伸弯矩峰值增大,膝关节屈曲弯矩峰值减小。截肢水平越高,在步态周期(GC)的前5%,垂直地面反力曲线明显变陡。地面反力的第一个峰值,膝关节屈曲、伸直和内收力矩在有跳跃的TF个体中往往更高。结论:综上所述,较高的下肢截肢水平会增加对侧肢体的负荷,从而增加步态中跳跃的发生率。作为一种补偿模式的弓形效应导致对侧肢体负荷的额外增加。
本文章由计算机程序翻译,如有差异,请以英文原文为准。

Impact of amputation level and vaulting on loading parameters during level ground walking.

Impact of amputation level and vaulting on loading parameters during level ground walking.

Impact of amputation level and vaulting on loading parameters during level ground walking.

Impact of amputation level and vaulting on loading parameters during level ground walking.

Background: Previous studies show that during level walking, the load on the contralateral side increases with more proximal amputation levels. Furthermore, a typical compensation mechanism, vaulting on the contralateral side, may also influence the load. However, no study has compared the load applied to the contralateral side across more than two different amputation levels.

Objective: The objectives of this study were to analyze the biomechanical impact of different lower limb amputation levels and vaulting on the load applied to the locomotor system.

Methodology: Gait data from 82 individuals with different amputation levels (44 transtibial (TT), 30 transfemoral (TF), and 8 hip disarticulation (HD)) were retrospectively analyzed in this study. Peak knee adduction, flexion and extension moments, vertical ground reaction force peaks, and force rates were statistically analyzed between different amputation levels and between two groups "TF with vaulting" and "TF without vaulting".

Findings: As the level of amputation increases, walking speed decreases and asymmetry of stance duration increases. TF individuals with vaulting tend to walk faster than those without vaulting. The first peak of vertical ground reaction forces, the peak knee adduction and extension moments increase, and the peak knee flexion moments decrease with higher amputation level. The higher the amputation level, the curve of the vertical ground reaction force becomes significantly steeper during the first 5% of the gait cycle (GC). The first peak of ground reaction forces, the knee flexion, extension and adduction moments tend to be higher in TF individuals with vaulting.

Conclusion: In summary, a higher lower limb amputation level can increase loading on the contralateral limb and contribute to a higher incidence of vaulting during gait. The effect of vaulting as a compensation pattern leads to an additional increase in contralateral limb loading.

求助全文
通过发布文献求助,成功后即可免费获取论文全文。 去求助
来源期刊
Canadian Prosthetics  Orthotics Journal
Canadian Prosthetics Orthotics Journal Medicine-Rehabilitation
CiteScore
1.00
自引率
0.00%
发文量
9
审稿时长
8 weeks
×
引用
GB/T 7714-2015
复制
MLA
复制
APA
复制
导出至
BibTeX EndNote RefMan NoteFirst NoteExpress
×
提示
您的信息不完整,为了账户安全,请先补充。
现在去补充
×
提示
您因"违规操作"
具体请查看互助需知
我知道了
×
提示
确定
请完成安全验证×
copy
已复制链接
快去分享给好友吧!
我知道了
右上角分享
点击右上角分享
0
联系我们:info@booksci.cn Book学术提供免费学术资源搜索服务,方便国内外学者检索中英文文献。致力于提供最便捷和优质的服务体验。 Copyright © 2023 布克学术 All rights reserved.
京ICP备2023020795号-1
ghs 京公网安备 11010802042870号
Book学术文献互助
Book学术文献互助群
群 号:604180095
Book学术官方微信