术后早期肝功能异常的危险因素及预测模型。

IF 2.5 Q2 GASTROENTEROLOGY & HEPATOLOGY
Lin Zhong, Hao-Yuan Wang, Xiao-Na Li, Qiong Ling, Ning Hao, Xiang-Yu Li, Gao-Feng Zhao, Min Liao
{"title":"术后早期肝功能异常的危险因素及预测模型。","authors":"Lin Zhong, Hao-Yuan Wang, Xiao-Na Li, Qiong Ling, Ning Hao, Xiang-Yu Li, Gao-Feng Zhao, Min Liao","doi":"10.4254/wjh.v17.i8.108333","DOIUrl":null,"url":null,"abstract":"<p><strong>Background: </strong>Research has shown that several factors can influence postoperative abnormal liver function; however, most studies on this issue have focused specifically on hepatic and cardiac surgeries, leaving limited research on contributing factors in other types of surgeries.</p><p><strong>Aim: </strong>To identify the risk factors for early postoperative abnormal liver function in multiple surgery types and construct a risk prediction model.</p><p><strong>Methods: </strong>This retrospective cohort study involved 3720 surgical patients from 5 surgical departments at Guangdong Provincial Hospital of Traditional Chinese Medicine. Patients were divided into abnormal (<i>n</i> = 108) and normal (<i>n</i> = 3612) groups based on liver function post-surgery. Univariate analysis and LASSO regression screened variables, followed by logistic regression to identify risk factors. A prediction model was constructed based on the variables selected <i>via</i> logistic regression. The goodness-of-fit of the model was evaluated using the Hosmer-Lemeshow test, while discriminatory ability was measured by the area under the receiver operating characteristic curve. Calibration curves were plotted to visualize the consistency between predicted probabilities and observed outcomes.</p><p><strong>Results: </strong>The key factors contributing to abnormal liver function after surgery include elevated aspartate aminotransferase and alanine aminotransferase levels and reduced platelet counts pre-surgery, as well as the sevoflurane use during the procedure, among others.</p><p><strong>Conclusion: </strong>The above factors collectively represent notable risk factors for postoperative liver function injury, and the prediction model developed based on these factors demonstrates strong predictive efficacy.</p>","PeriodicalId":23687,"journal":{"name":"World Journal of Hepatology","volume":"17 8","pages":"108333"},"PeriodicalIF":2.5000,"publicationDate":"2025-08-27","publicationTypes":"Journal Article","fieldsOfStudy":null,"isOpenAccess":false,"openAccessPdf":"https://www.ncbi.nlm.nih.gov/pmc/articles/PMC12400440/pdf/","citationCount":"0","resultStr":"{\"title\":\"Risk factors and predictive modeling of early postoperative liver function abnormalities.\",\"authors\":\"Lin Zhong, Hao-Yuan Wang, Xiao-Na Li, Qiong Ling, Ning Hao, Xiang-Yu Li, Gao-Feng Zhao, Min Liao\",\"doi\":\"10.4254/wjh.v17.i8.108333\",\"DOIUrl\":null,\"url\":null,\"abstract\":\"<p><strong>Background: </strong>Research has shown that several factors can influence postoperative abnormal liver function; however, most studies on this issue have focused specifically on hepatic and cardiac surgeries, leaving limited research on contributing factors in other types of surgeries.</p><p><strong>Aim: </strong>To identify the risk factors for early postoperative abnormal liver function in multiple surgery types and construct a risk prediction model.</p><p><strong>Methods: </strong>This retrospective cohort study involved 3720 surgical patients from 5 surgical departments at Guangdong Provincial Hospital of Traditional Chinese Medicine. Patients were divided into abnormal (<i>n</i> = 108) and normal (<i>n</i> = 3612) groups based on liver function post-surgery. Univariate analysis and LASSO regression screened variables, followed by logistic regression to identify risk factors. A prediction model was constructed based on the variables selected <i>via</i> logistic regression. The goodness-of-fit of the model was evaluated using the Hosmer-Lemeshow test, while discriminatory ability was measured by the area under the receiver operating characteristic curve. Calibration curves were plotted to visualize the consistency between predicted probabilities and observed outcomes.</p><p><strong>Results: </strong>The key factors contributing to abnormal liver function after surgery include elevated aspartate aminotransferase and alanine aminotransferase levels and reduced platelet counts pre-surgery, as well as the sevoflurane use during the procedure, among others.</p><p><strong>Conclusion: </strong>The above factors collectively represent notable risk factors for postoperative liver function injury, and the prediction model developed based on these factors demonstrates strong predictive efficacy.</p>\",\"PeriodicalId\":23687,\"journal\":{\"name\":\"World Journal of Hepatology\",\"volume\":\"17 8\",\"pages\":\"108333\"},\"PeriodicalIF\":2.5000,\"publicationDate\":\"2025-08-27\",\"publicationTypes\":\"Journal Article\",\"fieldsOfStudy\":null,\"isOpenAccess\":false,\"openAccessPdf\":\"https://www.ncbi.nlm.nih.gov/pmc/articles/PMC12400440/pdf/\",\"citationCount\":\"0\",\"resultStr\":null,\"platform\":\"Semanticscholar\",\"paperid\":null,\"PeriodicalName\":\"World Journal of Hepatology\",\"FirstCategoryId\":\"1085\",\"ListUrlMain\":\"https://doi.org/10.4254/wjh.v17.i8.108333\",\"RegionNum\":0,\"RegionCategory\":null,\"ArticlePicture\":[],\"TitleCN\":null,\"AbstractTextCN\":null,\"PMCID\":null,\"EPubDate\":\"\",\"PubModel\":\"\",\"JCR\":\"Q2\",\"JCRName\":\"GASTROENTEROLOGY & HEPATOLOGY\",\"Score\":null,\"Total\":0}","platform":"Semanticscholar","paperid":null,"PeriodicalName":"World Journal of Hepatology","FirstCategoryId":"1085","ListUrlMain":"https://doi.org/10.4254/wjh.v17.i8.108333","RegionNum":0,"RegionCategory":null,"ArticlePicture":[],"TitleCN":null,"AbstractTextCN":null,"PMCID":null,"EPubDate":"","PubModel":"","JCR":"Q2","JCRName":"GASTROENTEROLOGY & HEPATOLOGY","Score":null,"Total":0}
引用次数: 0

摘要

背景:研究表明,多种因素可影响术后肝功能异常;然而,关于这一问题的研究大多集中在肝脏和心脏手术,对其他类型手术的影响因素的研究有限。目的:探讨多种手术类型术后早期肝功能异常的危险因素,并建立风险预测模型。方法:回顾性队列研究纳入广东省中医院5个外科3720例手术患者。根据术后肝功能分为异常组(n = 108)和正常组(n = 3612)。单因素分析和LASSO回归筛选变量,然后进行逻辑回归识别危险因素。通过逻辑回归选择变量,建立预测模型。模型的拟合优度采用Hosmer-Lemeshow检验,区分能力采用受试者工作特征曲线下面积来衡量。绘制校准曲线以显示预测概率与观察结果之间的一致性。结果:术前天冬氨酸转氨酶、丙氨酸转氨酶水平升高、血小板计数减少以及术中七氟醚的使用等是导致术后肝功能异常的关键因素。结论:上述因素共同构成术后肝功能损伤的重要危险因素,基于这些因素建立的预测模型具有较强的预测效果。
本文章由计算机程序翻译,如有差异,请以英文原文为准。

Risk factors and predictive modeling of early postoperative liver function abnormalities.

Risk factors and predictive modeling of early postoperative liver function abnormalities.

Risk factors and predictive modeling of early postoperative liver function abnormalities.

Risk factors and predictive modeling of early postoperative liver function abnormalities.

Background: Research has shown that several factors can influence postoperative abnormal liver function; however, most studies on this issue have focused specifically on hepatic and cardiac surgeries, leaving limited research on contributing factors in other types of surgeries.

Aim: To identify the risk factors for early postoperative abnormal liver function in multiple surgery types and construct a risk prediction model.

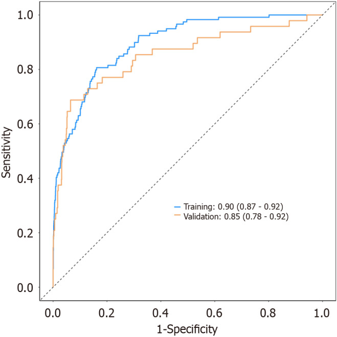
Methods: This retrospective cohort study involved 3720 surgical patients from 5 surgical departments at Guangdong Provincial Hospital of Traditional Chinese Medicine. Patients were divided into abnormal (n = 108) and normal (n = 3612) groups based on liver function post-surgery. Univariate analysis and LASSO regression screened variables, followed by logistic regression to identify risk factors. A prediction model was constructed based on the variables selected via logistic regression. The goodness-of-fit of the model was evaluated using the Hosmer-Lemeshow test, while discriminatory ability was measured by the area under the receiver operating characteristic curve. Calibration curves were plotted to visualize the consistency between predicted probabilities and observed outcomes.

Results: The key factors contributing to abnormal liver function after surgery include elevated aspartate aminotransferase and alanine aminotransferase levels and reduced platelet counts pre-surgery, as well as the sevoflurane use during the procedure, among others.

Conclusion: The above factors collectively represent notable risk factors for postoperative liver function injury, and the prediction model developed based on these factors demonstrates strong predictive efficacy.

求助全文
通过发布文献求助,成功后即可免费获取论文全文。 去求助
来源期刊
World Journal of Hepatology
World Journal of Hepatology GASTROENTEROLOGY & HEPATOLOGY-
CiteScore
4.10
自引率
4.20%
发文量
172
×
引用
GB/T 7714-2015
复制
MLA
复制
APA
复制
导出至
BibTeX EndNote RefMan NoteFirst NoteExpress
×
提示
您的信息不完整,为了账户安全,请先补充。
现在去补充
×
提示
您因"违规操作"
具体请查看互助需知
我知道了
×
提示
确定
请完成安全验证×
copy
已复制链接
快去分享给好友吧!
我知道了
右上角分享
点击右上角分享
0
联系我们:info@booksci.cn Book学术提供免费学术资源搜索服务,方便国内外学者检索中英文文献。致力于提供最便捷和优质的服务体验。 Copyright © 2023 布克学术 All rights reserved.
京ICP备2023020795号-1
ghs 京公网安备 11010802042870号
Book学术文献互助
Book学术文献互助群
群 号:604180095
Book学术官方微信