使用基于智能手机的数字表型测量心理健康和行为:一项嵌入前瞻性女性队列的密集纵向观察移动健康试点研究。

IF 6.2 2区 医学 Q1 HEALTH CARE SCIENCES & SERVICES
Li Yi, Claudia Trudel-Fitzgerald, Cindy R Hu, Grete Wilt, Jorge Chavarro, Jukka-Pekka Onnela, Francine Grodstein, Laura D Kubzansky, Peter James
{"title":"使用基于智能手机的数字表型测量心理健康和行为:一项嵌入前瞻性女性队列的密集纵向观察移动健康试点研究。","authors":"Li Yi, Claudia Trudel-Fitzgerald, Cindy R Hu, Grete Wilt, Jorge Chavarro, Jukka-Pekka Onnela, Francine Grodstein, Laura D Kubzansky, Peter James","doi":"10.2196/71375","DOIUrl":null,"url":null,"abstract":"<p><strong>Background: </strong>Intensive measures of well-being and behaviors in large epidemiologic cohorts have the potential to enhance health research in these areas. Yet, little is known regarding the feasibility of using mobile technology to collect intensive data in the \"natural\" environment in the context of ongoing large cohort studies.</p><p><strong>Objective: </strong>We examined the feasibility of using smartphone digital phenotyping to collect highly resolved psychological and behavioral data from participants in a pilot study with participants in Nurses' Health Study II, a nationwide prospective cohort of women.</p><p><strong>Methods: </strong>In this pilot study, an 8-day intensive smartphone protocol was implemented using the \"Beiwe\" smartphone app. Participants (n=181) completed a baseline survey on day 1 and answered ecological momentary assessment (EMA) surveys twice daily (days 2-8; early afternoon and evening) using their smartphone and provided minute-level accelerometer and GPS data. A feedback survey at the end of Substudy queried participants' experience with the app and data collection process. We assessed adherence to the protocol by examining completion on EMA surveys and completeness of accelerometer and GPS data at the participant, participant day, and prompt levels.</p><p><strong>Results: </strong>Our pilot study demonstrated modest overall compliance with smartphone-based surveys: the baseline survey completion rate was high (156/181, 86.2%), but average daily EMA response rates during the 7-day period were lower with 55.6% (SD 3.9%) for early afternoon and 54.7% (SD 3.2%) for evening. We also observed good average daily completeness of smartphone accelerometer (mean 62.0%, SD 4.5%) data and GPS data (mean 57.7%, SD 3.1%). The feedback survey revealed that the participants found \"the app easy to use\" (median 85.0 on a scale of 1-100) and were \"willing to repeat similar studies\" (median 85.0 on a scale of 1-100). Although participants reported feeling their participation was a positive experience (median 64.0 on a scale of 1-100), they also identified some important issues, including user fatigue due to repetitive daily surveys.</p><p><strong>Conclusions: </strong>We observed modest compliance with smartphone surveys and completeness of smartphone passive sensing data in this pilot study compared with similar studies in the past. However, this was not unexpected, given our participants were older (aged 57-75 years, with more than 3 decades of follow-up at the time of the substudy) and may encounter more technological barriers, not to mention that the indication of willingness to participate in such studies again was fairly high. Our findings also highlight that the success and data quality of efforts to obtain daily measures may vary depending on data type and emphasize the need to improve the design of the EMA survey to improve or sustain participant engagement over the study period. Overall, our findings suggest smartphone-based digital phenotyping as a promising technology when embedding in large epidemiological cohorts to collect intensive longitudinal observation data.</p>","PeriodicalId":14756,"journal":{"name":"JMIR mHealth and uHealth","volume":"13 ","pages":"e71375"},"PeriodicalIF":6.2000,"publicationDate":"2025-09-03","publicationTypes":"Journal Article","fieldsOfStudy":null,"isOpenAccess":false,"openAccessPdf":"https://www.ncbi.nlm.nih.gov/pmc/articles/PMC12407220/pdf/","citationCount":"0","resultStr":"{\"title\":\"Measuring Psychological Well-Being and Behaviors Using Smartphone-Based Digital Phenotyping: An Intensive Longitudinal Observational mHealth Pilot Study Embedded in a Prospective Cohort of Women.\",\"authors\":\"Li Yi, Claudia Trudel-Fitzgerald, Cindy R Hu, Grete Wilt, Jorge Chavarro, Jukka-Pekka Onnela, Francine Grodstein, Laura D Kubzansky, Peter James\",\"doi\":\"10.2196/71375\",\"DOIUrl\":null,\"url\":null,\"abstract\":\"<p><strong>Background: </strong>Intensive measures of well-being and behaviors in large epidemiologic cohorts have the potential to enhance health research in these areas. Yet, little is known regarding the feasibility of using mobile technology to collect intensive data in the \\\"natural\\\" environment in the context of ongoing large cohort studies.</p><p><strong>Objective: </strong>We examined the feasibility of using smartphone digital phenotyping to collect highly resolved psychological and behavioral data from participants in a pilot study with participants in Nurses' Health Study II, a nationwide prospective cohort of women.</p><p><strong>Methods: </strong>In this pilot study, an 8-day intensive smartphone protocol was implemented using the \\\"Beiwe\\\" smartphone app. Participants (n=181) completed a baseline survey on day 1 and answered ecological momentary assessment (EMA) surveys twice daily (days 2-8; early afternoon and evening) using their smartphone and provided minute-level accelerometer and GPS data. A feedback survey at the end of Substudy queried participants' experience with the app and data collection process. We assessed adherence to the protocol by examining completion on EMA surveys and completeness of accelerometer and GPS data at the participant, participant day, and prompt levels.</p><p><strong>Results: </strong>Our pilot study demonstrated modest overall compliance with smartphone-based surveys: the baseline survey completion rate was high (156/181, 86.2%), but average daily EMA response rates during the 7-day period were lower with 55.6% (SD 3.9%) for early afternoon and 54.7% (SD 3.2%) for evening. We also observed good average daily completeness of smartphone accelerometer (mean 62.0%, SD 4.5%) data and GPS data (mean 57.7%, SD 3.1%). The feedback survey revealed that the participants found \\\"the app easy to use\\\" (median 85.0 on a scale of 1-100) and were \\\"willing to repeat similar studies\\\" (median 85.0 on a scale of 1-100). Although participants reported feeling their participation was a positive experience (median 64.0 on a scale of 1-100), they also identified some important issues, including user fatigue due to repetitive daily surveys.</p><p><strong>Conclusions: </strong>We observed modest compliance with smartphone surveys and completeness of smartphone passive sensing data in this pilot study compared with similar studies in the past. However, this was not unexpected, given our participants were older (aged 57-75 years, with more than 3 decades of follow-up at the time of the substudy) and may encounter more technological barriers, not to mention that the indication of willingness to participate in such studies again was fairly high. Our findings also highlight that the success and data quality of efforts to obtain daily measures may vary depending on data type and emphasize the need to improve the design of the EMA survey to improve or sustain participant engagement over the study period. Overall, our findings suggest smartphone-based digital phenotyping as a promising technology when embedding in large epidemiological cohorts to collect intensive longitudinal observation data.</p>\",\"PeriodicalId\":14756,\"journal\":{\"name\":\"JMIR mHealth and uHealth\",\"volume\":\"13 \",\"pages\":\"e71375\"},\"PeriodicalIF\":6.2000,\"publicationDate\":\"2025-09-03\",\"publicationTypes\":\"Journal Article\",\"fieldsOfStudy\":null,\"isOpenAccess\":false,\"openAccessPdf\":\"https://www.ncbi.nlm.nih.gov/pmc/articles/PMC12407220/pdf/\",\"citationCount\":\"0\",\"resultStr\":null,\"platform\":\"Semanticscholar\",\"paperid\":null,\"PeriodicalName\":\"JMIR mHealth and uHealth\",\"FirstCategoryId\":\"3\",\"ListUrlMain\":\"https://doi.org/10.2196/71375\",\"RegionNum\":2,\"RegionCategory\":\"医学\",\"ArticlePicture\":[],\"TitleCN\":null,\"AbstractTextCN\":null,\"PMCID\":null,\"EPubDate\":\"\",\"PubModel\":\"\",\"JCR\":\"Q1\",\"JCRName\":\"HEALTH CARE SCIENCES & SERVICES\",\"Score\":null,\"Total\":0}","platform":"Semanticscholar","paperid":null,"PeriodicalName":"JMIR mHealth and uHealth","FirstCategoryId":"3","ListUrlMain":"https://doi.org/10.2196/71375","RegionNum":2,"RegionCategory":"医学","ArticlePicture":[],"TitleCN":null,"AbstractTextCN":null,"PMCID":null,"EPubDate":"","PubModel":"","JCR":"Q1","JCRName":"HEALTH CARE SCIENCES & SERVICES","Score":null,"Total":0}
引用次数: 0

摘要

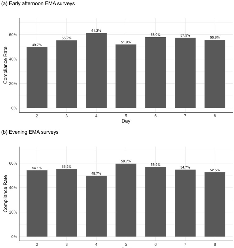
背景:在大型流行病学队列中密集测量幸福感和行为有可能加强这些领域的健康研究。然而,在正在进行的大型队列研究的背景下,使用移动技术在“自然”环境中收集密集数据的可行性知之甚少。目的:我们研究了在一项试点研究中,使用智能手机数字表型从护士健康研究II的参与者中收集高度解决的心理和行为数据的可行性。护士健康研究II是一个全国性的前瞻性女性队列。方法:在这项试点研究中,使用“Beiwe”智能手机应用程序实施了为期8天的密集智能手机协议。参与者(n=181)在第1天完成了一项基线调查,每天两次(2-8天,下午早些时候和晚上)使用智能手机回答生态瞬间评估(EMA)调查,并提供分钟级加速度计和GPS数据。在Substudy结束时,一项反馈调查询问了参与者使用该应用程序和数据收集过程的体验。我们通过检查EMA调查的完成情况以及参与者、参与者当天和提示级别的加速度计和GPS数据的完整性来评估方案的依从性。结果:我们的试点研究显示基于智能手机的调查的总体依从性适度:基线调查完成率很高(156/181,86.2%),但7天期间的平均每日EMA响应率较低,下午早些时候为55.6% (SD 3.9%),晚上为54.7% (SD 3.2%)。我们还观察到智能手机加速度计数据(平均62.0%,SD 4.5%)和GPS数据(平均57.7%,SD 3.1%)的平均每日完整性良好。反馈调查显示,参与者发现“该应用程序易于使用”(在1-100的范围内,中位数为85.0),并且“愿意重复类似的研究”(在1-100的范围内,中位数为85.0)。尽管参与者报告说他们的参与是一种积极的体验(在1-100的范围内,中位数为64.0),但他们也发现了一些重要的问题,包括由于重复的日常调查而导致的用户疲劳。结论:与过去的类似研究相比,我们观察到该试点研究中智能手机调查的适度依从性和智能手机被动传感数据的完整性。然而,考虑到我们的参与者年龄较大(57-75岁,在子研究时随访超过30年),并且可能遇到更多的技术障碍,更不用说再次参与此类研究的意愿相当高,这并不意外。我们的研究结果还强调,获得日常测量的成功和数据质量可能因数据类型而异,并强调需要改进EMA调查的设计,以提高或维持研究期间的参与者参与度。总的来说,我们的研究结果表明,当嵌入大型流行病学队列以收集密集的纵向观察数据时,基于智能手机的数字表型是一种很有前途的技术。
本文章由计算机程序翻译,如有差异,请以英文原文为准。

Measuring Psychological Well-Being and Behaviors Using Smartphone-Based Digital Phenotyping: An Intensive Longitudinal Observational mHealth Pilot Study Embedded in a Prospective Cohort of Women.

Measuring Psychological Well-Being and Behaviors Using Smartphone-Based Digital Phenotyping: An Intensive Longitudinal Observational mHealth Pilot Study Embedded in a Prospective Cohort of Women.

Measuring Psychological Well-Being and Behaviors Using Smartphone-Based Digital Phenotyping: An Intensive Longitudinal Observational mHealth Pilot Study Embedded in a Prospective Cohort of Women.

Measuring Psychological Well-Being and Behaviors Using Smartphone-Based Digital Phenotyping: An Intensive Longitudinal Observational mHealth Pilot Study Embedded in a Prospective Cohort of Women.

Background: Intensive measures of well-being and behaviors in large epidemiologic cohorts have the potential to enhance health research in these areas. Yet, little is known regarding the feasibility of using mobile technology to collect intensive data in the "natural" environment in the context of ongoing large cohort studies.

Objective: We examined the feasibility of using smartphone digital phenotyping to collect highly resolved psychological and behavioral data from participants in a pilot study with participants in Nurses' Health Study II, a nationwide prospective cohort of women.

Methods: In this pilot study, an 8-day intensive smartphone protocol was implemented using the "Beiwe" smartphone app. Participants (n=181) completed a baseline survey on day 1 and answered ecological momentary assessment (EMA) surveys twice daily (days 2-8; early afternoon and evening) using their smartphone and provided minute-level accelerometer and GPS data. A feedback survey at the end of Substudy queried participants' experience with the app and data collection process. We assessed adherence to the protocol by examining completion on EMA surveys and completeness of accelerometer and GPS data at the participant, participant day, and prompt levels.

Results: Our pilot study demonstrated modest overall compliance with smartphone-based surveys: the baseline survey completion rate was high (156/181, 86.2%), but average daily EMA response rates during the 7-day period were lower with 55.6% (SD 3.9%) for early afternoon and 54.7% (SD 3.2%) for evening. We also observed good average daily completeness of smartphone accelerometer (mean 62.0%, SD 4.5%) data and GPS data (mean 57.7%, SD 3.1%). The feedback survey revealed that the participants found "the app easy to use" (median 85.0 on a scale of 1-100) and were "willing to repeat similar studies" (median 85.0 on a scale of 1-100). Although participants reported feeling their participation was a positive experience (median 64.0 on a scale of 1-100), they also identified some important issues, including user fatigue due to repetitive daily surveys.

Conclusions: We observed modest compliance with smartphone surveys and completeness of smartphone passive sensing data in this pilot study compared with similar studies in the past. However, this was not unexpected, given our participants were older (aged 57-75 years, with more than 3 decades of follow-up at the time of the substudy) and may encounter more technological barriers, not to mention that the indication of willingness to participate in such studies again was fairly high. Our findings also highlight that the success and data quality of efforts to obtain daily measures may vary depending on data type and emphasize the need to improve the design of the EMA survey to improve or sustain participant engagement over the study period. Overall, our findings suggest smartphone-based digital phenotyping as a promising technology when embedding in large epidemiological cohorts to collect intensive longitudinal observation data.

求助全文
通过发布文献求助,成功后即可免费获取论文全文。 去求助
来源期刊
JMIR mHealth and uHealth
JMIR mHealth and uHealth Medicine-Health Informatics
CiteScore
12.60
自引率
4.00%
发文量
159
审稿时长
10 weeks
期刊介绍: JMIR mHealth and uHealth (JMU, ISSN 2291-5222) is a spin-off journal of JMIR, the leading eHealth journal (Impact Factor 2016: 5.175). JMIR mHealth and uHealth is indexed in PubMed, PubMed Central, and Science Citation Index Expanded (SCIE), and in June 2017 received a stunning inaugural Impact Factor of 4.636. The journal focusses on health and biomedical applications in mobile and tablet computing, pervasive and ubiquitous computing, wearable computing and domotics. JMIR mHealth and uHealth publishes since 2013 and was the first mhealth journal in Pubmed. It publishes even faster and has a broader scope with including papers which are more technical or more formative/developmental than what would be published in the Journal of Medical Internet Research.
×
引用
GB/T 7714-2015
复制
MLA
复制
APA
复制
导出至
BibTeX EndNote RefMan NoteFirst NoteExpress
×
提示
您的信息不完整,为了账户安全,请先补充。
现在去补充
×
提示
您因"违规操作"
具体请查看互助需知
我知道了
×
提示
确定
请完成安全验证×
copy
已复制链接
快去分享给好友吧!
我知道了
右上角分享
点击右上角分享
0
联系我们:info@booksci.cn Book学术提供免费学术资源搜索服务,方便国内外学者检索中英文文献。致力于提供最便捷和优质的服务体验。 Copyright © 2023 布克学术 All rights reserved.
京ICP备2023020795号-1
ghs 京公网安备 11010802042870号
Book学术文献互助
Book学术文献互助群
群 号:604180095
Book学术官方微信