3例Biologic-Naïve变应性支气管肺曲霉病患者应用Tezepelumab临床疗效显著改善

IF 3 3区 医学 Q2 ALLERGY
Journal of Asthma and Allergy Pub Date : 2025-08-28 eCollection Date: 2025-01-01 DOI:10.2147/JAA.S541770
Masafumi Yamaguchi, Akio Yamazaki, Hiroaki Nakagawa, Daisuke Kinose, Yasutaka Nakano
{"title":"3例Biologic-Naïve变应性支气管肺曲霉病患者应用Tezepelumab临床疗效显著改善","authors":"Masafumi Yamaguchi, Akio Yamazaki, Hiroaki Nakagawa, Daisuke Kinose, Yasutaka Nakano","doi":"10.2147/JAA.S541770","DOIUrl":null,"url":null,"abstract":"<p><p>Allergic bronchopulmonary aspergillosis is characterized by hypersensitivity to <i>Aspergillus</i> spp. and often causes intractable asthma. Studies have been conducted on biologics administered to patients with allergic bronchopulmonary aspergillosis; however, treatment may not always be successful. This may be due to the limitations of the current biologics that selectively target a single cytokine. Tezepelumab, a human monoclonal antibody that blocks the activity of thymic stromal lymphopoietin, broadly suppresses type 2 inflammation by regulating the upstream cascade of airway inflammation. Therefore, it is expected to have favorable effects in patients with allergic bronchopulmonary aspergillosis. We report three cases of allergic bronchopulmonary aspergillosis with uncontrolled symptoms despite the maximal use of conventional anti-asthmatic drugs such as inhalative agents, anti-leukotriene receptor antagonists, and antifungal drugs. None of the patients had previously received biologics. The addition of tezepelumab produced a marked clinical response in all three patients, which included fewer exacerbations and a reduced dosage of oral systemic corticosteroids and/or reduced as-needed short-acting beta-2 agonists. The patients' pulmonary symptoms were better controlled, peripheral blood eosinophil counts and immunoglobulin E levels decreased, and quality of life scores and respiratory function parameters improved. Mucous plugs accompanied by atelectasis and infiltrative shadows observed on chest computed tomography also improved. Tezepelumab may be a promising treatment option for allergic bronchopulmonary aspergillosis in patients with severe asthma, offering effective symptom control and enabling reduction in systemic corticosteroid use.</p>","PeriodicalId":15079,"journal":{"name":"Journal of Asthma and Allergy","volume":"18 ","pages":"1221-1227"},"PeriodicalIF":3.0000,"publicationDate":"2025-08-28","publicationTypes":"Journal Article","fieldsOfStudy":null,"isOpenAccess":false,"openAccessPdf":"https://www.ncbi.nlm.nih.gov/pmc/articles/PMC12402420/pdf/","citationCount":"0","resultStr":"{\"title\":\"Three Biologic-Naïve Patients with Allergic Bronchopulmonary Aspergillosis Showing Significant Clinical Improvement with Tezepelumab.\",\"authors\":\"Masafumi Yamaguchi, Akio Yamazaki, Hiroaki Nakagawa, Daisuke Kinose, Yasutaka Nakano\",\"doi\":\"10.2147/JAA.S541770\",\"DOIUrl\":null,\"url\":null,\"abstract\":\"<p><p>Allergic bronchopulmonary aspergillosis is characterized by hypersensitivity to <i>Aspergillus</i> spp. and often causes intractable asthma. Studies have been conducted on biologics administered to patients with allergic bronchopulmonary aspergillosis; however, treatment may not always be successful. This may be due to the limitations of the current biologics that selectively target a single cytokine. Tezepelumab, a human monoclonal antibody that blocks the activity of thymic stromal lymphopoietin, broadly suppresses type 2 inflammation by regulating the upstream cascade of airway inflammation. Therefore, it is expected to have favorable effects in patients with allergic bronchopulmonary aspergillosis. We report three cases of allergic bronchopulmonary aspergillosis with uncontrolled symptoms despite the maximal use of conventional anti-asthmatic drugs such as inhalative agents, anti-leukotriene receptor antagonists, and antifungal drugs. None of the patients had previously received biologics. The addition of tezepelumab produced a marked clinical response in all three patients, which included fewer exacerbations and a reduced dosage of oral systemic corticosteroids and/or reduced as-needed short-acting beta-2 agonists. The patients' pulmonary symptoms were better controlled, peripheral blood eosinophil counts and immunoglobulin E levels decreased, and quality of life scores and respiratory function parameters improved. Mucous plugs accompanied by atelectasis and infiltrative shadows observed on chest computed tomography also improved. Tezepelumab may be a promising treatment option for allergic bronchopulmonary aspergillosis in patients with severe asthma, offering effective symptom control and enabling reduction in systemic corticosteroid use.</p>\",\"PeriodicalId\":15079,\"journal\":{\"name\":\"Journal of Asthma and Allergy\",\"volume\":\"18 \",\"pages\":\"1221-1227\"},\"PeriodicalIF\":3.0000,\"publicationDate\":\"2025-08-28\",\"publicationTypes\":\"Journal Article\",\"fieldsOfStudy\":null,\"isOpenAccess\":false,\"openAccessPdf\":\"https://www.ncbi.nlm.nih.gov/pmc/articles/PMC12402420/pdf/\",\"citationCount\":\"0\",\"resultStr\":null,\"platform\":\"Semanticscholar\",\"paperid\":null,\"PeriodicalName\":\"Journal of Asthma and Allergy\",\"FirstCategoryId\":\"3\",\"ListUrlMain\":\"https://doi.org/10.2147/JAA.S541770\",\"RegionNum\":3,\"RegionCategory\":\"医学\",\"ArticlePicture\":[],\"TitleCN\":null,\"AbstractTextCN\":null,\"PMCID\":null,\"EPubDate\":\"2025/1/1 0:00:00\",\"PubModel\":\"eCollection\",\"JCR\":\"Q2\",\"JCRName\":\"ALLERGY\",\"Score\":null,\"Total\":0}","platform":"Semanticscholar","paperid":null,"PeriodicalName":"Journal of Asthma and Allergy","FirstCategoryId":"3","ListUrlMain":"https://doi.org/10.2147/JAA.S541770","RegionNum":3,"RegionCategory":"医学","ArticlePicture":[],"TitleCN":null,"AbstractTextCN":null,"PMCID":null,"EPubDate":"2025/1/1 0:00:00","PubModel":"eCollection","JCR":"Q2","JCRName":"ALLERGY","Score":null,"Total":0}
引用次数: 0

摘要

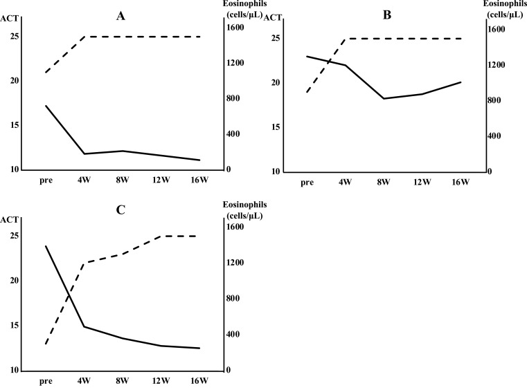
过敏性支气管肺曲霉菌病的特点是对曲霉菌过敏,常引起难治性哮喘。对过敏性支气管肺曲霉病患者使用的生物制剂进行了研究;然而,治疗并不总是成功的。这可能是由于目前选择性靶向单一细胞因子的生物制剂的局限性。Tezepelumab是一种阻断胸腺基质淋巴生成素活性的人单克隆抗体,通过调节气道炎症的上游级联,广泛抑制2型炎症。因此,有望对过敏性支气管肺曲菌病患者有良好的疗效。我们报告三例变应性支气管肺曲霉病,尽管最大限度地使用传统的抗哮喘药物,如吸入剂,抗白三烯受体拮抗剂和抗真菌药物,但症状不受控制。这些患者此前均未接受过生物制剂治疗。tezepelumab的加入在所有3例患者中产生了显着的临床反应,包括更少的恶化和口服全身皮质类固醇和/或按需减少短效β -2激动剂的剂量。患者肺部症状得到较好的控制,外周血嗜酸性粒细胞计数和免疫球蛋白E水平下降,生活质量评分和呼吸功能参数改善。胸部计算机断层扫描观察到的粘膜塞伴肺不张和浸润影也有所改善。Tezepelumab可能是严重哮喘患者过敏性支气管肺曲霉病的一个有希望的治疗选择,提供有效的症状控制和减少全身皮质类固醇的使用。
本文章由计算机程序翻译,如有差异,请以英文原文为准。

Three Biologic-Naïve Patients with Allergic Bronchopulmonary Aspergillosis Showing Significant Clinical Improvement with Tezepelumab.

Three Biologic-Naïve Patients with Allergic Bronchopulmonary Aspergillosis Showing Significant Clinical Improvement with Tezepelumab.

Three Biologic-Naïve Patients with Allergic Bronchopulmonary Aspergillosis Showing Significant Clinical Improvement with Tezepelumab.

Allergic bronchopulmonary aspergillosis is characterized by hypersensitivity to Aspergillus spp. and often causes intractable asthma. Studies have been conducted on biologics administered to patients with allergic bronchopulmonary aspergillosis; however, treatment may not always be successful. This may be due to the limitations of the current biologics that selectively target a single cytokine. Tezepelumab, a human monoclonal antibody that blocks the activity of thymic stromal lymphopoietin, broadly suppresses type 2 inflammation by regulating the upstream cascade of airway inflammation. Therefore, it is expected to have favorable effects in patients with allergic bronchopulmonary aspergillosis. We report three cases of allergic bronchopulmonary aspergillosis with uncontrolled symptoms despite the maximal use of conventional anti-asthmatic drugs such as inhalative agents, anti-leukotriene receptor antagonists, and antifungal drugs. None of the patients had previously received biologics. The addition of tezepelumab produced a marked clinical response in all three patients, which included fewer exacerbations and a reduced dosage of oral systemic corticosteroids and/or reduced as-needed short-acting beta-2 agonists. The patients' pulmonary symptoms were better controlled, peripheral blood eosinophil counts and immunoglobulin E levels decreased, and quality of life scores and respiratory function parameters improved. Mucous plugs accompanied by atelectasis and infiltrative shadows observed on chest computed tomography also improved. Tezepelumab may be a promising treatment option for allergic bronchopulmonary aspergillosis in patients with severe asthma, offering effective symptom control and enabling reduction in systemic corticosteroid use.

求助全文
通过发布文献求助,成功后即可免费获取论文全文。 去求助
来源期刊
Journal of Asthma and Allergy
Journal of Asthma and Allergy Medicine-Immunology and Allergy
CiteScore
5.30
自引率
6.20%
发文量
185
审稿时长
16 weeks
期刊介绍: An international, peer-reviewed journal publishing original research, reports, editorials and commentaries on the following topics: Asthma; Pulmonary physiology; Asthma related clinical health; Clinical immunology and the immunological basis of disease; Pharmacological interventions and new therapies. Although the main focus of the journal will be to publish research and clinical results in humans, preclinical, animal and in vitro studies will be published where they shed light on disease processes and potential new therapies.
×
引用
GB/T 7714-2015
复制
MLA
复制
APA
复制
导出至
BibTeX EndNote RefMan NoteFirst NoteExpress
×
提示
您的信息不完整,为了账户安全,请先补充。
现在去补充
×
提示
您因"违规操作"
具体请查看互助需知
我知道了
×
提示
确定
请完成安全验证×
copy
已复制链接
快去分享给好友吧!
我知道了
右上角分享
点击右上角分享
0
联系我们:info@booksci.cn Book学术提供免费学术资源搜索服务,方便国内外学者检索中英文文献。致力于提供最便捷和优质的服务体验。 Copyright © 2023 布克学术 All rights reserved.
京ICP备2023020795号-1
ghs 京公网安备 11010802042870号
Book学术文献互助
Book学术文献互助群
群 号:604180095
Book学术官方微信